Abstract
To investigate the occurrence and 90-day mortality of cancer patients following unplanned admission to the intensive care unit (ICU), as well as to develop a risk prediction model for their 90-day prognosis. We prospectively analyzed data from cancer patients who were admitted to the ICU without prior planning within the past 7 days, specifically between May 12, 2021, and July 12, 2021. The patients were grouped based on their 90-day survival status, and the aim was to identify the risk factors influencing their survival status. A total of 1488 cases were included in the study, with an average age of 63.2 ± 12.4 years. The most common reason for ICU admission was sepsis (n = 940, 63.2%). During their ICU stay, 29.7% of patients required vasoactive drug support (n = 442), 39.8% needed invasive mechanical ventilation support (n = 592), and 82 patients (5.5%) received renal replacement therapy. We conducted a multivariate COX proportional hazards model analysis, which revealed that BMI and a history of hypertension were protective factors. On the other hand, antitumor treatment within the 3 months prior to admission, transfer from the emergency department, general ward, or external hospital, high APACHE score, diagnosis of shock and respiratory failure, receiving invasive ventilation, and experiencing acute kidney injury (AKI) were identified as risk factors for poor prognosis within 90 days after ICU admission. The average length of stay in the ICU was 4 days, while the hospital stay duration was 18 days. A total of 415 patients died within 90 days after ICU admission, resulting in a mortality rate of 27.9%. We selected 8 indicators to construct the predictive model, which demonstrated good discrimination and calibration. The prognosis of cancer patients who are unplanned transferred to the ICU is generally poor. Assessing the risk factors and developing a risk prediction model for these patients can play a significant role in evaluating their prognosis.
Similar content being viewed by others
Introduction
In recent years, the survival rate of cancer patients has increased due to advancements in screening, detection, specific treatment, and side effect management. However, serious adverse events (SAEs) still occur frequently1,2,3,4. Unplanned ICU transfers refer to patients who are unexpectedly admitted to the intensive care unit from a lower level of care in the hospital5. It is evident that unplanned transfers to the ICU are associated with poorer outcomes and higher mortality rates6,7,8,9. Research indicates that the mortality rate for patients transferred to the ICU following elective surgery is approximately 11%. However, for patients transferred to the ICU after emergency surgery, the mortality rate rises to 37%, and those transferred from medical wards have an even worse in-hospital mortality rate of 58%10.
Various improvements have been made in the diagnosis and treatment of critically ill cancer patients. A 2016 article in the CA Cancer J Clin journal discussed and defined criteria for transferring critically ill cancer patients to the ICU, providing valuable guidance for their treatment11. Furthermore, observational studies suggest that early identification of changes in a patient's condition is crucial. Taking early measures can prevent eventual ICU admission, and if admitted, timely interventions can enhance clinical outcomes12. Additionally, Medical Emergency Teams (MET) have been found to play a significant role13,14,15. However, several questions remain unanswered, including the prognosis of patients with unplanned ICU admissions, the potential benefits of ICU admission, factors influencing prognosis, early assessment of a patient's condition, and how to evaluate the endpoint of empirical ICU treatments. These questions necessitate further exploration. Professor Elie Azoulay has highlighted the inadequacy of traditional mortality prediction indicators such as age, leukopenia, and malignant tumor characteristics, emphasizing the need for the development of new diagnostic tests16.
In light of this, our study aimed to analyze the risk factors associated with poor prognosis within 90 days of unplanned ICU admission. We have also developed a risk prediction model that aims to assist clinicians in better understanding the prognosis of their patients.
Methods and materials
Participating hospitals
ICU of 37 cancer hospitals in China.
Patients
This retrospective multicenter cohort study focused on cancer patients admitted to the ICU of 37 cancer hospitals in China between May 2021 and July 2021. The study screened patients who were not initially scheduled for ICU admission.
Inclusion criteria
Inclusion criteria for the study were patients who experienced unplanned ICU admission during the study period. Unplanned admission encompassed cases where patients were accidentally transferred to the ICU from a lower level of care in the hospital, including postoperative patients who were not initially scheduled for ICU transfer before anesthesia, emergency admissions, and patients who were unintentionally transferred to the ICU from general wards17.
Data collection
Data collection involved gathering clinical information from a total of 1488 ICU patients. This included age, gender, height, weight, type of malignant tumor, and chronic underlying conditions such as hypertension, diabetes, coronary heart disease, COPD, chronic renal insufficiency, autoimmune diseases, chronic cardiac insufficiency, chronic hepatic insufficiency, and chronic respiratory insufficiency. Additionally, the treatment status within 3 months before ICU admission was recorded, including chemotherapy, radiotherapy, targeted therapy, immune checkpoint inhibitor therapy, and combination therapy. Acute illness severity was assessed within 24 h of initial ICU admission using the Acute Physiology and Chronic Health Assessment II (APACHE II) and the Systematic Sequential Organ Failure Score (SOFA) system.
For each patient, the following types and numbers of organ failure were recorded within 7 days of ICU admission : (i) Acute respiratory failure, defined as PaO2/FiO2 < 300 mmHg, respiratory rate > 25 breaths per minute, and symptoms of respiratory distress; (ii) shock; (iii) Acute kidney injury, as defined by the KIDGO guidelines, includes: ① an increase in serum creatinine (SCr) by 0.3 mg/dl (≥ 26.5 μmol/L) within 48 h; ② known or presumed renal damage occurring within 7 days, resulting in an SCr increase to more than 1.5 times the baseline value; ③ urine output less than 0.5 ml/(kg·h) sustained for 6 h; and (iv) sepsis is defined as a dysregulated response of the body to an infection causing life-threatening organ dysfunction. Sepsis 3.0 = infection + SOFA ≥ 2. Primary management types implemented in the ICU include conventional mechanical ventilation, vasopressors, and continuous renal replacement therapy (CRRT).
Outcome measures
Length of ICU stay and length of hospital stay: Length of ICU or hospital stay was measured as the number of days from ICU admission to ICU discharge or hospital discharge. ICU mortality, in-hospital mortality, and antitumor treatment after ICU transfer were the final outcome of survival status 90 days after ICU transfer, and were divided into two groups: survivors 90 days after ICU admission and patients who died 90 days after ICU admission. Survival analysis of different survival status was conducted to find the risk factors affecting survival status.
Statistical methods
The quantitative data were analyzed using t-tests for groups that followed a normal distribution, and Wilcoxon rank sum tests were used for groups with quantitative data that did not follow a normal distribution. Qualitative data were described using the number of cases and constituent ratios, and tests were used for group comparisons. Hazard ratios (HR) for each index were calculated using univariate COX regression models. Variables that showed statistically significant differences in univariate analysis (P < 0.05) and variables clinically relevant to patient prognosis were included in the multivariate COX regression model analysis. Multiple factor analysis was employed to select indicators with statistical significance for predicting model factors. The Best Subset Regression, combined with clinical significance, was used for screening and further construction of a nomogram to predict the 90-day prognosis.
Ethics approval and consent to participate
This study conducted in accordance with the Declaration of Helsinki. Written informed Consent was obtained from all participants. The study was approved by Medical Ethics Committee of Tianjin Cancer Hospital. No. bc2021065, Apr.14, 2021.
Results
Of the 37 intensive care units (ICUs) in cancer hospitals, 4 were excluded due to their busy clinical work, which affected case collection. A total of 1494 patients were included in the study, with 6 patients excluded for not meeting admission criteria or lack of information. The study included a total of 1488 patients from 33 ICUs in 26 provinces and cities, out of which 922 patients were selected for unplanned transfer. The flow chart depicting the patient selection process is shown in Fig. 1.
The 1488 cases included in the study were divided into a planned transfer group and an unplanned transfer group. The demographic and clinical characteristics of the patients are presented in Table 1. The unplanned transfer group consisted of 922 patients, with 574 males (62.3%) and 348 females (37.7%). The age of patients ranged from 9 to 90 years, with a mean age of 62.2 ± 12.2. The most common comorbidity among these patients was hypertension, present in 264 cases (28.6%). The majority of patients were transferred from general wards (79.8%). The top four tumor types among the included patients were esophageal cancer, lung cancer, abdominal tumors, and gynecological tumors. The primary reason for ICU admission was sepsis (n = 747, 81%), followed by respiratory failure (n = 468, 50.8%). Other complications observed among the patients included shock (n = 336, 36.4%), grade IV bone marrow suppression (n = 166, 18%), and acute kidney injury (n = 158, 17.1%). During ICU hospitalization, 38% of patients required vasopressor support (n = 352), 42.8% needed invasive mechanical ventilation support (n = 395), and 77 patients (8.3%) received renal replacement therapy.Clinical outcome: In the unplanned transfer patients, 84 (9.1%) died in ICU;102 cases (11.1%) died during hospitalization.376 patients died 90 days after ICU admission, with a mortality rate of 40.8%.In terms of the cause of death, 219 cases (58.2%) were related to tumor progression, and 157 cases (41.8%) were not related to tumor progression.After the transfer, 249 cases received antitumor therapy, accounting for 27.0%.
We conducted univariate and multivariate analysis based on 90-day mortality groups. Univariate analysis showed (see Table 2) that lung cancer,femininity, high BMI, and history of hypertension are protective factors for death within 90 days of admission (hindering the occurrence of death), a history of chronic cardiac insufficiency, antitumor therapy 3 months before admission, transfer from the emergency department, general ward and external hospital, fourth-degree bone marrow suppression, high APACHE score, high SOFA score, sepsis, diagnosis of shock, use of vasoactive drugs, respiratory failure, receiving invasive ventilation, AKI, and renal replacement therapy are risk factors for poor prognosis (accelerating death) within 90 days after ICU admission. On the basis of univariate analysis, a multivariate COX proportional risk model was established (see Table 3). It shows that BMI and hypertension history were protective factors, while antitumor treatment 3 months before admission, transfer from the emergency department, general ward and external hospital, high APACHE score, shock diagnosis and respiratory failure. receiving invasive ventilation and AKI were risk factors for poor prognosis within 90 days after ICU admission.
Establish a prediction model
Model development
A multi-factor analysis was conducted to consider twelve risk factors. The Best Subsets Regression (BSR) method was used to select seven significant indicators for the predictive model(Fig. 2), referred to as Model 1. The indicators of Model 1 include type of tumor2 (lung cancer), BMI, APACHE II, SOFA,invasive ventilation, shock, CRRT. Based on clinical relevance and consideration, the SOFA score was removed and sepsis and source of transfer were added, resulting in Model 2. The indicators of Model 2 are type of tumor2 (lung cancer), BMI, APACHE II, invasive ventilation, shock, CRRT, sepsis, and source of transfer. The predictive performance of the two models was evaluated by comparing the Area Under the Curve (AUC) of their ROC curves. Model 2 exhibited a higher AUC (77.07) compared to Model 1 (74.3). Finally, a nomogram was plotted to predict the 90-day prognosis of patients with unplanned ICU transfer based on the model, as shown in Fig. 3.
Model evaluation
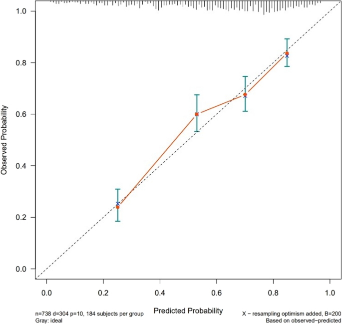
The predictive ability of the model was assessed in terms of discrimination (measured by C-index) and calibration. The C-index was found to be 0.772, indicating a reasonably accurate predictive ability. The calibration curve in Fig. 4 demonstrates good agreement between the predicted risk and the actual outcomes. The curve closely aligns with the 45-degree reference line, indicating a well-calibrated model.
To determine the 90-day survival probability of a patient, follow these steps: First, locate the individual's admission profile on the appropriate axis. Using a pencil and ruler, draw a line vertically up to the top 'Points' axis. Next, sum the two points to create a 'Total Points' score. Finally, draw a line vertically down from the 'Total Points' axis through the '90 Day Survival Probability' axis to obtain the future survival probability. For instance, consider a patient with lung cancer who was admitted to the ICU from the emergency department due to shock. During their time in the ICU, they required invasive ventilation and CRRT. Based on the calculations, the patient's 90-day survival probability is less than 10% (total points: 308; lung cancer: 56 points, emergency department: 140 points, shock: 36 points, invasive ventilation: 44 points, CRRT: 32 points).
Discussion
According to an analysis of the National Audit and Research Centre for Intensive Care (ICNARC) database in the UK, it was discovered that patients with severe tumors often experience physiological disorders a few hours or even a few days before their condition worsens. In 2012, there were approximately 40,000 unplanned admissions to the ICU, with up to 80% of these patients experiencing pre-clinical deterioration18,19,20. Our study found that out of 922 patients who were transferred to the ICU unexpectedly, the ICU mortality rate was 9.1%. The in-hospital mortality rate was 11.1%, with 376 patients dying 90 days after ICU admission, resulting in a mortality rate of 40.8%. These findings align with data from other studies conducted abroad21,22,23. Further subgroup analysis revealed that out of 736 patients transferred through the general ward, the in-hospital mortality rate was 12.2% and the 90-day mortality rate was 35.3%. The mortality rates of patients transferred through the general ward were significantly higher compared to those transferred through the operating room (0.9% and 1.6% respectively). A prospective, multicenter cohort study conducted in 28 Brazilian ICUs found that the in-hospital mortality rate was 58% among patients admitted to the ICU due to an unexpected event in the general ward, compared to 37% and 11% among patients admitted to the ICU after surgery, including emergency or planned surgery24. In that same study, the ICU mortality rate was 6% among patients admitted after elective surgery, compared to 23% among patients admitted after emergency surgery24. Soares et al. also investigated the mortality rates among cancer patients admitted for unplanned surgery and found ICU and in-hospital mortality rates of 23% and 37% respectively. Patients with medical cancer had even higher mortality rates, with ICU and hospital mortality rates of 44% and 58% respectively24. This study indicates that unplanned admissions to the ICU have a significantly higher mortality rate compared to planned admissions. Among these patients, those transferred from the ICU to the general ward have a higher mortality rate than patients transferred directly to the ICU through the operating room. The possible reason for this could be the failure to promptly recognize changes in patients' condition, resulting in delayed ICU treatment. As a result, these patients are admitted to the ICU in a critical condition, sometimes even reaching an irreversible state.
In order to improve the prognosis of patients with unplanned transfer and avoid unnecessary suffering for those with irreversible disease, it is necessary to better understand the epidemiology and identify the prognostic factors specific to this patient population25. Previous studies have mainly focused on identifying clinical variables associated with poor ICU outcomes, but there have been limited studies on populations with unplanned ICU transfers, and even fewer studies on patients with severe cancer26,27,28,29. One notable study conducted by James Malycha et al.30 retrospectively analyzed 16 studies to identify factors associated with unplanned ICU admission. They found that two comorbidities (congestive heart failure and diabetes), two demographic characteristics (advancing age and male sex), one diagnosis (liver disease), and six vital signs (respiratory rate, heart rate, body temperature, systolic and diastolic blood pressure, and arterial oxygen saturation) had strong associations with unplanned ICU admission. The passage also discusses the use of early warning scores, which incorporate vital signs, and the establishment of specialized rapid response teams/medical emergency teams to promptly detect changes in patient condition and provide appropriate interventions. The MERIT study, a multicenter randomized controlled trial, demonstrated a significant decrease in adverse outcomes with an increase in the response of medical emergency teams31. Another study in Japan examined the relationship between hospital capacity, RRS (Rapid Response System) call rates, and clinical outcomes of activated RRS patients, concluding that higher RRS call rates in hospitals resulted in a decrease in unplanned ICU admissions32. Similar studies have also shown a strong correlation between changes in vital signs and unplanned ICU admissions14,33,34. In our study, we focused on analyzing organ damage and organ support rather than redundant statistical analyses. It is crucial to examine the deteriorating patient conditions and the functional status of organs upon ICU admission, as they provide critical insights for subsequent treatment. We used the 90-day survival status as the final outcome, dividing it into two groups: the 90-day survival group and the 90-day death group. We analyzed the risk factors of both groups to identify indicators that could impact patient prognosis. Multivariate analysis revealed several predictive factors for poor prognosis of UIA. These included high BMI and a history of hypertension as protective factors, antitumor therapy 3 months before admission, transfer to the emergency department, general ward, or other hospitals, high APACHEII score, and organ injury (such as shock, respiratory failure, and AKI). Organ support, specifically receiving invasive ventilation, was identified as a risk factor for poor prognosis within 90 days after admission to UIA. Studies have shown that patients with overweight or obesity (excluding morbid obesity) have a 60-day reduction in mortality compared to those with normal BMI35, This may be attributed to the increased activity of the renin-angiotensin system36 and the ability of lipoproteins and adipocytes to inhibit the release of harmful inflammatory mediators37,38. When organ dysfunction such as shock occurs, individuals with a history of hypertension are more likely to maintain a higher blood pressure level, which can be considered a favorable factor for short-term prognosis. However, further studies are needed to explore the mechanisms behind this. On the other hand, we observed that patients with a history of tumor treatment within 3 months prior to admission had a poor prognosis, possibly due to varying degrees of organ damage during the treatment. Additionally, our analysis revealed that patients admitted from general wards had a worse prognosis compared to those from operating rooms. Statistical results indicated that a high APACHE II score was an independent risk factor for poor prognosis, while the SOFA score did not demonstrate comparable predictive power to the APACHE II score, which is consistent with the findings of previous studies39,40. Among the various organ injuries, acute respiratory failure was found to be the primary reason for ICU admission. A secondary analysis of the EFRAIM study by Soraya Benguerfi et al. revealed that the main causes of acute respiratory failure among cancer patients admitted to the ICU included infection, non-pulmonary sepsis, cancer-related acute lung injury, and compensation for chronic diseases41. It is worth noting that acute respiratory failure often necessitates mechanical ventilation29, which, compared to other oxygen therapies, is a major negative prognostic factor and is associated with a significant increase in mortality42,43. The presence of shock was a significant factor leading to unplanned transfers to the ICU, with an incidence rate of 36.4%. Septic shock was found to be the most common type of shock. Additionally, acute renal failure was identified as a predictor of poor prognosis. It occurs in 12% to 36% of cancer patients and is associated with high morbidity and mortality44,45. Studies have indicated that 16% to 23% of cancer patients admitted to the ICU develop severe renal failure and require renal replacement therapy46,47. Our findings revealed that the incidence of acute kidney injury (AKI) was 17.1%, and further continuous renal replacement therapy (CRRT) support was necessary in 8.3% of cases. The etiology of renal failure in cancer patients is often multifactorial and may be attributed to the cancer itself, cancer treatment, or related complications48,49.
This study aimed to analyze the clinical factors associated with poor prognosis in unplanned ICU transfers. The findings can help identify high-risk groups, particularly those who were empirically admitted to the ICU, to some extent, and avoid unnecessary overtreatment and patient suffering. The evolution of organ dysfunction following intensive ICU treatment may serve as a more reliable predictor of prognosis compared to various scores assessed prior to admission50. Instead of making decisions about providing intensive care based on static parameters assessed at admission, the decision to continue full intensive care should be based on the patient's changing condition. While the use of nomograms to predict individual patient risks has been widely reported in cancer research, the prognostic risk of unplanned referrals in patients with severe tumors is rarely studied. However, it is important not to ignore this population in cancer treatment as it is crucial for determining the subsequent treatment direction. To address this, we have developed a risk prediction model based on multiple factors analysis and mapped it to a nomogram. This nomogram can help physicians evaluate the prognosis of patients receiving empirical therapy in the ICU and assist in determining the next steps for treatment. It represents an important innovation in ICU patient prognosis assessment51.
Our study also has some limitations. Firstly, the duration of the study was short, with only 2 months of clinical data collected. A longer prospective study would be needed to account for any time-dependent effects on disease incidence. Secondly, the evaluation indicators used were not comprehensive enough. For instance, due to the low incidence of neurological severe disease in cancer hospitals, the population of patients who were unplanned transferred due to neurological severe disease was not statistically analyzed. Furthermore, the accuracy of the linear map needs to be verified with more clinical data before it can be widely adopted.
Conclusions
This study is the first multicenter study in China to focus on severe cancer patients who are not scheduled to be transferred to the ICU. We have described the general characteristics of this population and proposed prognostic factors. Additionally, we have developed a risk prediction model that can guide treatment and prognosis in the ICU for this population.
Data availability
The data that support the findings of this study are available from Cancer Critical Care Committee of China Anti-Cancer Association but restrictions apply to the availability of these data, which were used under license for the current study, and so are not publicly available. Data are however available from the authors upon reasonable request and with permission of Cancer Critical Care Committee of China Anti-Cancer Association.
References
de Vries, E. N. et al. The incidence and nature of in-hospital adverse events: A systematic review. Qual. Saf. Health Care 17(3), 216–223 (2008).
Leape, L. L. et al. The nature of adverse events in hospitalized patients. Results of the Harvard Medical Practice Study II. N. Engl. J. Med. 324(6), 377–384 (1991).
Wilson, R. M. et al. The quality in Australian health care study. Med. J. Aust. 163(9), 458–471 (1995).
Vlayen, A. et al. Incidence and preventability of adverse events requiring intensive care admission: A systematic review. J. Eval. Clin. Pract. 18(2), 485–497 (2012).
Vlayen, A. et al. Exploring unplanned ICU admissions: A systematic review. JBI Libr. Syst. Rev. 9(25), 925–959 (2011).
Goldhill, D. R. & Sumner, A. Outcome of intensive care patients in a group of British intensive care units. Crit. Care Med. 26(8), 1337–1345 (1998).
Escarce, J. J. & Kelley, M. A. Admission source to the medical intensive care unit predicts hospital death independent of APACHE II score. JAMA 264(18), 2389–2394 (1990).
Parkhe, M. et al. Outcome of emergency department patients with delayed admission to an intensive care unit. Emerg. Med. (Fremantle) 14(1), 50–57 (2002).
Bristow, P. J. et al. Rates of in-hospital arrests, deaths and intensive care admissions: The effect of a medical emergency team. Med. J. Aust. 173(5), 236–240 (2000).
Bos, M. M. et al. Intensive care admission of cancer patients: A comparative analysis. Cancer Med. 4(7), 966–976 (2015).
Orosz, J. et al. Unplanned ICU admission from hospital wards after rapid response team review in Australia and New Zealand. Crit. Care Med. 48(7), e550–e556 (2020).
van Galen, L. S. et al. Delayed recognition of deterioration of patients in general wards is mostly caused by human related monitoring failures: A root cause analysis of unplanned ICU admissions. PLoS ONE 11(8), e0161393 (2016).
Jones, D. et al. Long term effect of a medical emergency team on cardiac arrests in a teaching hospital. Crit. Care 9(6), R808–R815 (2005).
Moon, A. et al. An eight year audit before and after the introduction of modified early warning score (MEWS) charts, of patients admitted to a tertiary referral intensive care unit after CPR. Resuscitation 82(2), 150–154 (2011).
Subbe, C. P., Gao, H. & Harrison, D. A. Reproducibility of physiological track-and-trigger warning systems for identifying at-risk patients on the ward. Intensive Care Med. 33(4), 619–624 (2007).
Azoulay, E. et al. Intensive care of the cancer patient: Recent achievements and remaining challenges. Ann. Intensive Care 1(1), 5 (2011).
Arts, D. et al. Quality of data collected for severity of illness scores in the Dutch National Intensive Care Evaluation (NICE) registry. Intensive Care Med. 28(5), 656–659 (2002).
Kause, J. et al. A comparison of antecedents to cardiac arrests, deaths and emergency intensive care admissions in Australia and New Zealand, and the United Kingdom—The ACADEMIA study. Resuscitation 62(3), 275–282 (2004).
Stelfox, H. T., Bagshaw, S. M. & Gao, S. Characteristics and outcomes for hospitalized patients with recurrent clinical deterioration and repeat medical emergency team activation*. Crit. Care Med. 42(7), 1601–1609 (2014).
Buist, M. et al. Association between clinically abnormal observations and subsequent in-hospital mortality: A prospective study. Resuscitation 62(2), 137–141 (2004).
Puxty, K. et al. Survival in solid cancer patients following intensive care unit admission. Intensive Care Med. 40(10), 1409–1428 (2014).
Namendys-Silva, S. A. et al. Outcome of critically Ill patients with testicular cancer. Biomed. Res. Int. 2017, 3702605 (2017).
Hulse, K. et al. Characteristics and outcomes of lung cancer patients after intensive care admission. J. Intensive Care Soc. 16(3), 239 (2015).
Soares, M. et al. Characteristics and outcomes of patients with cancer requiring admission to intensive care units: A prospective multicenter study. Crit. Care Med. 38(1), 9–15 (2010).
Ostermann, M. et al. Characteristics and outcome of cancer patients admitted to the ICU in England, Wales, and Northern Ireland and National Trends Between 1997 and 2013. Crit. Care Med. 45(10), 1668–1676 (2017).
Hourmant, Y. et al. Impact of early ICU admission on outcome of critically ill and critically ill cancer patients: A systematic review and meta-analysis. J. Crit. Care 61, 82–88 (2021).
Cullati, S. et al. Physicians’ views and agreement about patient- and context-related factors influencing ICU admission decisions: A prospective study. J. Clin. Med. 10(14), 3068 (2021).
Heo, S. J. et al. Prediction of short- and long-term survival for advanced cancer patients after ICU admission. Support Care Cancer 23(6), 1647–1655 (2015).
Groeger, J. S. et al. Probability of mortality of critically ill cancer patients at 72 h of intensive care unit (ICU) management. Support Care Cancer 11(11), 686–695 (2003).
Malycha, J. et al. Patient centred variables with univariate associations with unplanned ICU admission: A systematic review. BMC Med. Inform. Decis. Mak. 19(1), 98 (2019).
Hillman, K. et al. Introduction of the medical emergency team (MET) system: A cluster-randomised controlled trial. Lancet 365(9477), 2091–2097 (2005).
Eddahchouri, Y. et al. Effect of continuous wireless vital sign monitoring on unplanned ICU admissions and rapid response team calls: A before-and-after study. Br. J. Anaesth. 128(5), 857–863 (2022).
Pittard, A. J. Out of our reach? Assessing the impact of introducing a critical care outreach service. Anaesthesia 58(9), 882–885 (2003).
Alam, N. et al. Exploring the performance of the National Early Warning Score (NEWS) in a European emergency department. Resuscitation 90, 111–115 (2015).
Pepper, D. J. et al. Increased body mass index and adjusted mortality in ICU patients with sepsis or septic shock: A systematic review and meta-analysis. Crit. Care 20(1), 181 (2016).
Kershaw, E. E. & Flier, J. S. Adipose tissue as an endocrine organ. J. Clin. Endocrinol. Metab. 89(6), 2548–2556 (2004).
Yealy, D. M. et al. A randomized trial of protocol-based care for early septic shock. N. Engl. J. Med. 370(18), 1683–1693 (2014).
Wu, A., Hinds, C. J. & Thiemermann, C. High-density lipoproteins in sepsis and septic shock: Metabolism, actions, and therapeutic applications. Shock 21(3), 210–221 (2004).
Headley, J., Theriault, R. & Smith, T. L. Independent validation of APACHE II severity of illness score for predicting mortality in patients with breast cancer admitted to the intensive care unit. Cancer 70(2), 497–503 (1992).
Chang, L. et al. Prognostic accuracy of acute physiology and chronic health evaluation II scores in critically ill cancer patients. Am. J. Crit. Care 15(1), 47–53 (2006).
Benguerfi, S. et al. Etiologies and outcome of patients with solid tumors admitted to ICU with acute respiratory failure: A secondary analysis of the EFRAIM study. Respir. Care 68(6), 740–748 (2023).
Bird, G. T. et al. Outcomes and prognostic factors in patients with haematological malignancy admitted to a specialist cancer intensive care unit: A 5 yr study. Br. J. Anaesth. 108(3), 452–459 (2012).
Depuydt, P. O. et al. Outcome in noninvasively and invasively ventilated hematologic patients with acute respiratory failure. Chest 126(4), 1299–1306 (2004).
Lahoti, A. et al. Predictors and outcome of acute kidney injury in patients with acute myelogenous leukemia or high-risk myelodysplastic syndrome. Cancer 116(17), 4063–4068 (2010).
Salahudeen, A. K. et al. Incidence rate, clinical correlates, and outcomes of AKI in patients admitted to a comprehensive cancer center. Clin. J. Am. Soc. Nephrol. 8(3), 347–354 (2013).
Benoit, D. D. et al. Outcome in critically ill medical patients treated with renal replacement therapy for acute renal failure: Comparison between patients with and those without haematological malignancies. Nephrol. Dial Transplant. 20(3), 552–558 (2005).
Heeg, M. et al. Prognosis of AKI in malignant diseases with and without sepsis. BMC Anesthesiol. 13(1), 36 (2013).
Lameire, N. H. et al. Acute renal failure in cancer patients. Ann. Med. 37(1), 13–25 (2005).
Soares, M. et al. Prognosis of critically ill patients with cancer and acute renal dysfunction. J. Clin. Oncol. 24(24), 4003–4010 (2006).
Roze, D. O. A. et al. Clinical characteristics and outcomes of patients with acute myelogenous leukemia admitted to intensive care: A case-control study. BMC Cancer 10, 516 (2010).
Groeger, J. S. et al. Probability of mortality of critically ill cancer patients at 72 h of intensive care unit (ICU) management. Support. Care Cancer 11(11), 686–695 (2003).
Acknowledgements
We would like to thank Rui Xia, an ICU doctor at Tianjin Medical University Cancer Institute and Hospital, for her help in designing the study. We would like to thank Shuangshuang Tian from the Statistics Department of Shanxi Provincial People's Hospital for her statistical and review assistance for our paper. We would like to thank Cancer Critical Care Committee of China Anti-Cancer Association for the study date.
Author information
Authors and Affiliations
Contributions
M.W. and M.H. conceived and designed the study. M.W. and Y.D. wrote the main manuscript text. M.W., M.H., D.W., X.X., R.Q., G.Z., K.L., B.Z., Y.Y., D.Z., J.Z., G.M., Z.J., B.H., S.X., Y.X., L.Z., H.W., R.L., S.M., Y.Q., C.W., Z.Z., N.S., L.X., J.L., M.Z., Z.G., Y.T., L.Z., X.Z., W.C., D.W., J.C. collected study data and reviewed the manuscript.
Corresponding author
Ethics declarations
Competing interests
The authors declare no competing interests.
Additional information
Publisher's note
Springer Nature remains neutral with regard to jurisdictional claims in published maps and institutional affiliations.
Rights and permissions
Open Access This article is licensed under a Creative Commons Attribution 4.0 International License, which permits use, sharing, adaptation, distribution and reproduction in any medium or format, as long as you give appropriate credit to the original author(s) and the source, provide a link to the Creative Commons licence, and indicate if changes were made. The images or other third party material in this article are included in the article's Creative Commons licence, unless indicated otherwise in a credit line to the material. If material is not included in the article's Creative Commons licence and your intended use is not permitted by statutory regulation or exceeds the permitted use, you will need to obtain permission directly from the copyright holder. To view a copy of this licence, visit http://creativecommons.org/licenses/by/4.0/.
About this article
Cite this article
Wei, M., Huang, M., Duan, Y. et al. Prognostic and risk factor analysis of cancer patients after unplanned ICU admission: a real-world multicenter study. Sci Rep 13, 22340 (2023). https://doi.org/10.1038/s41598-023-49219-6
Received:
Accepted:
Published:
Version of record:
DOI: https://doi.org/10.1038/s41598-023-49219-6






