Figure 4

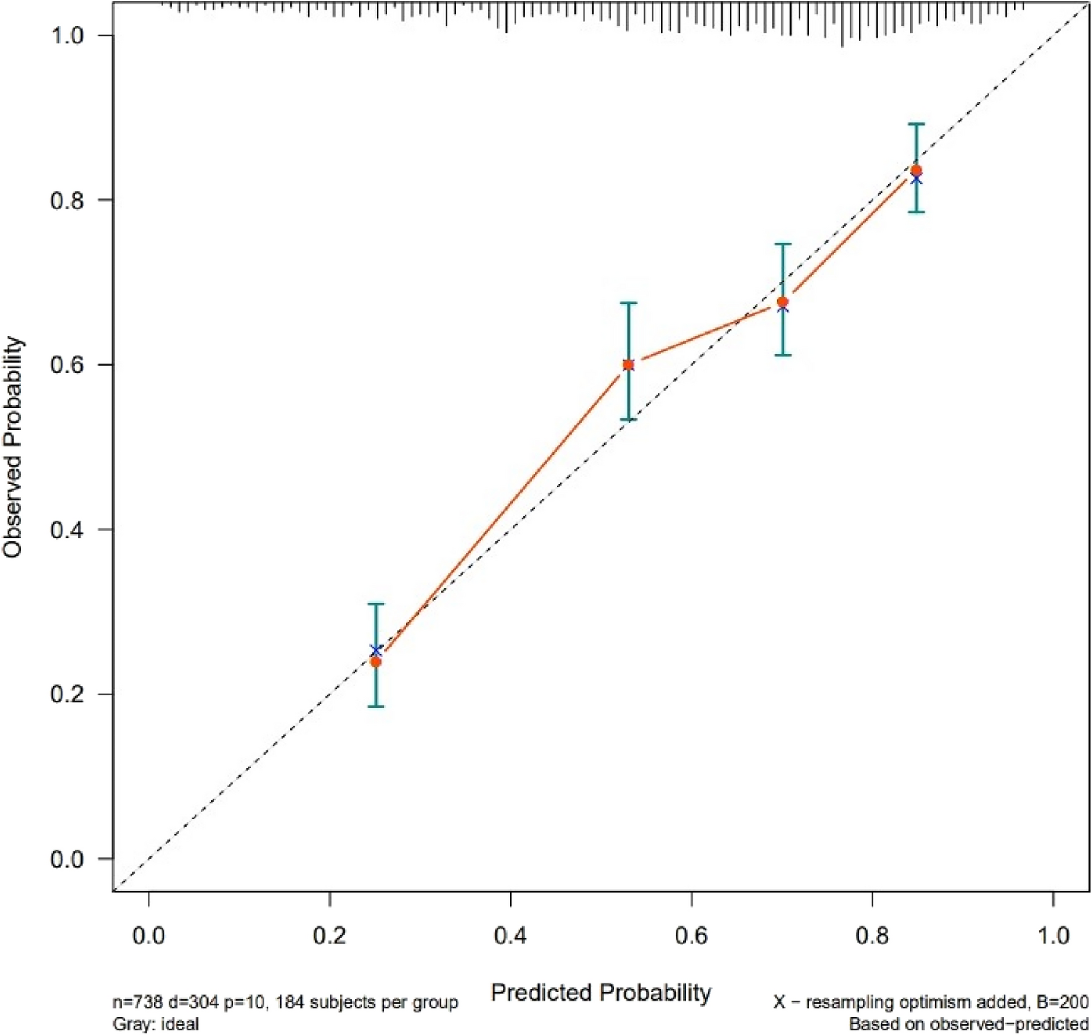
Probability calibration of model-predicted 90-day survival versus actual survival in patients with unplanned ICU transfer.

Probability calibration of model-predicted 90-day survival versus actual survival in patients with unplanned ICU transfer.