Figure 9
From: Bound-state energy spectrum and thermochemical functions of the deformed Schiöberg oscillator

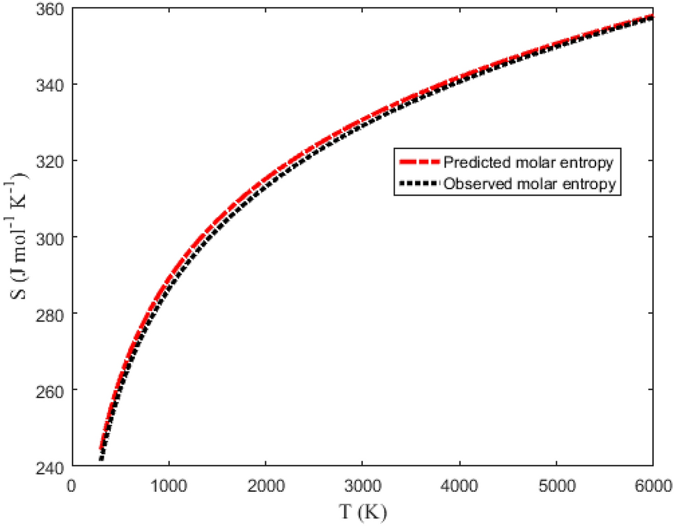
Graphical representation of molar entropy versus temperature for the ground state NaBr molecule.
From: Bound-state energy spectrum and thermochemical functions of the deformed Schiöberg oscillator

Graphical representation of molar entropy versus temperature for the ground state NaBr molecule.