Abstract
In this study, a diatomic molecule interacting potential such as the deformed Schiöberg oscillator (DSO) have been applied to diatomic systems. By solving the Schrödinger equation with the DSO, analytical equations for energy eigenvalues, molar entropy, molar enthalpy, molar Gibbs free energy and constant pressure molar heat capacity are obtained. The obtained equations were used to analyze the physical properties of diatomic molecules. With the aid of the DSO, the percentage average absolute deviation (PAAD) of computed data from the experimental data of the 7Li2 (2 3Πg), NaBr (X 1Σ+), KBr (X 1Σ+) and KRb (B 1Π) molecules are 1.3319%, 0.2108%, 0.2359% and 0.8841%, respectively. The PAAD values obtained by employing the equations of molar entropy, scaled molar enthalpy, scaled molar Gibbs free energy and isobaric molar heat capacity are 1.2919%, 1.5639%, 1.5957% and 2.4041%, respectively, from the experimental data of the KBr (X 1Σ+) molecule. The results for the potential energies, bound-state energy spectra, and thermodynamic functions are in good agreement with the literature on diatomic molecules.
Similar content being viewed by others
Introduction
The relevance of wave functions in quantum mechanics is the adequate information they provide about the quantum mechanical system being studied, hence the growing need for accurate numerical and approximate analytical bound state solutions of the non-relativistic and relativistic wave equations for a given potential energy function. The potential energy function is the medium through which a quantum mechanical system interacts with particles and molecules in its neighborhood. Examples of interaction potentials include the Tietz potential, Schiöberg potential, Hua potential, Rosen-Morse potential and Woods-Saxon potential1,2,3,4,5.
A diatomic molecule oscillator is a potential energy function used to describe the rotational-vibrational states of a molecular system. To qualify as a diatomic molecule oscillator, a potential energy function must satisfy some prescribed conditions also known as the Varshni conditions6. Oscillators are modeled using molecular spectroscopic parameters such as the vibrational–rotational coupling coefficient (αe), equilibrium harmonic vibrational frequency (ωe), equilibrium bond length (re), and equilibrium dissociation energy (De). These parameters are usually determined experimentally or by ab initio calculations.
The solutions of the Schrödinger equation (SE) have been obtained analytically with different potential energy models. Expressions for the bound-state energies have been successfully used to investigate the thermodynamic, optical, magnetic and other physical properties of substances7,8,9,10,11,12,13,14,15,16,17,18,19,20,21. Some of the techniques used to obtain the bound state solutions of the wave equations are the asymptotic iteration method22, quantization rules23,24, the supersymmetric quantum mechanics approach25, the Nikiforov-Uvarov method and its parametric versions26,27, and the Laplace transformation method28.
Thermodynamic functions have immense applications in science and technology. For instance, enthalpy and entropy measurements have been used to determine the melting points of organic molecules, and to detect diseases in plants29,30. The thermoplastic property, transition and melting points of nanostructures have also been investigated through measurements of heat capacity31,32. In a very recent advancement, the Gibbs free energy equation developed from the well-known Fu-Wang-Jia (FWJ) oscillator has been used to establish the equilibrium constant for the water gas shift reaction33.
The solution canonical partition function is a prelude to obtaining statistical-mechanical models (or analytical equations) for the calculation of thermo-chemical properties of gaseous molecules. The partition function takes into account; the vibrational, rotational and translational effects of the diatomic system. Analytical equations for the prediction of the molar entropy (S), enthalpy (H), Gibbs free energy (H), and isobaric heat capacity (Cp) exist in the literature, some examples can be found in Refs.34,35,36,37,38,39,40,41,42,43,44,45,46,47,48,49,50,51,52,53,54,55,56,57,58. Different potential functions have been employed in the literature to construct analytical model equations6,59,60,61,62,63,64,65,66.
The present study is centered on the Schiöberg potential energy function. Previously, the bound-state solutions of the Schrödinger and Dirac equations have been obtained with the Schiöberg potential67,68. Using the Varshni conditions6, Wang and coworkers demonstrated the equivalence of the Manning-Rosen, Deng-Fan and Schiöberg potentials64. The Schiöberg oscillator incorporates three independent input parameters viz De, re and ωe.
In the quest to model an efficient version of the Schiöberg oscillator, the authors in Ref.69 employed the transformation r → r−r0 and the Varshni conditions6 to construct the reparameterized Schiöberg potential. The reparameterized Schiöberg oscillator is expected to encapsulate four independent input parameters: De, re, ωe and αe, nevertheless, the explicit form of the parameter r0 was not deduced. Many diatomic molecule oscillators have been used by physicists and chemists to predict the thermochemical properties of gaseous molecules6,55,59,61,62,63,64,65. However, for this purpose, the deformed Schiöberg potential has not been considered in the literature. It must be emphasized that q-deforming a potential energy function and subsequently subjecting it to the Varshni conditions for a diatomic molecule potential yields an equivalent model to the reparameterized version35. For this reason, the present study primary objectives are to obtain the energy spectra and thermochemical functions of the deformed Schiöberg oscillator. The remaining parts of the paper is organized as follows: In section “Construction of the DSO”, the deformed Schiöberg oscillator is constructed. In section “Equation for the energy spectra of the DSO”, explicit equation for the energy spectra is derived. Thermochemical functions are obtained in section “Thermochemical functions of the DSO”. The results of numerical calculations are presented in section “Results and discussion”. A brief conclusion of the work is given in section “Conclusions”.
Construction of the DSO
In this section, the deformed Schiöberg oscillator (DSO) is constructed by employing the Varshni conditions6. The suggested model potential is given by
where, cothq (αr) = coshq (αr)/sinhq (αr), coshq (αr) = ½ (eαr + e−αr), sinhq (αr) = ½ (eαr−e−αr), r is the interparticle separation, U0 is the depth of the potential well, q, α and σ are potential parameters. Evidently, (1) is the q-deformed version given in Ref.64. The main difference between Eq. (1) and expression (1) of Ref.70 lies in the functional forms of the two models.
Equation (1) is a diatomic molecule oscillator if it satisfies the following conditions6
where the prime in (2) denotes the derivative with respect to r, the speed of light is designated c, and μ is the reduced mass of a molecule. Inserting Eq. (1) into each of the expressions in (2) gives
where σ = tanhq γ, U0 = De (1−σ)−2, \(\varepsilon = \tfrac{1}{{{\uppi }c\omega_{\text{e}} }}\left( {\tfrac{{2D_{\text{e}} }}{{M_{0} }}} \right)^{{\tfrac{1}{2}}}\), and γ = αre. The next step is to determine the potential screening parameter, α. The αe-ωe relationship given in publication64 can be used, viz
where Be = ħ/4πcM0re2, ħ = h/2π, h being the Planck constant. U″(re) and U‴(re) are obtained from Eq. (1) as
Putting Eq. (5) into (4) and simplifying leads to
Equation for the energy spectra of the DSO
In this section, an analytical equation for the energy spectra is derived by solving the radial SE confined by the DSO. Different analytical methods for solving the SE exist in the literature22,23,24,25,26,27,28. However, owing to the simplicity of the parametric Nikiforov-Uvarov (PNU) technique27, it is considered in this work.
A brief outline of the PNU method
The PNU method gives that with the aid of a suitable coordinate transformation, a second-order differential equation of the hypergeometric-type can be expressed as27
where αj (j = 0, 1, 2) are constant coefficients, n = 0, 1, 2, … is the vibrational (or principal) quantum number and ℓ = 0, 1, 2, … is the rotational (or orbital momentum) quantum number. The quantization condition leading to energy spectra is written as27
where
Analytical equation for the energy levels of the DSO by the PNU method
The radial SE for a particle of mass M0 moving in a radial potential field, U (r) is given by
where J = ℓ (ℓ + 1) is the angular momentum of the system, unℓ (r) is the radial wave function and Enℓ is the bound-state energy eigenvalue. Owing to the presence of the factor r-2 in the centrifugal term, expression (10) has no exact solution with the potential (1), except for the special case where ℓ = 0 (the pure vibrational state). Nevertheless, an approximate analytical solution can be obtained with the help of approximation models. For small values of r, a Pekeris-type approximation scheme can be written for r-2 as follows
where the constant coefficients dj (j = 1, 2, 3) are deduced by the procedures outlined in Ref.71 as
Inserting Eqs. (1) and (11) into (10) gives
Using the substitution z-1 = 1−q-1 e2αr, Eq. (13) is transformed to
where
By comparing expressions (14) and (7), one obtains α1 = 1, α2 = 2, α3 = 1. Using these results in Eq. (9) gives α4 = α5 = 0, α6 = τ1, α7 = – τ2, α8 = τ3 and α9 = τ1−τ2 + τ3. Inserting the values of α2, α3, α4, α5, α6, α7, α8 and α9 into (8) yields
Using the expressions in (15) to eliminate τ1, τ2 and τ3 in (16), the expressions for bound-state energy
The pure vibrational state energy En0 → En is obtained by letting ℓ = 0 in Eq. (17) to obtain
The maximum vibrational quantum number is deduced from the expression E′n (nmax) = 0, substituting (18) into this expression gives
nmax is essentially a positive integer, which is the value of n at which the energy of the system is a maximum.
Thermochemical functions of the DSO
Having obtained the equation for vibrational state energies, in this section, some important analytical models for the prediction of thermochemical properties of substances are developed for the DSO. The canonical partition function from which the thermodynamic expressions are deduced is first derived. The canonical partition function is written as Z (T) = ZvibZrotZtra, where T is the temperature of the system, Zvib, Zrot, and Ztra are the vibrational, rotational and translational partition functions, respectively44,55. The vibrational partition function depends on the oscillator used to model the diatomic system, it is given as34
where β = 1/(kBT), kB is the Boltzmann constant. Putting Eq. (18) into (20) gives
where
The series in (21) can be evaluated with the help of the modified Poisson summation formula72. The modified Poisson summation approach is used here because it is simple to implement and has yielded very accurate results with many oscillator models such as those in Refs.35,38,73,74. Other methods for evaluating the vibrational partition function including the phase space sampling method and the Euler-Maclaurin summation approach are given in Refs.75,76. Based on the modified Poisson summation formula, one can write72
Substituting the second expression in (22) into the right-hand side of (23) and expanding out the summation gives
where \(\lambda_{0} = \varsigma \left( {\delta - \tfrac{\kappa }{\delta }} \right)\), \(\lambda_{1} = \varsigma \left( {n_{\max } + 1 + \delta - \tfrac{\kappa }{{n_{\max } + 1 + \delta }}} \right)\). The last-two terms in (24) include quantum correction terms. For the moderate to high temperature range of diatomic systems, the quantum correction terms are small and can be ignored. Therefore, expression (24) is recast as
Using the substitution z = ς {y + δ−κ/(y + δ)}, followed by the mapping x = (z2 + 2ςκ2)½ to evaluate the integral, the summation in (25) is obtained as
Thus, inserting (26) into (21), the vibrational partition function is obtained in compact form as
where
Based on the formalism of the rigid-rotor approximation for diatomic molecules, the rotational and translational components of the partition function are expressed as36,40,46,50
where V is satisfied by pV = RT, m is the mass of gas molecules enclosed in volume V, the gas pressure is denoted by p, R is the molar gas constant, \(\Theta_{{{\text{rot}}}} = \hbar^{{2}} /{2}\pi \mu r_{{\text{e}}}^{{2}} {\text{k}}_{{\text{B}}}\) is the characteristic temperature of the gas. The parameter υ takes the value 2 if the gas is homonuclear, and 1 for heteronuclear gas molecules. Using the expression for the partition function, explicit equations for molar entropy, enthalpy, Gibbs free energy and constant pressure heat capacity are developed for the DSO as follows.
Molar entropy equation for the deformed Schiöberg oscillator
The molar entropy (J mol−1 K−1) of the system can be evaluated from the relation53
Substituting the expression Z (T) = ZvibZrotZtra into (31) and using Eqs. (27), (29) and (30) in the result, one obtains
where for compactness, the following abbreviation is used
Molar enthalpy model of the DSO
The molar enthalpy (J mol−1) of the DSO can be deduced from the expression54
The substitution Z (T) = ZvibZrotZtra and Eqs. (27), (29) and (30) and (34) yields
Equation (35) can be used to compute molar enthalpy data for diatomic substances. However, to enable the results obtained in this study to be compared with available literature, scaled values of (35) are needed. The scaled molar enthalpy is written as44,45
where h298.15 is given by (35), it denotes the molar enthalpy of the molecules calculated at temperature of 298.15 K and pressure of 0.1 MPa.
Molar Gibbs free energy of the DSO
Here, the analytical equation for molar Gibbs free energy is derived for the DSO. The Gibbs free energy is given by
Replacing (34) and (31) into (37) gives
For the purpose of relating to observed data, the scaled Gibbs free energy is defined as44,45
Isobaric molar specific heat capacity model of the DSO
The constant pressure (isobaric) molar heat capacity (in J mol−1 K−1) is evaluated from \({\text{C}}_{p} = \tfrac{{\partial \,{\text{H}}}}{\partial \,T}\)34,40. Substituting expression (35) into this equation gives
where \({{{\rm Z}^{\prime}}}_{{{\text{vib}}}}\) and \({{{\rm Z}^{\prime\prime}}}_{{{\text{vib}}}}\) are given by Eqs. (33) and (41), respectively
Results and discussion
In this section, the equation derived for the energy levels and thermochemical functions are applied to diatomic substances including 7Li2 (2 3Πg), NaBr (X 1Σ+), KBr (X 1Σ+) and KRb (B 1Π) molecules. The model parameters for these molecules are given in Table 1. The experimental values for De, re, ωe and αe were obtained from publications77,78,79. The values of the potential parameters also listed in Table 1 were computed with Eqs. (3) and (6).
To numerically affirm the accuracy of the model equations, the percentage average absolute deviation (PAAD) of the predicted results from the observed data for the molecule is employed as accuracy indicator. The PAAD values are interpreted according to Lippincott condition for the applicability of a model equation. The Lippincott criterion requires that the PAAD value of the predicted data from the observed data is at most 1% of the experimental results. The smaller the PAAD value, better the model equation. The PAAD value is written in compact form as80
where Np is the count of observed data, X, Y and Z are chosen in relation to the predicted and observed data.
Numerical results for potential energies
Utilizing the spectroscopic parameters in Table 1, Eq. (1) is used to generate numerical results for the potential energy U (≡ Umin, Umax) for different vales of r (≡ rmin, rmax). The results obtained are given in Tables 2, 3, 4 and 5. Available experimental Rydberg–Klein–Rees (RKR) data77,79, and the multireference configuration interaction (MRCI) data78 for the molecules are also included in the tables. The inclusion of the RKR and MRCI data is to allow for comparison of the predicted values of the potential energies with the observed data for the molecules. The variation in potential energy of the molecules as a function of interparticle separation is given in Figs. 1, 2, 3 and 4. The experimental RKR data are also plotted in the figures. The figures show that the computed potential energy of the molecules agree with the experimental data for the molecules.
The accuracy of the DSO to model the experimental RKR data can be determined by letting X = RKR, Y = U and Z = De in Eq. (42). With the help of the resulting expression and the data in Tables 2, 3, 4 and 5, the PAAD values obtained are 1.3319%, 0.2108%, 0.2359% and 0.8841% for the 7Li2 (2 3Πg), NaBr (X 1Σ+), KBr (X 1Σ+) and KRb (B 1Π) molecules, respectively. Therefore, based on the Lippincott criterion, it can be inferred that the DSO could satisfactorily reproduce the experimental RKR and MRCI results for the selected diatomic molecules.
Applicability of the Pekeris approximation scheme to diatomic systems
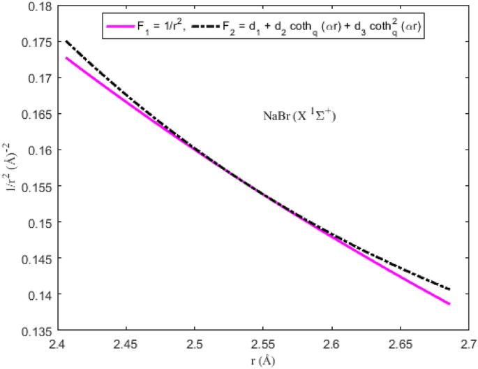
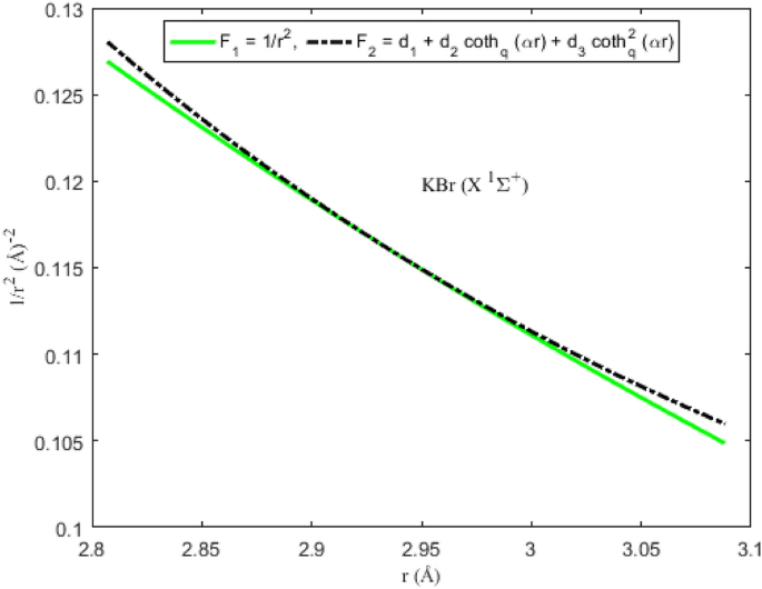
To ascertain the significance of the Pekeris-type approximation model (11) suggested for the centrifugal barrier of the SE, the function F1 = r−2 is plotted as a function of interparticle separation. On the same scale and axes, the approximation function F2 = d1 + d2 cothq (αr) + d3 cothq2 (αr) is also plotted. The graphical plots depicting F1 and F2 for the diatomic molecules are shown in Figs. 5, 6, 7 and 8. It is evident from the figures that for the range of r chosen for the interparticle separations, the Pekeris approximation F2 is a good representation of the observed function F1. The implication of the result is that based on the parameters of the diatomic molecules considered in this study, the Pekeris approximation model F2 could be used to eliminate the function F1 to analytically solve the SE (10).
Numerical results for pure vibrational state energies
With the aid of Eq. (18), pure vibrational state energies are generated for the selected diatomic molecules. The computed results are summarized in Tables 2, 3, 4 and 5. To quantitatively compare the obtained bound-state energies with the experimental RKR results for the molecules, the parameters in Eq. (42) are adjusted so that X = Z = RKR and Y = En. The PAAD values obtained are 1.0956%, 0.2935%, 3.8667% and 1.4629% for the 7Li2 (2 3Πg), NaBr (X 1Σ+), KBr (X 1Σ+) and KRb (B 1Π) molecules, respectively. Therefore, based on the Lippincott requirement for the applicability of a model equation, the present formula for the pure vibrational state energies could satisfactorily predict the experimental data for the NaBr (X 1Σ+) molecule, and marginally model the results for 7Li2 (2 3Πg) and KRb (B 1Π) molecules. The PAAD value obtained for the KRb (B 1Π) molecule is relatively high (≈ 4% of the observed data), suggesting that the present energy levels equation could not satisfactorily predict the observed data for the KRb (B 1Π) molecule.
Investigation of thermochemical properties of diatomic substances
In this section, the thermodynamic functions developed for the DSO are used to analyze the thermochemical properties of pure substances. To substantiate the accuracy of the model equations, numerical data are obtained analytically and the results are compared with the literature on gaseous substances. The experimental results were retrieved from the National Institute of Standards and Technology (NIST) database81. The NIST data is available for the gaseous NaBr and KBr molecules only. Thus, our discussions are restricted to these two molecules. PAAD values computed in the temperature range 300–6000 K are used to gauge the accuracy of the model equations.
Tables 6 and 7 summarize the data obtained using Eqs. (32), (36), (39) and (40). The NIST data for the molecules are also listed in the tables under the columns (SNIST), (HNIST), (GNIST) and (CpNIST). Graphical plots of the thermochemical equations versus temperature are represented in Figs. 9, 10, 11 and 12. The corresponding NIST data are also plotted in the figures. Due to the similarity in the figures for the NaBr and KBr molecules, only the plots for NaBr molecule are presented.
Figure 9 shows the graphical representation of the molar entropy against temperature. The figure shows that the predicted molar entropy agrees with the experimental results. To appraise the quality of the molar entropy model, the parameters X, Y, Z in Eq. (42) are chosen such that X = Z = SNIST and Z = S. The PAAD values deduced are 0.5401% and 1.2919%, for NaBr and KBr molecules, respectively. The obtained PAAD values are within the Lippincott error limit. This means that molar entropy equation proposed for the DSO could satisfactorily predict the NIST data for the gaseous NaBr and KBr molecules.
In the plot shown in Fig. 10, scaled molar enthalpy is plotted as a function of temperature. The agreement between the observed and predicted data is evident in the figure. An estimate of the efficiency of the molar enthalpy model can be obtained by letting X = Z = HNIST and Z = Hscaled in Eq. (42). Using the data in Tables 6 and 7, the computed PAAD values are 1.9428% and 1.5639% for the NaBr and KBr molecules, respectively. The PAAD values reveal that the DSO model for the scaled molar enthalpy could marginally predict the experimental results for the gaseous molecules. It is also noted from the tables that as the molecules are excited from moderate to high temperature region, the discrepancy between the predicted and observed data increases. The increased difference could be linked to lowest order approximation used to obtain expression (36). The absence of the quantum correction terms in the molar entropy equation is responsible for PAAD values exceeding 1%.
The variations in molar Gibbs free energy with temperature is graphically represented in Fig. 11. The figure show that the results obtained by analytical computations are in good agreement with the data reported in the NIST database for the gaseous substances. With the help of the data in Tables 6 and 7, the PAAD values obtained are 0.8164% and 1.5957% for the ground state NaBr and KBr molecules, respectively. The obtained PAAD values are deduced by setting X = Z = GNIST, Y = Gscaled in (42). Based on the Lippincott condition, it can be inferred that the molar Gibbs free energy model for the DSO could satisfactorily predict the Gibbs free energy of the selected diatomic molecules.
In Fig. 12, the constant pressure molar heat capacity is plotted against the temperature of the molecules. From the figure, it is clear that in the low temperature range, the predicted isobaric molar heat capacity agrees with the experimental data for the molecules. However, in the moderate to high temperature domain, the predicted heat capacity results are smaller, and deviate significantly from the observed data. The reason for the relatively high deviation could be associated with the quantum corrections terms which are absent in Eq. (40).
Taking X = Z = CpNIST, and Y = Cp, the PAAD values deduced for the molecules are 2.9770% and 2.4041% for the ground state NaBr and KBr, respectively. The results clearly suggest that the isobaric molar heat capacity could not accurately predict the experimental results for the NaBr and KBr molecules. Nevertheless, the results in the tables suggest that the model could be used to obtain the molar heat capacity of the molecules within the low temperature range.
Conclusions
In this work, the necessary conditions for a diatomic molecule oscillator were used to construct an improved version of the deformed Schiöberg oscillator (DSO). By employing the parametric Nikiforov-Uvarov solution recipe to solve the radial SE with the DSO, analytical expressions for energy spectra and canonical partition function were obtained. Using the obtained partition function, thermodynamic properties such as molar entropy, enthalpy, Gibbs free energy and isobaric heat capacity were developed for the DSO. The obtained equations were used to analyze the physical properties of diatomic substances including 7Li2 (2 3Πg), NaBr (X 1Σ+), KBr (X 1Σ+) and KRb (B 1Π) molecules. The percentage average absolute deviation (PAAD) of the predicted data from the experimental data of the molecules is used as the goodness-of-fit indicator. The PAAD values obtained with the DSO are 1.3319%, 0.2108%, 0.2359% and 0.8841% for the molecules. The equation of bound state energy levels gave PAAD of 1.0956%, 0.2935%, 3.8667% and 1.4629% from the experimental data of the 7Li2 (2 3Πg), NaBr (X 1Σ+), KBr (X 1Σ+) and KRb (B 1Π) molecules. PAAD values were also obtained using the expression for molar entropy, scaled molar enthalpy, scaled molar Gibbs free energy and constant pressure molar heat capacity models. The results obtained for NaBr (X 1Σ+) molecule are 0.5401%, 1.9428%, 0.8164% and 2.9770%. The corresponding results for KBr (X 1Σ+) are 1.2919%, 1.5639%, 1.5597% and 2.4041% from the NIST data. The results obtained are in good agreement with theoretic data reported in existing literature and available experimental data on diatomic systems. The results obtained in this study could have practical applications in the many fields of physics and engineering such as solid-state physics, chemical physics, chemical engineering and molecular physics.
Data availability
All the data used in this work are in the manuscript.
References
Tietz, T. Potential-energy function for diatomic molecules. J. Chem. Phys. 38, 3036. https://doi.org/10.1063/1.1733648 (1963).
Schiöberg, D. The energy eigenvalues of hyperbolical potential functions. Mol. Phys. 59, 1123. https://doi.org/10.1080/00268978600102631 (1986).
Hua, W. Four-parameter exactly solvable potential for diatomic molecules. Phys. Rev. A 42, 2524. https://doi.org/10.1103/PhysRevA.42.2524 (1990).
Rosen, N. & Morse, P. M. On the vibrations of polyatomic molecules. Phys. Rev. 42, 210. https://doi.org/10.1103/PhysRev.42.210 (1932).
Woods, R. D. & Saxon, D. S. Diffuse surface optical model for nucleon-nuclei scattering. Phys. Rev. 95, 577. https://doi.org/10.1103/PhysRev.95.577 (1954).
Varshni, Y. P. Comparative study of potential energy functions for diatomic molecules. Rev. Mod. Phys. 29, 664. https://doi.org/10.1103/RevModPhys.29.664 (1957).
Mustafa, O. On the ro-vibrational energies for the lithium dimer; maximum-possible rotational levels. J. Phys. B: At. Opt. Phys. 48, 065101. https://doi.org/10.1088/0953-4075/48/6/065101 (2015).
Sargolzaeipor, S., Hassanabadi, H. & Chung, W. S. q-deformed superstatistics of the Schrödinger equation in commutative and noncommutative spaces with magnetic field. Eur. Phys. J. Plus 133, 5. https://doi.org/10.1140/epjp/i2018-11827-1 (2018).
Eyube, E. S., Bitrus, B. M. & Jabil, Y. Y. Thermodynamic relations and ro-vibrational energy levels of the improved Pöschl-Teller oscillator for diatomic molecules. J. Phys. B: At. Mol. Opt. Phys. 54, 155102. https://doi.org/10.1088/1361-6455/ac00c5 (2021).
Yanar, H. Comment on ‘Thermodynamic relations and ro-vibrational energy levels of the improved Pöschl-Teller oscillator for diatomic molecules’. J. Phys. B: At. Mol. Opt. Phys. 55, 178001. https://doi.org/10.1088/1361-6455/ac8212 (2021).
Al Shorman, M. M., Nammas, F. S., Haddad, H. & Shukri, A. A. Heat capacity and entropy of two electrons quantum dot in a magnetic field with parabolic interaction. Chin. J. Phys. 56, 1057. https://doi.org/10.1016/j.cjph.2018.04.012 (2018).
Khordad, R. & Ghanbari, A. Analytical calculations of thermodynamic functions of lithium dimer using modified Tietz and Badawi-Bessis-Bessis potentials. Comp. Theor. Chem. 1155, 1. https://doi.org/10.1016/j.comptc.2019.03.019 (2019).
Eyube, E. S., Yerima, J. B. & Ahmed, A. D. J-state solutions and thermodynamic properties of the Tietz oscillator. Phys. Scr. 96, 055001. https://doi.org/10.1088/1402-4896/abe3be (2021).
Taguefouet, L. M., Mengoue, M. S., Fotue, A. J. & Fobasso, M. E. S. Thermodynamic properties of electron-phonon in a GaAs quadratic quantum dot potential in the presence of impurity and external fields. Eur. Phys. J. Plus 137, 538. https://doi.org/10.1140/epjp/s13360-022-02698-4 (2022).
Oluwadare, O. J., Oyewumi, K. J. & Abiola, T. O. Bound state solutions of the Schrödinger equation and its application to diatomic molecules. Indian J. Phys. 96, 1921. https://doi.org/10.1007/s00894-020-04359-8 (2022).
Arda, A., Tezcan, C. & Sever, R. Thermodynamic quantities for the Klein-Gordon equation with a linear plus inverse-linear potential: Biconfluent Heun functions. Pramana J. Phys. 88, 39. https://doi.org/10.1007/s12043-016-1347-y (2018).
Purohit, K. R., Parmar, R. H. & Rai, A. K. Bound state solution and thermodynamic properties of the screened cosine Kratzer potential under influence of the magnetic field and Aharanov-Bohm flux field. Ann. Phys. 424, 412940. https://doi.org/10.1016/j.aop.2020.168335 (2021).
Naceur, A. & Teyssedou, A. Introducing thermal effects in the rotational energy of diatomic molecules. Results Phys. 18, 103285. https://doi.org/10.1016/j.rinp.2020.103285 (2020).
Habibinejad, M., Khordad, R. & Ghanbari, A. Specific heat at constant pressure, enthalpy and Gibbs free energy of boron nitride (BN) using q-deformed exponential-type potential. Phys. B 613, 412940. https://doi.org/10.1016/j.physb.2021.412940 (2021).
Figarova, S. R., Hasiyeva, G. N. & Figarov, V. R. Thermodynamic properties of electron gas in complex-shaped quantum well. Phys. E 69, 24. https://doi.org/10.1016/j.physe.2015.01.013 (2015).
Khordad, R. & Mirhosseini, B. Application of Tietz potential to study optical properties of spherical quantum dots. Pramana J. Phys. 85, 723. https://doi.org/10.1007/s12043-014-0906-3 (2015).
Ciftel, H., Hall, R. L. & Saad, N. Asymptotic iteration method for eigenvalue problems. J. Phys. A: Math. Gen. 36, 11807. https://doi.org/10.1088/0305-4470/36/47/008 (2003).
Ma, Z. Q. & Xu, B. W. Quantum correction in exact quantization rules. EPL 69, 685. https://doi.org/10.1209/epl/i2004-10418-8 (2005).
Serrano, F. A., Gu, X. Y. & Dong, S. H. Qiang-Dong proper quantization rule and its applications to exactly solvable quantum systems. J. Math. Phys. 51, 082103. https://doi.org/10.1063/1.3466802 (2010).
Gendenshtein, L. E. Derivation of exact spectra of the Schrödinger equation by means of supersymmetry. Phys. JETP Lett. 38, 356 (1983).
Nikiforov, A. F. & Uvarov, V. B. Special functions of mathematical physics. Birkhauser Basel https://doi.org/10.1007/978-1-4757-1595-8 (1988).
Tezcan, C. & Sever, R. A general approach for the exact solution of the Schrödinger equation. Int. J. Theor. Phys. 48, 337. https://doi.org/10.1007/s10773-008-9806-y (2009).
Tsaur, G. Y. & Wang, J. A universal Laplace-transform approach to solving Schrödinger equations for all known solvable models. Eur. J. Phys. 35, 015006. https://doi.org/10.1088/0143-0807/35/1/015006 (2014).
Yalkowsky, S. H. & Alantary, D. Estimation of melting points of organics. J. Pharm. Sci. 107, 1211. https://doi.org/10.1016/j.xphs.2017.12.013 (2018).
Hou, C. et al. Recognition of early blight and late blight diseases on potato leaves based on graph cut segmentation. J. Agric. Food Res. 5, 100154. https://doi.org/10.1016/j.jafr.2021.100154 (2021).
Knight, K. S., Bull, C. L. & McIntyre, P. Low temperature, high pressure thermo-physical and crystallographic properties of KZnF3 perovskite. Mater. Chem. Phys. 199, 393. https://doi.org/10.1016/j.matchemphys.2017.07.025 (2017).
Abdeslam, S. & Chihi, T. Molecular dynamics study of size and cooling rate effects on physical properties of Niobium nanoclusters. Chin. J. Phys. 56, 2710. https://doi.org/10.1016/j.cjph.2018.11.002 (2018).
Wang, C. W. et al. A novel formulation representation of the equilibrium constant for water gas shift reaction. Int. J. Hydrog. Energy 47, 27821. https://doi.org/10.1016/j.ijhydene.2022.06.105 (2022).
Eyube, E. S. et al. Isobaric molar heat capacity model for the improved Tietz potential model. Int. J. Quantum Chem. 123, e27040. https://doi.org/10.1002/qua.27040 (2023).
Eyube, E. S. Reparameterised Pöschl-Teller oscillator and analytical molar entropy equation for diatomic molecules. Mol. Phys. 120, e2037774. https://doi.org/10.1080/00268976.2022.2037774 (2022).
Jia, C. S. et al. Enthalpy of gaseous phosphorus dimer. Chem. Eng. Sci. 190, 1. https://doi.org/10.1016/j.ces.2018.03.009 (2018).
Fan, Z. et al. Thermodynamic properties of carbon monoxide using an improved Hulburt–Hirschfelder potential. Int. J. Thermophys. 44, 22. https://doi.org/10.1007/s10765-022-03091-0 (2023).
Eyube, E. S. Entropy and Gibbs free energy equations for the specialized Pöschl-Teller potential. Eur. Phys. J. Plus 137, 760. https://doi.org/10.1140/epjp/s13360-022-02931-0 (2022).
Wang, J. F., Peng, X. L., Zhang, L. H., Wang, C. W. & Jia, C. S. Entropy of gaseous boron monobromide. Chem. Phys. Lett. 686, 131. https://doi.org/10.1016/j.cplett.2017.08.047 (2017).
Fan, Q. C. et al. A method for predicting the molar heat capacities of HBr and HCl gases based on full set of molecular rovibrational energies. Spectrochim. Acta A Mol. Biomol. Spectrosc. 267, 120564. https://doi.org/10.1016/j.saa.2021.120564 (2022).
Tang, B., Wang, Y. T., Peng, X. L., Zhang, L. H. & Jia, C. S. Efficient predictions of Gibbs free energy for the gases CO, BF, and gaseous BBr. J. Mol. Struct. 1199, 126958. https://doi.org/10.1016/j.molstruc.2019.126958 (2020).
Horchani, R., Shafii, S. A., Friha, H. & Jelassi, H. A straightforward model for molar enthalpy prediction of CsO, CsF, and CsCl molecules via shifted tietz-wei potential. Int. J. Thermophys. 42, 84. https://doi.org/10.1007/s10765-021-02839-4 (2021).
Horchani, R. & Jelassi, H. A four-parameters model for molar entropy calculation of diatomic molecules via shifted Tietz-Wei potential. Chem. Phys. Lett. 753, 137583. https://doi.org/10.1016/j.cplett.2020.137583 (2020).
Eyube, E. S. Prediction of thermal properties of phosphorus dimer—The analytical approach. Chem. Phys. Lett. 801, 139702. https://doi.org/10.1016/j.cplett.2022.139702 (2022).
Eyube, E. S., Onate, C. A., Omugbe, E. & Nwabueze, C. M. Theoretical prediction of Gibbs free energy and specific heat capacity of gaseous molecules. Chem. Phys. 560, 111572. https://doi.org/10.1016/j.chemphys.2022.111572 (2022).
Ding, Q. C. et al. Prediction of thermodynamic properties of sulfur dimer. Chem. Phys. Lett. 803, 139844. https://doi.org/10.1016/j.cplett.2022.139844 (2022).
Deng, M. & Jia, C. S. Prediction of enthalpy for nitrogen gas. Eur. Phys. J. Plus 133, 258. https://doi.org/10.1140/epjp/i2018-12090-2 (2018).
Jia, C. S. et al. Predictions of thermodynamic properties for hydrogen sulfide. J. Mol. Liq. 315, 113751. https://doi.org/10.1016/j.molliq.2020.113751 (2020).
Wang, J. et al. Thermodynamic properties for carbon dioxide. ACS Omega 4, 19193. https://doi.org/10.1021/acsomega.9b02488 (2019).
Liang, D. C. et al. Prediction of thermodynamic properties of sulfur dioxide. J. Mol. Liq. 352, 118722. https://doi.org/10.1016/j.molliq.2022.118722 (2022).
Horchani, R. & Jelassi, H. Accurate and general model to predict molar entropy for diatomic molecules. S. Afr. J. Chem. Eng. 33, 103. https://doi.org/10.1016/j.sajce.2020.07.001 (2020).
Wang, C. W. et al. Prediction of the ideal-gas thermodynamic properties for water. J. Mol. Liq. 321, 114912. https://doi.org/10.1016/j.molliq.2020.114912 (2021).
Jia, C. S. et al. Prediction of entropy and Gibbs free energy for nitrogen. Chem. Eng. Sci. 202, 70. https://doi.org/10.1016/j.ces.2019.03.033 (2019).
Jia, C. S., Wang, C. W., Zhang, L. H., Peng, X. L. & Tang, H. M. Enthalpy of gaseous phosphorus dimer. Chem. Eng. Sci. 183, 26. https://doi.org/10.1016/j.ces.2018.03.009 (2018).
Eyube, E. S., Nyam, G. G. & Notani, P. P. Improved q-deformed Scarf II oscillator. Phys. Scr. 96, 125017. https://doi.org/10.1088/1402-4896/ac2eff (2021).
Jia, C. S. et al. Predictions of entropy for diatomic molecules and gaseous substances. Chem. Phys. Lett. 692, 57. https://doi.org/10.1016/j.cplett.2017.12.013 (2018).
Jiang, R., Jia, C. S., Wang, Q., Peng, X. L. & Zhang, L. H. Prediction of enthalpy for the gases CO, HCl, and BF. Chem. Phys. Lett. 715, 186. https://doi.org/10.1016/j.cplett.2018.11.044 (2019).
Ding, Q. C. et al. Unified non-fitting formulation representation of thermodynamic properties of diatomic substances. J. Mol. Liq. 371, 121088. https://doi.org/10.1016/j.molliq.2022.121088 (2023).
Jia, C. S. et al. Equivalence of the Wei potential model and Tietz potential model for diatomic molecules. J. Chem. Phys. 137, 014101. https://doi.org/10.1063/1.4731340 (2012).
Falaye, B. J., Ikhdair, S. M. & Hamzavi, M. Shifted Tiet-Wei oscillator for simulating the atomic interaction in diatomic molecules. J. Theor. Appl. Phys. 9, 151. https://doi.org/10.1007/s40094-015-0173-9 (2015).
Yanar, H., Taş, A., Salti, M. & Aydogdu, O. Ro-vibrational energies of CO molecule via improved generalized Pöschl-Teller potential and Pekeris-type approximation. Eur. Phys. J. Plus 135, 292. https://doi.org/10.1140/epjp/s13360-020-00297-9 (2020).
Eyube, E. S., Notani, P. P. & Dikko, A. B. Modeling of diatomic molecules with modified hyperbolical-type potential. Eur. Phys. J. Plus 137, 329. https://doi.org/10.1140/epjp/s13360-022-02526-9 (2022).
Hulburt, H. H. & Hirschfelder, J. O. Potential energy functions for diatomic molecules. J. Chem. Phys. 9, 61. https://doi.org/10.1063/1.1750827 (1941).
Wang, P. Q., Zhang, L. H., Jia, C. S. & Liu, J. Y. Equivalence of the three empirical potential energy models for diatomic molecules. J. Mol. Spectrosc. 274, 5. https://doi.org/10.1016/j.jms.2012.03.005 (2012).
Zhang, G. D., Liu, J. Y., Zhang, L. H., Zhou, W. & Jia, C. S. Modified Rosen-Morse potential-energy model for diatomic molecules. Phys. Rev. A 86, 062510. https://doi.org/10.1103/PhysRevA.86.062510 (2012).
Fu, K. X., Wang, M. & Jia, C. S. Improved five-parameter exponential-type potential energy model for diatomic molecules. Commun. Theor. Phys. 71, 103. https://doi.org/10.1088/0253-6102/71/1/103 (2019).
Jia, C. S., Liu, J. Y., He, L. & Sun, L. T. Pseudospin symmetry in the relativistic empirical potential as a diatomic molecular model. Phys. Scr. 75, 388. https://doi.org/10.1088/0031-8949/75/3/026 (2007).
Dong, S., Miranda, S. G., Enriquez, F. M. & Dong, S. H. Analytical approximations to the ℓ-wave solutions of the schrödinger equation with a hyperbolic potential. Mod. Phys. Lett. B 22, 483. https://doi.org/10.1142/S0217984908015024 (2008).
Wang, P. Q., Liu, J. Y., Zhang, L. H., Cao, S. Y. & Jia, C. S. Improved expressions for the Schiöberg potential energy models for diatomic molecules. J. Mol. Spectrosc. 278, 23. https://doi.org/10.1016/j.jms.2012.07.001 (2012).
Mustafa, O. A new deformed Schiöberg-type potential and ro-vibrational energies for some diatomic molecules. Phys. Scr. 90, 065002. https://doi.org/10.1088/0031-8949/90/6/065002 (2015).
Eyube, E. S. et al. Analytical energy levels of the Schrödinger equation for the improved generalized Pöschl-Yeller oscillator with magnetic vector potential coupling. Eur. Phys. J. D 77, 88. https://doi.org/10.1140/epjd/s10053-023-00666-w (2023).
Strekalov, M. L. An accurate closed-form expression for the partition function of Morse oscillators. Chem. Phys. Lett. 439, 209. https://doi.org/10.1016/j.cplett.2007.03.052 (2007).
Song, X. Q., Wang, C. W. & Jia, C. S. Thermodynamic properties for the sodium dimer. Chem. Phys. Lett. 673, 50. https://doi.org/10.1016/j.cplett.2017.02.010 (2017).
Jia, C. S. et al. Partition function of improved Tietz oscillators. Chem. Phys. Lett. 676, 150. https://doi.org/10.1016/j.cplett.2017.03.068 (2017).
Stratt, R. M. & Miller, W. H. A phase space sampling approach to equilibrium semiclassical statistical mechanics. J. Chem. Phys. 67, 5894. https://doi.org/10.1063/1.434796 (1977).
Guo, J. & Liu, Y. A modified Euler-Maclaurin formula in 1D and 2D with applications in statistical physics. Commun. Theor. Phys. 73, 075002. https://doi.org/10.1088/1572-9494/abf1dd (2021).
Li, D., Xie, F., Li, L., Lazoudis, A. & Lyyra, A. M. New observation of the 6Li7Li, 33Σg+, 13Δg, and 23Πg states and molecular constants with all 6Li2, 7Li2, and 6Li7Li data. J. Mol. Spectrosc. 246, 180. https://doi.org/10.1016/j.jms.2007.09.008 (2007).
Zeid, S., El-Kork, N. & Korek, M. Electronic structure with the calculation of the rovibrational, and dipole moments of the electronic states of the NaBr and KBr molecules. Chem. Phys. 517, 36. https://doi.org/10.1016/j.chemphys.2018.09.037 (2019).
Okada, N., Kasahara, S., Ebi, T., Baba, M. & Katô, H. Optical–optical double resonance polarization spectroscopy of the B 1Π state of 39K85Rb. J. Chem. Phys. 105, 3458. https://doi.org/10.1063/1.472215 (1996).
Steele, D., Lippincott, E. R. & Vanderslice, J. T. Comparative study of empirical internuclear potential functions. Rev. Mod. Phys. 34, 239. https://doi.org/10.1103/RevModPhys.34.239 (1962).
National Institute of Standards and Technology (NIST), NIST Chemistry WebBook, NIST Standard Reference Database Number 69 (2017). https://doi.org/10.18434/T42S31.
Author information
Authors and Affiliations
Contributions
A.D.A.: supervision, writing-original draft, conceptualization, writing-review and editing, methodology. E.S.E.: conceptualization, data curation, writing-original draft, writing-review and editing, methodology, project administration, validation. E.O.: writing-original draft, writing-review and editing, methodology, data curation. C.A.O.: writing-original draft, writing-review and editing, methodology, data curation. P.T.: supervision, writing-original draft, writing-review and editing, methodology. All authors reviewed the manuscript
Corresponding author
Ethics declarations
Competing interests
The authors declare no competing interests.
Additional information
Publisher's note
Springer Nature remains neutral with regard to jurisdictional claims in published maps and institutional affiliations.
Rights and permissions
Open Access This article is licensed under a Creative Commons Attribution 4.0 International License, which permits use, sharing, adaptation, distribution and reproduction in any medium or format, as long as you give appropriate credit to the original author(s) and the source, provide a link to the Creative Commons licence, and indicate if changes were made. The images or other third party material in this article are included in the article's Creative Commons licence, unless indicated otherwise in a credit line to the material. If material is not included in the article's Creative Commons licence and your intended use is not permitted by statutory regulation or exceeds the permitted use, you will need to obtain permission directly from the copyright holder. To view a copy of this licence, visit http://creativecommons.org/licenses/by/4.0/.
About this article
Cite this article
Ahmed, A.D., Eyube, E.S., Omugbe, E. et al. Bound-state energy spectrum and thermochemical functions of the deformed Schiöberg oscillator. Sci Rep 13, 20386 (2023). https://doi.org/10.1038/s41598-023-47235-0
Received:
Accepted:
Published:
Version of record:
DOI: https://doi.org/10.1038/s41598-023-47235-0
This article is cited by
-
Nonempirical models for assessing thermal properties of nonlinear triatomic molecules of the form XY₂
Scientific Reports (2025)














