Abstract
Males in many vertebrate species have colorful ornaments that evolved by sexual selection. The role of androgens in the genesis and maintenance of these signals is unclear. We studied 21 adult high-ranking male rhesus macaques from nine social groups in the free-ranging population on Cayo Santiago, Puerto Rico, and analyzed facial and genital skin luminance and redness, fecal androgens, rates of mating behaviors, and offspring sired. Facial and genital coloration varied in relation to age, mating behavior, reproductive success, and testosterone concentration. Our results indicate that skin coloration in high-ranking male rhesus macaques is a sexually-selected trait mediated by androgens. These results add to the growing literature on the proximate and ultimate causes of male sexual signals and highlight the need to examine how these characteristics change with age in other species.
Similar content being viewed by others
Introduction
Sexually-selected signals are widespread in animals and come in many forms, including armaments, colorful ornaments, songs, pheromones, and more1,2. Honest signals are generally costly, such that only high-quality individuals can afford elaborate ornaments3,4. Low-quality individuals are more likely to produce cheaper, less elaborate, or sometimes dishonest signals3,5, 6. This pattern has been shown by a large body of research demonstrating links between signal quality and genetic quality or condition, especially in males7,8,9,10. Females who choose to mate with well-ornamented males can benefit directly from their courtship behavior (e.g., if it involves providing food, space, protection, or other services) and may be more likely to produce offspring of high genetic quality3,7, 11, 12.
Although many male mammals are equipped with armaments such as antlers, fangs, and claws11,13,14,15,16,17, relatively few aside from some primate species present colorful ornamentation18. Perhaps the best example of mammalian color ornamentation is the male mandrill, which has bright red and blue facial patterns19. Males in other primate species also have bright coloration in their faces (e.g., uakaris20; rhesus macaques18), chests (e.g., geladas21,22), or genitals (e.g., vervet monkeys23,24). In some species, coloration reflects male age and rank25 and brightness reflects health20 and blood flow26.
Many primate species live in groups with dominance hierarchies that result in uneven access to resources, with the result that higher-ranking males are generally in better body condition than lower-ranking ones27. However, there is no clear relationship between male rank, body condition, and ornamentation. Coloration has been correlated with social status in vervet monkeys28 and mandrills19, but other studies found opposing or no relationship between social status and coloration29,30. Given that sexually-dimorphic coloration in primates evolved independently multiple times, it may function and be regulated differently in different species31, and factors other than rank can impact coloration29,32. Additionally, some aspects of coloration in male primates are sexual signals used in female choice33,34, while others are associated with signalling to other males as part of intrasexual competition34,35.
Testosterone and other androgens are key hormones in regulating the expression of many forms of male ornamentation and other sexually-dimorphic traits18,25,36,37,38,39. High testosterone production, however, can suppress immune function6 such that in many species, only high-quality individuals are capable of maintaining their health while producing costly, testosterone-dependent ornaments6. High-ranking males generally maintain higher concentrations of testosterone40,41,42; therefore, coloration is often correlated with rank position. However, there are exceptions to this pattern43.
The rhesus macaque (Macaca mulatta) is one of the primate species in which male individuals present facial and genital ornamentation30,44. This species also has clear linear dominance hierarchies related to age classes for males45. However, these hierarchies can be unstable at times and do not always follow the order of succession46,47. High-ranking males spend more time in consortship with females48 and have higher rates of copulation and ejaculation49, resulting in greater reproductive success than low-ranking males48,50,51. In rhesus macaques, higher-ranking males do not necessarily have redder faces or genitals30,33,52. Males with dark red faces, however, receive as much attention from females33 (as well as from other adult males53) as high-ranking males do54.
Although one would expect high rank and red coloration to be both associated with high testosterone, this is not necessarily the case. Many studies of rank and testosterone in male rhesus macaques have produced conflicting results55,56,57,58,59, and the only study to date of rank and color in this species has produced negative results30, despite the fact that red color is hypothesized to be androgen-dependent18,36,39. Age could potentially be a variable complicating the relationship between rank, reproduction, hormones, and coloration, as age is known to be associated with each of these factors60,61.
Previous research has found that males who are both high-ranking and dark in color have higher fecundity than other males62. Thus, in this study, we focused on top-ranking males, which allowed us to investigate further whether variation in skin color among these males explains variation in their mating behavior and reproductive success. By focusing on males who are in similar social and sexual contexts, we decreased the sources of variation that can otherwise impair our ability to understand the causes and consequences of skin color variation. The aim of this paper is three-fold: first, to understand how androgens and color ornamentation (measured as facial and scrotal redness and luminance) correlate; second, to test if androgens and color vary by rank position and age among top-ranking male rhesus macaques; and third, to examine if reproductive variation (namely rates of consortship, mounting, and ejaculation and the number of offspring produced by each male), was predicted by color and testosterone concentrations, independent of age or rank. Based on previous research, we did not expect a relationship between rank and color30,33,54 or between rank and testosterone56,60. However, we did expect that facial and genital skin color would vary with androgen concentrations and male reproductive effort. We expected that males with higher testosterone and dark red faces would have higher rates of consortship, mounting, and ejaculation and sire more offspring. We also expected that older males would have lower testosterone and reproductive success60,61.
Material and methods
Study animals
The study was conducted on the Cayo Santiago rhesus macaques, a semi free-ranging population located on an island in Puerto Rico. The population is provisioned with food and water and has been monitored since its foundation in 193863. At the time of this study, this population consisted of approximately 1200 individuals distributed in multimale-multifemale groups of various sizes47. Birth records, genetic data, and pedigrees of the island individuals are available, allowing us to determine reproductive success of males63. Data for this study were collected during the mating season of 2013 (February to July). We collected behavioral data, fecal samples, and images from 21 males (between 7 and 21 years old) belonging to nine groups. These males were selected based on their high rank (being one of the top three highest-ranking males in a given group) at the onset of the study47. Rank number varied from 1 (alpha) to 2 (beta) or 3 (gamma) for males in established groups and rank 4 was used for three males that were alpha (n = 2) and beta (n = 1) males in two small, recently formed groups that were not well-established. The study was approved by the IACUC of the University of Puerto Rico, Medical Sciences Campus (Protocol No. A0100108). All methods were performed following the relevant regulations and guidelines.
Behavioral data collection
Detailed information on behavioral data collection can be found in Milich et al.61. Briefly, animals were followed for five days a week from March to July 2013, and we conducted 10-min focal follows on each male. If males engaged in consortship, focal follows would last up to 60 min. During focal follows, we collected scans every two minutes. Consortship was defined as an extended association between a male and a female with both doing activities together (travelling, affiliative behaviors, mountings etc.). During these consorthips, we noted all occurrences of sexual behavior, such as mounting and ejaculation, ad libitum61.
Hormonal assay
Sample collection and extraction followed Milich et al.64. Briefly, we collected fecal samples opportunistically during focal follows and stored them on ice while in the field and then at − 20 °C until extraction. Samples were collected into tubes immediately after defecation by an identified focal individual. Using 0.5 g (± 0.03 g) of fresh samples, we employed the extraction protocol of Palme65 using 80% methanol. We measured immunoreactive testosterone in the resulting 234 fecal extracts (\(\overline{X}\)= 11 samples/male) using enzyme immunoassays (EIAs) at the University of New Mexico, with reagents and protocols provided by the Clinical Endocrinology Laboratory at the University of California at Davis (Antibody R156/7). This protocol is the most widely used assay for the determination of testosterone in mammalian feces, having been validated across a wide range of taxa, including in primates (Mandrillus sphinx39; Colobus vellerosus66; Gorilla beringei beringei67). An alternative assay for epiandrosterone has been preferred for macaques based on an in vivo experiment that found negligible concentrations of excreted testosterone in the feces of a single long-tailed macaque68. However, we found the testosterone assay produced highly correlated results to the epiandrosterone assay (r = 0.55, N = 50, p < 0.0001), but with increased reliability. Interassay CVs were 12.7% for a low sample pool and 9.6% for a high sample pool and the intra-assay CV of duplicates was 5.7%.
Color data collection
Facial and genital photographs were taken in March and April 2013. From the photos, we measured red intensity and luminance non-invasively. These measures are similar to measures in humans and domesticated animals that are categorized by brightness and redness (e.g.69). Photos were compared to a color standard (X-rite ColorChecker passport) to account for ambient light color and intensity.
Each photograph was taken 1–3m away from the male while he was sitting or standing still in a clear location and not in contact with another individual with a Canon EOS Rebel T2i 18-megapixel camera with a CMOS APS sensor and an EF-S 55–250 mm f/4–5.6 IS lens70,71,72. Using the sequential method70,71,72, a second and a third photo of the color standard (which included a neutral white patch) held by an assistant in the same position as the skin area had been photographed immediately afterwards using the same camera settings. Whenever possible, we took multiple pictures of the same male.
Skin coloration was quantified using methods previously described elsewhere33. Briefly, images were converted to 16-bit TIFF files using DCRAW73, and average red (R), green (G), and blue (B) measurements were taken from a fixed portion of the face and the neutral white patch from the color standard. RGB values were computationally transformed from the camera’s color space to rhesus color space using standard visual modelling methods74,75, resulting in estimates of rhesus long (LW, 565 nm), medium (MW, 535 nm), and short (SW, 431 nm) wavelength photoreceptor catches (data from76,77. Two measures of facial coloration were then calculated: the red-green opponency (R-G) channel (LW − MW)/(LW + MW), and the luminance channel (LW + MW)/278. Both R-G and luminance were calculated for every image, averaged within a series of images at a given time point, and averaged across series within a day when applicable. Given that color measures could change slightly from day-to-day (redness SD < 0.03 and luminance SD < 0.1) we averaged color values monthly. These methods follow previously validated protocols for use in primates70 that have previously been shown to produce reliable color measurements within this population33.
Number of offspring sired
As previously described in Milich et al.61, the number of offspring produced in 2013 were calculated from the long-term database managed by the Caribbean Primate Research Center. Briefly, samples for genetic analysis to determine offspring paternity were collected when the offspring were yearlings, meaning that infants who died prior to this sampling period were not included in the calculations. In 2013, infant mortality was 13% of all infants born, and we cannot account for who sired those offspring.
Statistical analysis
For the mating behavior measures, we used three measures and calculated the percentage of days in which a male was observed (1) consorting, (2) mounting, or (3) ejaculating with a female partner (hereafter ‘rates’). Reproductive success was determined by the number of offspring produced by a given male in 2013. The age of each male was calculated from the long-term birth records for Cayo Santiago. Variables were tested for normality using Shapiro–Wilk tests and variables were normally-distributed, except for age, rank, and the offspring produced.
First, we checked the correlations between ornamentation and testosterone with Pearson’s correlation. Given that color measures were highly correlated, we used one measure of coloration at a time and one reproductive measure as the dependent variable at a time. For our second aim, to understand whether and how androgens and color ornamentation vary with rank and age among top-ranking male rhesus macaques, we tested if face redness and luminance and scrotal redness and luminance were predicted by testosterone, rank or age with linear models (facial/scrotal coloration ~ testosterone + rank + age). We also compared model fit including and excluding male ID as a random factor with ANOVA test. Because male ID did not affect the model, we opted for the most parsimonious approach79 of using the simplest model (i.e., those without male ID as the random factor).
Third, to examine whether skin color, testosterone concentrations, rank, and age predicted reproductive measures (namely rates of consortship, mounting, and ejaculation and the number of offspring produced by each male), we employed several models to investigate these relationships. We used one reproductive measure at a time: reproductive variation measure ~ facial/scrotal coloration + testosterone + rank + age.
In all models, we used monthly average values for skin color, testosterone concentrations, and rates of consortship, mounting, and ejaculation for each male. Because rank, age, and offspring sired did not change monthly, we used a single measure. We used lme4 package with Gaussian family distribution for most models, except the number of offspring sired, where we used the Poisson distribution given that the residual deviance divided by the degrees of freedom was close to 1 (1.14). We provide Akaike Information Criteria (AIC), as well model fit R2 for each model. We ran all analyses in R v4.0.3.
Results
Variation between facial coloration, genital coloration, and androgen concentrations
There were significant negative correlations between luminance and redness for both facial (r = − 0.46; p < 0.001) and genital skin (r = − 0.46; p < 0.001), meaning that redder skin was also darker. There was a strong positive correlation between facial and genital redness (r = 0.52; p < 0.001) and a weaker correlation between facial and genital luminance (r = 0.3; p = 0.03), meaning that skin color and luminance in both areas co-varied.
Testosterone was significantly positively correlated with face luminance (r = 0.36; p = 0.009) and negatively correlated with face redness (r = − 0.27; p = 0.05), meaning that males with higher testosterone concentrations were paler and less red than other males. Similarly, testosterone was also positively correlated with scrotal luminance (r = 0.44; p = 0.006), but not with scrotal redness (r = − 0.2; p = 0.2).
Effect of rank position and age on androgens and color ornamentation
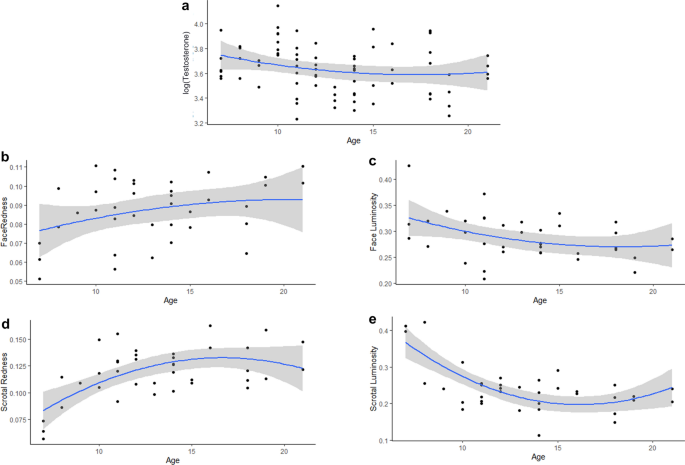
Among high-ranking males, rank was not a significant predictor of facial or scrotal coloration or testosterone (Table 1). These findings are potentially biased because all males were high ranking. However, age was an important predictor of several measures (Fig. 1; Table 1). Face redness varied by age (Fig. 1b; Table 1), and face luminance was negatively associated with age, with older males having lower luminance (Fig. 1c; Table 1). Scrotal coloration was predicted by age, with older males having redder and darker scrotum (Fig. 1d,e; Table 1).
Effect of androgen and color ornamentation on mating and reproductive output
Males with higher androgen concentrations showed higher rates of mounting and spent more time in consortships (Table 2), but ejaculation rates were not predicted by androgen concentrations. Mounting and consortship rates also varied in relation to color measures with males with redder scrotum having higher rates of mounting and males with darker scrotum spent more time consorting. Variation in ejaculation rates was not predicted by facial or genital redness or luminance. Group instability (i.e., being a top-ranking male in a group that was not well-established—coded as Rank 4) had a significant negative effect on consortship rates, meaning that males who were top-ranking in small, unestablished groups whose membership was not consistent had lower consortship rates.
The number of offspring sired by the focal males for the mating season in which they were observed was predicted by several measures (Table 3). Age was significant in all models, with older males siring fewer offspring. Males that sired more offspring had redder faces and both darker and redder scrotum. Finally, group instability was significant in all models, with high-ranking males from small, unestablished groups producing fewer offspring. The best fit model included the interaction between scrotum redness, testosterone concentrations, rank, and age (lowest AIC = 146.0; Nagelkerke’s R2 = 0.80).
Discussion
Our study provides support for the hypothesis that facial and genital skin color in male rhesus macaques are sexually-selected signals associated with variation in reproductive success; it also supports the view that older male rhesus macaques experience reproductive senescence. Our results point to testosterone as a potential physiological mechanism underlying variation in these ornaments.
In our study, high-ranking males across all groups in the Cayo Santiago population were represented in the dataset, whereas previous research generally examined color variation in males within one group. Although previous research did not find an association of facial skin coloration and androgen concentrations60, our results indicate that these factors are associated in high-ranking males. These findings suggest that there could be an underlying factor associated with being high-ranking that interacts with testosterone in producing skin coloration, such that they are only correlated among high-ranking males, and that testosterone is not the only factor that affects skin coloration. Examples of potential underlying factors include variation in mating behaviors, genetic quality, or general health/body condition. Better condition may simultaneously enable higher testosterone, redder coloration, and higher rank to be achieved, which could explain the correlations observed. Such patterns have been observed in birds80 and mammals81, including primates specifically22.
We found that high-ranking males with redder scrotum had higher rates of mounting and males with darker scrotum had higher rates of consortship. In previous studies, rhesus macaque females paid more attention to and preferred to mate with males with dark red faces33,53; males exhibited darker faces on days that they were observed copulating than on days in which they did not copulate54. However, we did not find a significant relationship for facial coloration and mating behaviors, only between scrotal coloration and those behaviors. The lack of relationship between facial color and mating behaviors may be due to using monthly averages instead of daily or weekly measures. Higher testosterone concentrations were also associated with increased mounting by males and a higher proportion of days spent consorting. These results are consistent with previous findings that males with higher testosterone spend more time in consortships58. Although the directionality of the relationship between skin coloration, testosterone, and mating behavior is unclear, it is possible that if males with a particular skin coloration are preferred by females, the resulting increased opportunities for mating for these high-ranking males may trigger a feedback loop that results in higher circulating androgens. Alternatively, androgens may be a proximate factor mediating skin coloration in high-ranking male rhesus macaques, and the resulting trait for males with high circulating testosterone concentrations attracts females and leads to more mating opportunities.
We found that facial and genital skin coloration was associated with variation in the number of offspring sired by males. Males with dark red scrotal coloration and red faces sired more offspring. The strongest association in our study was between scrotal color and offspring sired. Males with dark red scrotums had more offspring than other males, consistent with the findings of Dubuc et al.62. Despite having dark facial and genital skin, the oldest males produced fewer offspring and had lower testosterone concentrations; this finding is consistent with a previous report of male reproductive senescence in this population, indicating that despite high mating effort, old males do not sire many offspring61. In vervet monkeys (Chlorocebus sp.), older males and males with larger canines had lighter scrotal color82. However, it is important to note that there is an interaction between color, rank, age, and testosterone, and understanding this relationship is complex under natural conditions, as was seen in wild birds80.
It is possible that skin coloration correlates with physical, morphometric measurements, but this relationship has not been assessed in rhesus macaques. More studies integrating experimental and naturalistic approaches are needed to provided evidence concerning the hormonal regulation of skin coloration in rhesus macaques. Given that our study was conducted on high-ranking males who generally have more mating opportunities than low-ranking males and we only collected data during the mating season, we may not have captured the full range of color variation that is seen across the entire population during all times of the year as well as the full range of its physiological, behavioral, and reproductive correlates. Future studies could further explore these relationships by assessing changes in high-ranking male coloration throughout the year and in relation to changes in behavior, physiology, and reproduction. Additionally, collecting daily fecal samples and color measurements during the peak-mating season would allow us to examine the timing of changes in androgens in relation to color changes to try to determine the directionality of that relationship. Moreover, with the availability of genetic paternity data, one could assess offspring survival in relation to the sire’s coloration at the time of conception.
In our sample of all high-ranking males, we did not find an association between male rank and any of the coloration measures for the three highest ranking males in each group. These findings are consistent with previous reports that found that male coloration and rank are not linked in rhesus macaques33,60. One previous study did find an association between rank and color in males, but only on days they copulated54. In some other primate species, a relationship between color and rank has been reported; for example, high-ranking male vervet monkeys exhibited a lighter scrotum color (Chlorocebus pygerythrus25) and alpha crested macaque males have the most colorful scrotum in their group (Macaca nigra83). Colorful ornamentations are hypothesized to function as badges of status or quality signals21,30 that reflect dominance status in some species84,85. However, in species where dominance is often acquired through age or tenure in a group, such as rhesus macaques, the dynamics between color and dominance status likely differ.
As previously reported for this rhesus macaque population60, we found a correlation between facial and genital skin redness and luminance. However, unlike Higham et al.30, we found a relationship between facial skin coloration and androgen concentrations, as well as that genital luminance (but not redness) co-varied with androgen concentrations in the highest-ranking males in the population. Since it was first noticed, red color in rhesus macaque males has been assumed to be androgen-dependent18,36,39 (but see Higham et al.60). Testosterone induces vasodilatation and increases blood flow44,86, resulting in more intense scrotal redness44,87. In a study in which male rhesus macaques were treated with exogenous hormones, scrotal redness increased after androgen administration, but there was no effect on facial redness44. In some immunocastrated males (e.g., lambs), the resulting reduction in circulating androgens was associated with darker and redder scrotal relative to control animals that did not undergo immunocastration88. Such differences in directionality of the relationship between androgens and redness may reflect species differences in female preferences, but the links between androgen concentrations and color suggest that this trait is under hormonal control. More research is needed to precisely understand the nature of the cause-effect relationships.
Androgens are not the only hormone to mediate color. In a number of different primate species, female sex skin color is known to be dependent on hormones, particularly estrogens89,90,91,92. The same is presumably true also for female facial coloration, which in some species such as rhesus macaques, becomes redder around the time of ovulation72,93. Future research on color ornamentation in male rhesus macaques should incorporate measures of estrogens, as well.
Facial color in male rhesus macaques has been hypothesized to be linked to female mate choice94. In rhesus macaques, males with dark red faces receive as much attention from females (as well as from other adult males53) as high-ranking males do33,54. Moreover, although rhesus macaques exhibit linear dominance hierarchies related to age classes for males45, top-ranking males do not necessarily have redder faces or genitals30,33,52. Our study confirmed that higher rates of mating behaviors and offspring sired were indeed independent of top rank position, but they did correlate with coloration. Although we did not directly measure female mate choice, our study combined with these previous studies of the same population30,33,52,53,54 support the hypothesis that male coloration is a sexually selected trait that is linked to female mate choice.
Alternatively or in addition to female mate choice, skin coloration in rhesus macaques could be a sexually-selected signal that influences male-male competition. When competition is intense, trait expression and dominance can be correlated (e.g., orang-utan cheeks95; vervet scrotal color28). Such displays are thought to prevent escalation to physical aggression between males96. If these traits function to signal individual quality, intrasexual competition may be enhanced by mate choice as those “winner” traits may also be preferred by females3,7, as is the case in mandrills34 and could also be applicable to our study. Male coloration may be an honest signal of body condition and health that females can use to select mates3,4,20. Our study, in combination with previous research, provides support for the hypothesis that male facial color is linked to female mate choice in rhesus macaques, and we provide evidence that genital ornamentation—particularly luminance—is also a key element in this mix and that androgens are associated with variation in these color variables in high-ranking male rhesus macaques.
Given previous evidence of declining reproductive function with older age in a variety of animal species97, changes in sexually-selected traits in males may be a widespread phenomenon. These age-related changes in color ornamentation could result from reduced hormone concentrations, fewer mating behaviors, or both. In our study, however, relationships are complex, with oldest males having dark faces and genitals and engaging in mating behaviors despite their lower reproductive output. The oldest males (age 18 and above) were sometimes but not always the alpha of their groups. These oldest males had variable testosterone concentrations, consorted frequently, but sired a maximum of one offspring each in 2013. Understanding the relationship between reproductive senescence and sexually-selected traits is an important area of research in evolutionary biology, as it can shed light on the factors that shape mating behavior and reproductive success in male vertebrates.
Data availability
The datasets generated and/or analyzed during the current study are available in a repository, https://1drv.ms/x/s!AhcbdRJNpLfrhttjPcEN7M6zFaKdIg?e=hWPbAO.
References
Wiens, J. J. & Tuschhoff, E. Songs versus colours versus horns: What explains the diversity of sexually selected traits?. Biol. Rev. 95, 847–864 (2020).
Laidre, M. E. & Johnstone, R. A. Animal signals. Curr. Biol. 23, R829–R833 (2013).
Zahavi, A. Mate selection—A selection for a handicap. J. Theor. Biol. 53, 205–214 (1975).
Grafen, A. Biological signals as handicaps. J. Theor. Biol. 144, 517–546 (1990).
Smith, J. M. Honest signalling: The Philip Sidney game. Anim. Behav. 42, 1034–1035 (1991).
Folstad, I. & Karter, A. J. Parasites, bright males, and the immunocompetence handicap. Am. Nat. 139, 603–622 (1992).
Hamilton, W. D. & Zuk, M. Heritable true fitness and bright birds: A role for parasites?. Science 218, 384–387 (1982).
Charpentier, M. J. E., Boulet, M. & Drea, C. M. Smelling right: The scent of male lemurs advertises genetic quality and relatedness. Mol. Ecol. 17, 3225–3233 (2008).
Pellitteri-Rosa, D., Sacchi, R., Galeotti, P., Marchesi, M. & Fasola, M. Courtship displays are condition-dependent signals that reliably reflect male quality in Greek tortoises, Testudo graeca. Chelonian Conserv. Biol. 10, 10–17 (2011).
Whittingham, L. A., Freeman-Gallant, C. R., Taff, C. C. & Dunn, P. O. Different ornaments signal male health and MHC variation in two populations of a warbler. Mol. Ecol. 24, 1584–1595 (2015).
Andersson, M. Sexual Selection (Princeton University Press, NJ, 1994).
Lailvaux, S. P. & Irschick, D. J. A functional perspective on sexual selection: Insights and future prospects. Anim. Behav. 72, 263–273 (2006).
Darwin, C. The Descent of Man and Selection in Relation to Sex (Appleton, 1871).
Butcher, G. S. & Rohwer, S. The evolution of conspicuous and distinctive coloration for communication in birds. In Current Ornithology (ed. Power, D. M.) 51–108 (Springer, 1989). https://doi.org/10.1007/978-1-4757-9918-7_2.
Kodric-Brown, A. Mechanisms of sexual selection: Insights from fishes. Ann. Zool. Fenn. 27, 87–100 (1990).
Emlen, D. J. The evolution of animal weapons. Annu. Rev. Ecol. Evol. Syst. 39, 387–413 (2008).
Rico-Guevara, A. & Hurme, K. J. Intrasexually selected weapons. Biol. Rev. 94, 60–101 (2019).
Dixson, A. F. Primate Sexuality: Comparative Studies of the Prosimians, Monkeys, Apes, and Humans. Primate Sexuality (Oxford University Press, 2012).
Setchell, J. M. & Dixson, A. F. Changes in the secondary sexual adornments of male mandrills (Mandrillus sphinx) are associated with gain and loss of alpha status. Horm. Behav. 39, 177–184 (2001).
Mayor, P. et al. Proximate causes of the red face of the bald uakari monkey (Cacajao calvus). R. Soc. Open Sci. 2, 150145 (2015).
Bergman, T. J., Ho, L. & Beehner, J. C. Chest color and social status in male geladas (Theropithecus gelada). Int. J. Primatol. 30, 791–806 (2009).
DeLacey, P. M. et al. Vascularization underlies differences in sexually selected skin coloration in a wild primate. Mol. Ecol. 32, 4401–4411 (2023).
Struhsaker, T. T. Social structure among vervet monkeys (Cercopithecus aethiops). Behaviour 29, 83–121 (1967).
Young, M. M. I. et al. Male characteristics as predictors of genital color and display variation in vervet monkeys. Behav. Ecol. Sociobiol. 74, 14 (2020).
Greenberg, D., Snyder, K. P., Filazzola, A., Mastromonaco, G. F. & Schoof, V. A. M. Hormonal correlates of male dominance rank, age, and genital colouration in vervet monkey (Chlorocebus pygerythrus). Gen. Comp. Endocrinol. 316, 113948 (2022).
Changizi, M. A., Zhang, Q. & Shimojo, S. Bare skin, blood and the evolution of primate colour vision. Biol. Lett. 2, 217–221 (2006).
Sapolsky, R. M. The influence of social hierarchy on primate health. Science 308, 648–652 (2005).
Gerald, M. S. Primate colour predicts social status and aggressive outcome. Anim. Behav. 61, 559–566 (2001).
Clough, D., Heistermann, M. & Kappeler, P. M. Individual facial coloration in male Eulemur fulvus rufus: A condition-dependent ornament?. Int. J. Primatol. 30, 859–875 (2009).
Higham, J. P., Pfefferle, D., Heistermann, M., Maestripieri, D. & Stevens, M. Signaling in multiple modalities in male rhesus macaques: Sex skin coloration and barks in relation to androgen levels, social status, and mating behavior. Behav. Ecol. Sociobiol. 67, 1457–1469 (2013).
Bradley, B. J. & Mundy, N. I. The primate palette: the evolution of primate coloration. Evol. Anthropol. 17(2), 97–111 (2008).
Waitt, C., Gerald, M. S., Little, A. C. & Kraiselburd, E. Selective attention toward female secondary sexual color in male rhesus macaques. Am. J. Primatol. 68, 738–744 (2006).
Dubuc, C., Allen, W. L., Maestripieri, D. & Higham, J. P. Is male rhesus macaque red color ornamentation attractive to females?. Behav. Ecol. Sociobiol. 68, 1215–1224 (2014).
Setchell, J. M. Do female mandrills prefer brightly colored males?. Int. J. Primatol. 26, 715–735 (2005).
Marty, J. S., Higham, J. P., Gadsby, E. L. & Ross, C. Dominance, coloration, and social and sexual behavior in male drills Mandrillus leucophaeus. Int. J. Primatol. 30, 807–823 (2009).
Vandenbergh, J. G. Hormonal basis of sex skin in male rhesus monkeys. Gen. Comp. Endocrinol. 5, 31–34 (1965).
Blas, J., Pérez-Rodríguez, L., Bortolotti, G. R., Viñuela, J. & Marchant, T. A. Testosterone increases bioavailability of carotenoids: Insights into the honesty of sexual signaling. Proc. Natl. Acad. Sci. 103, 18633–18637 (2006).
Mcglothlin, J. W. et al. Hormones and honest signals: Males with larger ornaments elevate testosterone more when challenged. J. Evol. Biol. 21, 39–48 (2008).
Setchell, J. M., Smith, T., Wickings, E. J. & Knapp, L. A. Social correlates of testosterone and ornamentation in male mandrills. Horm. Behav. 54, 365–372 (2008).
Brockman, D. K., Whitten, P. L., Richard, A. F. & Benander, B. Birth season testosterone levels in male Verreaux’s sifaka, Propithecus verreauxi: Insights into socio-demographic factors mediating seasonal testicular function. Behav. Ecol. Sociobiol. 49, 117–127 (2001).
Girard-Buttoz, C. et al. Androgen correlates of male reproductive effort in wild male long-tailed macaques (Macaca fascicularis): A multi-level test of the challenge hypothesis. Physiol. Behav. 141, 143–153 (2015).
Schoof, V. A. M. et al. Male endocrine response to seasonally varying environmental and social factors in a neotropical primate, Cebus capucinus. Am. J. Phys. Anthropol. 159, 671–682 (2016).
Klinkova, E., Heistermann, M. & Hodges, J. K. Social parameters and urinary testosterone level in male chimpanzees (Pan troglodytes). Horm. Behav. 46, 474–481 (2004).
Rhodes, L. et al. Effects of administration of testosterone, dihydrotestosterone, oestrogen and fadrozole, an aromatase inhibitor, on sex skin colour in intact male rhesus macaques. Reproduction 111, 51–57 (1997).
Maestripieri, D. & Hoffman, C. L. Behavior and social dynamics of rhesus macaques on Cayo Santiago. In Bones, Genetics, and Behavior of Rhesus Macaques (ed. Wang, Q.) 247–262 (Springer, 2012). https://doi.org/10.1007/978-1-4614-1046-1_12.
Georgiev, A. V. et al. Breaking the succession rule: The costs and benefits of an alpha-status take-over by an immigrant rhesus macaque on Cayo Santiago. Behaviour 153, 325–351 (2016).
Milich, K. M. & Maestripieri, D. Sex or power? The function of male displays in rhesus macaques. Behaviour 153, 245–261 (2016).
Dubuc, C., Muniz, L., Heistermann, M., Widdig, A. & Engelhardt, A. Do males time their mate-guarding effort with the fertile phase in order to secure fertilisation in Cayo Santiago rhesus macaques?. Horm. Behav. 61, 696–705 (2012).
Higham, J. P. et al. Familiarity affects the assessment of female facial signals of fertility by free-ranging male rhesus macaques. Proc. R. Soc. B Biol. Sci. 278, 3452–3458 (2011).
Georgiev, A. V., Muehlenbein, M. P., Prall, S. P., Emery Thompson, M. & Maestripieri, D. Male quality, dominance rank, and mating success in free-ranging rhesus macaques. Behav. Ecol. 26, 763–772 (2015).
Widdig, A. et al. A longitudinal analysis of reproductive skew in male rhesus macaques. Proc. R. Soc. Lond. B Biol. Sci. 271, 819–826 (2004).
Berard, J. D., Nurnberg, P., Epplen, J. T. & Schmidtke, J. Alternative reproductive tactics and reproductive success in male rhesus macaques. Behaviour 129, 177–201 (1994).
Dubuc, C. et al. Who cares? Experimental attention biases provide new insights into a mammalian sexual signal. Behav. Ecol. 27, 68–74 (2016).
Petersdorf, M., Dubuc, C., Georgiev, A. V., Winters, S. & Higham, J. P. Is male rhesus macaque facial coloration under intrasexual selection?. Behav. Ecol. 28, 1472–1481 (2017).
Rose, R. M., Holaday, J. W. & Bernstein, I. S. Plasma testosterone, dominance rank and aggressive behaviour in male rhesus monkeys. Nature 231, 366–368 (1971).
Gordon, T. P., Bernstein, I. S. & Rose, R. M. Social and seasonal influences on testosterone secretion in the male rhesus monkey. Physiol. Behav. 21, 623–627 (1978).
Bernstein, I. S., Ruehlmann, T. E., Judge, P. G., Lindquist, T. & Weed, J. L. Testosterone changes during the period of adolescence in male rhesus monkeys (Macaca mulatta). Am. J. Primatol. 24, 29–38 (1991).
Bercovitch, F. B. Reproductive strategies of rhesus macaques. Primates 38, 247–263 (1997).
Bercovitch, F. B. & Clarke, A. S. Dominance rank, cortisol concentrations, and reproductive maturation in male rhesus macaques. Physiol. Behav. 58, 215–221 (1995).
Higham, J. P., Heistermann, M. & Maestripieri, D. The endocrinology of male rhesus macaque social and reproductive status: A test of the challenge and social stress hypotheses. Behav. Ecol. Sociobiol. 67, 19–30 (2013).
Milich, K. M., Ruiz-Lambides, A., Maldonado, E. & Maestripieri, D. Age negatively impacts reproduction in high-ranking male rhesus macaques on Cayo Santiago, Puerto Rico. Sci. Rep. 10, 13044 (2020).
Dubuc, C. et al. Sexually selected skin colour is heritable and related to fecundity in a non-human primate. Proc. R. Soc. B Biol. Sci. 281, 20141602 (2014).
Rawlins, R. G. & Kessler, M. J. The Cayo Santiago Macaques: History, Behavior, and Biology (SUNY Press, 1986).
Milich, K. M., Georgiev, A. V., Petersen, R. M., Emery Thompson, M. & Maestripieri, D. Alpha male status and availability of conceptive females are associated with high glucocorticoid concentrations in high-ranking male rhesus macaques (Macaca mulatta) during the mating season. Horm. Behav. 97, 5–13 (2018).
Palme, R. Measuring fecal steroids: Guidelines for practical application. Ann. N. Y. Acad. Sci. 1046, 75–80 (2005).
Teichroeb, J. A. & Sicotte, P. Social correlates of fecal testosterone in male ursine colobus monkeys (Colobus vellerosus): The effect of male reproductive competition in aseasonal breeders. Horm. Behav. 54, 417–423 (2008).
Rosenbaum, S. et al. Group structure, but not dominance rank, predicts fecal androgen metabolite concentrations of wild male mountain gorillas (Gorilla beringei beringei). Am. J. Primatol. 83, e23295 (2021).
Möhle, U., Heistermann, M., Palme, R. & Hodges, J. K. Characterization of urinary and fecal metabolites of testosterone and their measurement for assessing gonadal endocrine function in male nonhuman primates. Gen. Comp. Endocrinol. 129, 135–145 (2002).
Sheridan, R., Hoffman, L. C. & Ferreira, A. V. Meat quality of Boer goat kids and Mutton Merino lambs 2. Sensory meat evaluation. Anim. Sci. 76, 73–79 (2003).
Bergman, T. J. & Beehner, J. C. A simple method for measuring colour in wild animals: Validation and use on chest patch colour in geladas (Theropithecus gelada): MEASURING COLOUR IN WILD ANIMALS. Biol. J. Linn. Soc. 94, 231–240 (2008).
Higham, J. The reproductive ecology of female olive baboons (Papio hamdryas anubis) at Gashaka-Gumti National Park (2006).
Dubuc, C. et al. Sexual skin color contains information about the timing of the fertile phase in free-ranging Macaca mulatta. Int. J. Primatol. 30, 777–789 (2009).
Coffin, D. DCRAW application. (2015).
Stevens, M., Stoddard, M. C. & Higham, J. P. Studying primate color: Towards visual system-dependent methods. Int. J. Primatol. 30, 893–917 (2009).
Stevens, M., Párraga, C. A., Cuthill, I. C., Partridge, J. C. & Troscianko, T. S. Using digital photography to study animal coloration: USING CAMERAS TO STUDY ANIMAL COLORATION. Biol. J. Linn. Soc. 90, 211–237 (2007).
Bowmaker, J. K., Dartnall, H. J., Lythgoe, J. N. & Mollon, J. D. The visual pigments of rods and cones in the rhesus monkey, Macaca mulatta. J. Physiol. 274, 329–348 (1978).
Hárosi, F. I. Cynomolgus and rhesus monkey visual pigments. Application of Fourier transform smoothing and statistical techniques to the determination of spectral parameters. J. Gen. Physiol. 89, 717–743 (1987).
Osorio, D. & Vorobyev, M. Photoreceptor sectral sensitivities in terrestrial animals: Adaptations for luminance and colour vision. Proc. R. Soc. B Biol. Sci. 272, 1745–1752 (2005).
Krzanowski, W. J. An Introduction to Statistical Modelling (Arnold, 1998).
Edler, A. U. & Friedl, T. W. P. Plumage colouration, age, testosterone and dominance in male red bishops (Euplectes orix): A laboratory experiment. Ethology 116, 806–820 (2010).
Uchida, K., Ng, R., Vydro, S. A., Smith, J. E. & Blumstein, D. T. The benefits of being dominant: Health correlates of male social rank and age in a marmot. Curr. Zool. 68, 19–26 (2022).
Cramer, J. D. et al. Variation in scrotal color among widely distributed vervet monkey populations (C hlorocebus Aethiops Pygerythrus and Chlorocebus Aethiops Sabaeus). Am. J. Primatol. 75, 752–762 (2013).
Higham, J. P. The sexual selection landscape and sexually-selected traits of the crested macaque (Macaca nigra). Int. J. Primatol. 44, 613–625 (2023).
Setchell, J. M., Lee, P. C., Wickings, E. J. & Dixson, A. F. Growth and ontogeny of sexual size dimorphism in the mandrill (Mandrillus sphinx). Am. J. Phys. Anthropol. 115, 349–360 (2001).
Grueter, C. C. et al. Sexually selected lip colour indicates male group-holding status in the mating season in a multi-level primate society. R. Soc. Open Sci. 2, 150490 (2015).
Chou, T. M. et al. Testosterone induces dilation of canine coronary conductance and resistance arteries in vivo. Circulation 94, 2614–2619 (1996).
Van Den Broeke, A. et al. Effect of dietary energy level in finishing phase on performance, carcass and meat quality in immunocastrates and barrows in comparison with gilts and entire male pigs. Animal 16, 100437 (2022).
Needham, T., Lambrechts, H. & Hoffman, L. C. Extending the interval between second vaccination and slaughter: II. Changes in the reproductive capacity of immunocastrated ram lambs. Animal 13, 1962–1971 (2019).
Czaja, J. A., Robinson, J. A., Eisele, S. G., Scheffler, G. & Goy, R. W. Relationship between sexual skin colour of female rhesus monkeys and midcycle plasma levels of oestradiol and progesterone. Reproduction 49, 147–150 (1977).
Dixson, A. F. Observations on the evolution and behavioral significance of “sexual skin” in female primates. in Advances in the Study of Behavior vol. 13 63–106 (Elsevier, 1983).
Moreira, L. A. A., De Oliveira, D. G. R., De Sousa, M. B. C. & Pessoa, D. M. A. Parturition signaling by visual cues in female marmosets (Callithrix jacchus). PLoS ONE 10, e0129319 (2015).
Higham, J. P. et al. Female ornaments: Is red skin color attractive to males and related to condition in rhesus macaques?. Behav. Ecol. 32, 236–247 (2021).
Higham, J. P. et al. Color signal information content and the eye of the beholder: A case study in the rhesus macaque. Behav. Ecol. 21, 739–746 (2010).
Clutton-Brock, T. & McAuliffe, K. Female mate choice in mammals. Q. Rev. Biol. 84, 3–27 (2009).
Kingsley, S. R. Physiological development of male orang-utans and gorillas. in Orang-utan Biology 123–131 (Oxford University Press, 1988).
Setchell, J. M. & Jean Wickings, E. Dominance, status signals and coloration in male mandrills (Mandrillus sphinx). Ethology 111, 25–50 (2005).
Jones, O. R. et al. Diversity of ageing across the tree of life. Nature 505, 169–173 (2014).
Acknowledgements
We are thankful to James Higham for his valuable role in leading the color data collection and analysis for this project. Thank you also to the Caribbean Primate Research Center (CPRC) staff and census takers, especially Nahiri Rivera, Edgar Davila, Giselle Caraballo, Julio Resto, and Elizabeth Maldonado, the field and laboratory assistants Diana Christie, Clement Ludcher, Jesus Madrid, Rachel Petersen, and Amaury Michel, as well as Alexander Samaras and Kevin Rosenfield for help with image processing. We thank Anja Widdig for contributing to the CPRC genetic database and Alexander Georgiev for fruitful discussion about this research. We appreciate the feedback from two anonymous reviewers. This study was funded, in part, by NIH Grant R01-HD067175 to DM. The CPRC is supported by the Office of Research Infrastructure Programs (ORIP) of the National Institutes of Health (NIH) through Grant No. P40 OD012217. The investigation was approved by the IACUC of the University of Puerto Rico, Medical Sciences Campus (Protocol No. A0100108).
Author information
Authors and Affiliations
Contributions
G.S. conducted the data analysis and drafted the manuscript. C.D. collected color data and reviewed the manuscript. S.W. conducted color analyses and reviewed the manuscript. A.R.L. conducted molecular lab work, oversaw the maintenance of the long-term database and extraction of data from it, and reviewed the manuscript draft. M.E.T. conducted the hormone analyses and reviewed the manuscript. D.M. conceived of, funded, and coordinated the study and critically revised the manuscript. K.M.M. designed the study, collected the behavioral observations, participated in data analysis, and critically revised the manuscript.
Corresponding author
Ethics declarations
Competing interests
The authors declare no competing interests.
Additional information
Publisher's note
Springer Nature remains neutral with regard to jurisdictional claims in published maps and institutional affiliations.
Rights and permissions
Open Access This article is licensed under a Creative Commons Attribution 4.0 International License, which permits use, sharing, adaptation, distribution and reproduction in any medium or format, as long as you give appropriate credit to the original author(s) and the source, provide a link to the Creative Commons licence, and indicate if changes were made. The images or other third party material in this article are included in the article's Creative Commons licence, unless indicated otherwise in a credit line to the material. If material is not included in the article's Creative Commons licence and your intended use is not permitted by statutory regulation or exceeds the permitted use, you will need to obtain permission directly from the copyright holder. To view a copy of this licence, visit http://creativecommons.org/licenses/by/4.0/.
About this article
Cite this article
Sobral, G., Dubuc, C., Winters, S. et al. Facial and genital color ornamentation, testosterone, and reproductive output in high-ranking male rhesus macaques. Sci Rep 14, 2621 (2024). https://doi.org/10.1038/s41598-024-52400-0
Received:
Accepted:
Published:
Version of record:
DOI: https://doi.org/10.1038/s41598-024-52400-0
This article is cited by
-
Non-human primates as a translational model for the study of male reproductive health
Nature Reviews Urology (2025)



