Abstract
Improved and contemporary agriculture relies heavily on pesticides, yet some can be quite persistent and have a stable chemical composition, posing a significant threat to the ecology. Removing harmful effects is upon their degradability. Biodegradation must be emphasized to lower pesticide degradation costs, especially in the soil. Here, a decision-making system was used to determine the best microbial strain for the biodegradation of the pyrethroid-contaminated soil. In this system, the criteria chosen as: pH (C1), Temp (C2), RPM (C3), Conc. (C4), Degradation (%) (C5) and Time required for degradation(hrs) (C6); and five alternatives were Bacillus (A1), Acinetobacter (A2), Escherichia (A3), Pseudomonas (A4), and Fusarium (A5). The best alternative was selected by applying the TOPSIS (technique for order performance by similarity to ideal solution) method, which evaluates based on their closeness to the ideal solution and how well they meet specific requirements. Among all the specified criteria, Acinetobacter (A2) was the best and optimal based on the relative closeness value ((\({R}_{i}^{*}\)) = 0.740 (A2) > 0.544 (A5) > 0.480 (A1) > 0.403 (A4) > 0.296 (A3)). However, the ranking of the other alternatives is also obtained in the order Fusarium (A5), Bacillus (A1), Pseudomonas (A4), Escherichia (A3). Hence this study suggests Acinetobacter is the best microbial strain for biodegradation of pyrethroids; while least preference should be given to Escherichia. Acinetobacter, versatile metabolic nature with various xenobiotic compounds' degradation ability, is gram-negative, aerobic, coccobacilli, nonmotile, and nonspore forming bacteria. Due to less study about Acinetobacter it is not in that much frame as the other microorganisms. Hence, considering the Acinetobacter strain for the biodegradation study will give more optimal results than the other microbial strains. Novelty of this study, the TOPSIS method is applied first time in selecting the best microbial strain for the biodegradation of pyrethroid-contaminated soil, considering this selection process as multi-criteria decision-making (MCDM) problem.
Similar content being viewed by others
Introduction
Pyrethroids are synthetically organic compounds, new-generation pesticides that resemble the natural pyrethrins made by the pyrethrum flower1. Several pesticides are included in this group, such as cypermethrin, permethrin, bifenthrin, allethrin, cyfluthrin, fenvalerate, and resmethrin2. Because of their wide range of activity and excellent efficacy, these are widely employed to manage a variety of pests in the crops such as vegetables, rice, corn, soybeans, and fruits3. The pyrethroid compounds usage has recently increased due to the restrictions on highly hazardous organophosphorus and organochlorine pesticides and has taken over as the most common pesticides on the earth. However, because of their widespread usage, pyrethroid residues are frequently found in agricultural goods and non-targeted organisms such as humans, fish, bees, and other mammals throughout the food chain4. Moreover, prolonged exposure to high concentrations of these pesticides may lead to endocrine system disruption, splenic injury, and cancer5. Creating effective technologies to remove pesticide residues from the polluted environment and agricultural products is of utmost importance.
Biodegradation is a perfect solution for removing pesticide residues from the contaminated environment due to having high effectiveness, metabolic diversity, low-cost input, and being environmentally friendly6. Several microbial strains are reported for the degradation ability of pyrethroid pesticides, such as Acinetobacter baumannii, Klebsiella pneumonia, Escherichia coli, Bacillus subtilis, Bacillus licheniformis, Bacillus cereus, Sphingobium wenxiniae, Achromobacter sp., Pseudomonas fluorescence, Pseudomonas aeruginosa, Trichoderma viride, Aspergillus niger2,7,8,9,10,11. Due to their incomplete catabolic enzyme systems, some microorganisms had relatively poor pesticide-degrading potential and could not fully mineralize. Hence the complete removal of pesticides is required within a short period. Bhatt et al.12 reported that Bacillus sp. could degrade 81.6% of cypermethrin within 15 days of incubation. However, some reports stated that the cypermethrin could be degraded quickly without any toxic by-product. According to Gangola et al.10, cypermethrin could be degraded up to 99% in Bacillus subtilis 1D without producing any toxic product. Therefore, it is essential for both environmental and human health that pyrethroid pesticides and their poisonous metabolites are eliminated together. An efficient way to remove pesticide residues is to co-culture bacteria that can degrade pesticides and their toxic metabolites2,13,14.
A fuzzy decision-making (FDM) system might make choosing the best microbial strain possible. Zadeh originally put out fuzzy logic in 196515 to deal with ambiguity in real-life situations. Fuzzy logic has been used in several studies in the past to help researchers choose the best function among comparative criteria in various fields of study. Van der Werf and Zimmer16 developed a fuzzy expert system to assess the environmental effects of pesticides used in agricultural field crops. Gupta et al.17 modified a fuzzy multi-criteria decision-making (MCDM) system for managing water on agricultural lands. The FDM system was applied to deduct environmental harm caused by the pesticides used in agricultural fields. The use of pesticides in agrarian areas poses an ecological risk, which was assessed using an FDM system18. Ferraro et al.19 developed an indicator for monitoring the environmental effects of pesticides and used fuzzy logic to analyze the indicators. Uricchio et al.20 evaluated the risk of groundwater pollution using a fuzzy decision support system in their study. A fuzzy expert system was employed to measure the environmental harm caused by pesticides that were linked with the usage of pesticides on varieties of crops21. Fuzzy cognitive maps were used by Papageorgiou et al.22, and it was reported as the best and more convenient method for high-yield cotton production. Fuzzy analysis was used to determine the most vulnerable area because it was difficult to pinpoint the most vulnerable area due to contamination from uncontrolled landfills22.
Recently, most researchers have focused on developing decision-making models to help people with real-world problems make profound decisions. In decision-making analysis, linguistic variables are employed as input variables. Li and Wan23 created a novel fuzzy linear programming technique for dealing with multiple attribute decision-making (MADM) problems where the attribute weights are unknown. This approach employed genuine numerical values, precise intervals, and triangular fuzzy numbers (TFN) to analyze diverse decision-related information. Later, the ranking was calculated based on how far the alternatives were from the fuzzy ideal solution (FIS). Li and Wan24 introduced a hybrid method consisting of the fuzzy technique for order performance by similarity to the ideal solution (TOPSIS) method using the multidimensional analysis of preference method with inadequate weight information and inhomogeneous MADM situations. Because the fuzzy TOPSIS technique can only be used when the weights of the various attributes are fully known, it is ineffective when applied to multi-attribute group decision-making issues. Therefore, a new technique was developed to solve intuitionistic fuzzy MADM problems. It uses the minimum weighted Minkowski distance power method to determine the unknown weights and rank alternatives25. To solve problems involving multiple attributes and multiple group decision-making (GDM) alternatives, Yu et al.26 proposed intuitionistic uncertain 2-tuple linguistic variables. The literature mentioned above makes it clear that using the fuzzy decision method is helpful whenever uncertainty occurs in real-life situations. As a result, the fuzzy decision method is a useful tool for resolving various real-life problems27. Major objective of this study is the use of MCDM fuzzy TOPSIS method for evaluating the best microbial strain among those reported in the literature for pyrethroid pesticide removal from the contaminated environment.
Methodology
Data collection
A wide-ranging system for the best microbial strain selection for biodegradation in pyrethroid-contaminated soils was constructed based on the TOPSIS. The standard TOPSIS technique includes developing an assessment index system for the objective and influencing elements, building a judgment matrix for mathematical processing, analyzing the relative theoretical weights of components, and assessing consistency28. The examination of real-world issues, the division of numerous effects into multiple levels (specifically, target level, criterion level, and alternative level), and the decision of each index level, combined with expert and academic judgment, make up the hierarchical structure of the design system. The comprehensive assessment system of plant attributes is graded according to a paired assessment matrix that examines the importance of the criteria in each unit. Then, the feature vectors and the largest feature root of the matrix are determined. Consequently, mathematical calculations are used to determine each index's weight, and the paired comparison matrix is used to confirm the accuracy of the results.
Construction of the decision matrices and determination of weights
Let \({X}^{p}=\left[{x}_{ij}^{p}\right]\) be a decision matrix, \({W}^{p}=\left[\begin{array}{ccc}{w}_{1}^{p}& {w}_{2}^{p}& \dots {w}_{n}^{p}\end{array}\right]\) be weight vector for \(p\) decision makers (DMs); where \({x}_{ij}^{p} \epsilon \mathcal{R}\), \({w}_{1}^{p} \epsilon \mathcal{R}\) with the condition \({w}_{1}^{p}+{w}_{2}^{p}+\dots +{w}_{n}^{p}=1\) for all \(p = 1, 2, \dots ,P\).
Formation of the normalized decision matrix for each decision Group
The different attribute dimensions are transformed into non-dimensional characteristics to compare the criteria since different units are used to measure different features, the scores in the evaluation matrix \({X}^{p}\) should be normalized to one24. The standard formula should perform this normalization. Some frequently used methods to calculate the normalized values \({n}_{ij}\) are as follows:
for \(i = 1, \dots , m; j = 1, \dots , n\).
In this study, we have mainly used the triangular fuzzy membership function for the normalization process.
Determination of the positive ideal (PI) and negative ideal (NI) solutions for each DM
This stage involves identifying the PI alternative (extreme performance on each criterion) and NI alternative (opposite powerful performance on each criterion). In contrast to the NI solution, which optimizes cost criteria while minimizing benefit criteria, the PI solution maximizes cost criteria while minimizing benefit criteria24,25. The PI solution \({I}^{p+}\) for \(p\) DMsis defined as
where \(B\) corresponds with the benefit criteria while \(C\) corresponds to the cost criteria.
Calculating the group's separation measures based on the PI and NI solutions
The aggregation operator can be used to combine the group measures of the PI solution \({d}_{i}^{*+}\) and NI solution \({d}_{i}^{*-}\) for the i-th alternative \({A}_{i}\). Some common aggregation operators are26:
Arithmetic mean
Geometric mean
Calculation of the relative closeness to the PI solution
For any alternative \({A}_{i}\) the relative closeness of the PI solution is defined as26,27
where \({0\le R}_{i}^{*}\le 1.\) When the index value is greater, the evaluation of the alternative is better.
Rank the preference order
Finally, the values of \({R}_{i}^{*}\) are used to rank the alternatives by arranging the values of \({R}_{i}^{*}\) in the descending order.
Ethical statement
No human or animal subjects were directly involved in this study.
Results
The TOPSIS approach is used to identify the optimum alternative for biodegrading pesticides from the soil.
Data collection
The data were collected from authenticated sources through various published research papers. All the research papers have data regarding microbial culture involved in pesticide degradation under different experimental conditions performed during wet-lab experiments. The considered microbial strains in this study have performed differently on the pyrethroids biodegradation from the soil. The data were arranged into three groups for uniformity in the decisions, as in Table S1.
The information obtained from these papers includes the pH of the culture medium, incubation temperature (°C), shaking speed (rpm), the concentration of pesticide (ppm), degradation of pesticide (%) and time required for degradation (h). Although several microorganisms are involved in pesticide degradation, we have selected five popular and best families of bacteria and fungi, such as Bacillus, Acinetobacter, Escherichia, Pseudomonas, and Fusarium for the pyrethroid biodegradation study (Table S1).
Here the problem is considered as an MCDM problem with six criteria: pH (C1), Temp(C2), RPM(C3), Conc. (C4), Degradation (%) (C5) and Time required for degradation(hrs) (C6); and five alternatives Bacillus (A1), Acinetobacter (A2), Escherichia (A3), Pseudomonas (A4), and Fusarium (A5).
Construction of the decision matrices and weight determination of criteria for DMs
The decision matrices were formed corresponding to three decision groups (Tables 1, 2, 3).
The weights of each DM are equal; therefore, each decision group has an equal weight (1/3). In these matrices \({X}^{1}\), \({X}^{2}\), and \({X}^{3}\), each criteria is arranged with the each alternative. Clearly these values in the matrix represent a correspondence between each criteria and alternative.
Formation of the normalized decision matrix for each decision Group
Different functions have been used to normalize the values corresponding to different criteria. C1, C2, C3, and C6 were normalized using the triangular fuzzy membership function, C4 was normalized using the percentage function, and the ratio function normalized C5 (Table S2).
Using these normalization functions, the normalized matrix for each group is formed as \({X}_{N}^{1}\), \({X}_{N}^{2}\), and \({X}_{N}^{3}\), respectively (Tables S3–S5). Now all the entries have the same domain [0, 1] i. e. all the values lie in the interval [0, 1].
Determination of the PI and NI solutions for each DM
The aggregated matrix corresponding to the alternatives and DMs is obtained as in Table 4. This matrix represents the values which are considered as the combined opinion of the three groups of DMs.
The PI and NI alternative solutions for alternatives are identified as in Table S6 which involves identifying the PI alternative (extreme performance on each criterion) and NI alternative (opposite powerful performance on each criterion). Here, the NI solution, optimizes criterion C5 while minimizes the criteria C1, C2, C3 and C4. On the other hand, the PI solution maximizes the criteria C1, C2, C3 and C4 while minimizes criterion C5.
Separation measurements from the PI and NI solution
The group measurements of the PI \({d}_{i}^{*+}\) and \({d}_{i}^{*-}\) solutions for the i-th alternate \({A}_{i}\) i are aggregated as shown in Table S7. The aggregated values show the distance from the PI and NI solutions for each of the alternative.
Relative closeness to the PI solution
In Table S8, it is determined how closely the alternative \({A}_{i}\) resembles the PI solution. A greater index value indicates a more favourable assessment of the alternative. From the Table S8 it is clear that that alternative A2 has the highest relative closeness value with the PI solution, which certifies that the A2 should be the most preferable alternative.
Rank the preference order
According to Table 5, which is based on the relative closeness of the alternatives with the PI solution, the ranking of the alternatives. Hence most and least favorable alternatives, as determined by the suggested TOPSIS approach, are A2 and A3, respectively, according to Table 5. The ranking of the alternatives is obtained as A2 > A5 > A1 > A4 > A3.
Sensitivity analysis
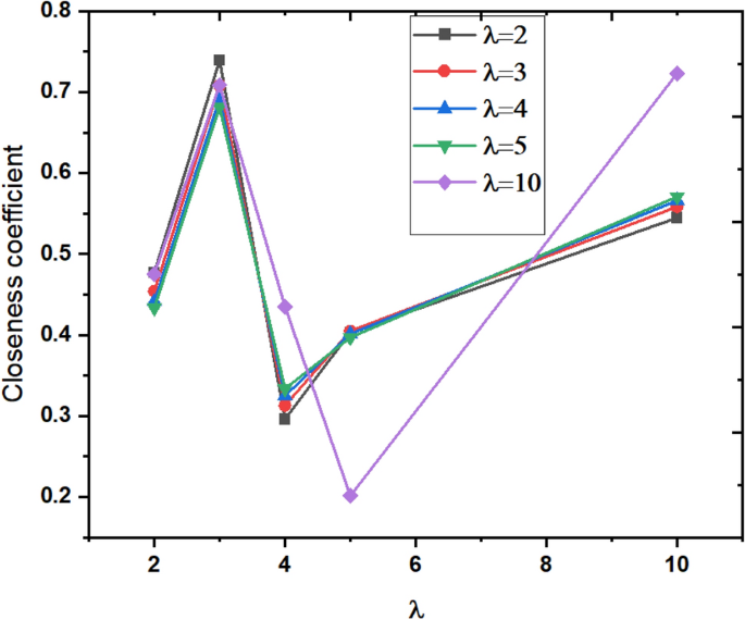
Sensitivity analysis examines the ranking outcomes with parametric values to clarify the benefit and effectiveness of the suggested strategy. Additionally, it is possible to see how the various parameter values \(\lambda\) influence the ranking and contribute to the solution. In this instance, we considered multiple values of \(\lambda ,\) and the closeness degrees are displayed in Fig. 1 (Table S9). The degree of closeness for options decreases as \(\lambda\) increases, as seen in Fig. 1. A2 is the best choice for all parametric values, except for large parameter values, as shown in Fig. 1, regardless of the various values employed. This shows that the rankings are unchanged corresponding to the small changes in the parametric values. The most and the least favorable alternatives are A2 and A3, respectively for all the small parametric values. Which shows the outperformance of the developed method.
The closeness coefficient with parameter \(\lambda\).
Discussion
This study employs a decision-making system to examine intricate data related to pesticide degradation, aiding in the interpretation of decisions regarding the optimal performance of microbial strains. Several study has been conducted by using Fuzzy decision making system such as optimal application of fertilizers, land use planning in agricultural system and sensitivity analysis of soil hazardous to the microorganisms29,30,31,32. Several pesticides are available in the market, but the pyrethroid group is most commonly applied in agricultural fields and used for domestic purposes. Currently, massive data is available for pesticide biodegradation in a different repository. Most prominent microbial strains reported for pyrethroid degradation were selected for the degradation study. All six criterion values were normalized for all five alternatives. Then the separation measure for the alternative was calculated. It was shown maximum relative closeness (\({R}_{i}^{*}\)) for A2 (Table S8). Then the ranking of the alternatives was obtained based on their relative closeness to the ideal solution (Table 5) and was in the following order Acinetobacter (A2), > Fusarium (A5), > Bacillus (A1), Pseudomonas (A4), > Escherichia (A3). According to the obtained ranking value, the best and the most prominent microbial strain was Acinetobacter (A2), and the least potential among the selected microbial strains was Escherichia (A3). Acinetobacter is gram-negative, aerobic, coccobacilli, nonmotile and nonspore forming bacteria. Acinetobacter is reported to be a versatile metabolic nature and it can degrade different xenobiotic compounds such as permethrin endosulfan, decachlorobiphenyl, 1,4-dioxane and BTEX mixtures, polyhydroxy alkanoates, congo red and acetate33,34,35,36,37,38,39,40. Due to its high rate of metabolism, it can utilize xenobiotic compounds as a source of carbon and energy. According to Zhan et al.38 Acinetobacter baumannii ZH-14 was isolated from sewage sludge and can degrade permethrin (50 mg·L−1) 100% within 72 h in optimal conditions. Many bacterial genera such as Bacillus and Pseudomonas, are also isolated and characterized for their metabolism of pesticides and other persistent chemicals41,42. However, the potential of Acinetobacter has not been given much attention in bioremediation and biodegradation as it deserves. Zhan et al.38 have first proven the efficient contribution of Acinetobacter for synthetic pyrethroid and permethrin degradation.
The isolated bacterial strain Bacillus sp. and DG-02 were also reported for their high rate of degradation efficiency and it can also degrade permethrin (50 mg·L−1) within 72 h43. However, it was noticed that the isolated bacterium could not degrade and transform the synthetic pyrethroids in the absence of carbon sources44. In contrast, the isolated bacterial strain A. baumannii ZH-14 could degrade permethrin and synthetic pyrethroids with greater metabolic efficiency and exhibit as a prominent candidate for the remediation of pyrethroid contaminated environment38. The efficiency of bacterial strain could be increased by optimizing the growth conditions and other parameters such as pesticide concentration, inoculum size, etc., using the RSM modeling system45. Additionally A. baumannii ZH-14 could remove permethrin over a wide range of pH and temperature with excellent optimal performance at pH 7 and 30 °C38.
Several bacterial genera (Bacillus, Pseudomonas, Escherichia) were reported for their higher removal efficiency at lower pyrethroid concentrations. In pyrethroid pesticides, the cyano group is more toxic and persistent to microbial mediated degradation42. In addition, these microorganisms synthesized intermediate metabolites that are more refractory to degradation46,47. The pyrethroid biodegradation’s critical intermediate metabolite is 3-Phenoxybenzenemethanol which is not easily degraded by all the microorganisms and hence contaminates the surrounding environment. But A. baumannii ZH-14 can tolerate and degrade high concentrations of 3-Phenoxybenzenemethanol (500 mg·L−1) in the absence of a primary carbon source which is an important quality of this bacterial strain because 3-Phenoxybenzenemethanol is not only highly refractory to degrade but also having antimicrobial characteristic inhibiting the microbial growth38. Maloney et al.44 reported that Pseudomonas fluorescens SM-1 can transform the 3-Phenoxybenzenemethanol (20 mg·L−1) in the presence of primary carbon source (Tween 80: 0.05% V/V) but in the absence of primary carbon source the bacterium was unable to transform 3-Phenoxybenzenemethanol. The metabolite analysis of A. baumannii ZH-14 revealed that complete detoxification of permethrin was only possible due to the breakdown of not only the ester bond but also the cleavage of the diaryl bond, which is not a common feature in all degrader44,48,49,50.
Conclusion
The process of selecting microbial strains for the biodegradation of pyrethroid pesticides poses a multi-criteria decision-making (MCDM) challenge. This allows scientists, researchers, and engineers to tailor bacterial genera appropriately, facilitating the removal of pesticides from soil and fields. Numerous microbial strains have been identified for the biodegradation of pesticides, followed by comprehensive assessments. The efficacy of these microbial strains in facilitating the biodegradation of pyrethroid-contaminated soils was further evaluated based on existing literature.
This evaluation provides essential insights into the MCDM method's biodegradation process, potentially guiding researchers towards suitable microbial strains and environmental objectives. MCDM techniques were introduced to support decision-making in microbial strain selection for soil biodegradation. Five specific microbial strains (Bacillus (A1), Acinetobacter (A2), Escherichia (A3), Pseudomonas (A4), and Fusarium (A5)) were chosen for their contributions to soil and plant biodegradation. The TOPSIS method emerged as an efficient and effective approach, aiding researchers in resolving the microbial strain selection issue in pyrethroid-contaminated soil biodegradation. Fuzzy TOPSIS, known for handling complex issues with multiple objectives, served as a valuable tool for objective weight assessment. It facilitated the analysis of the judgment matrix by evaluating the respective degrees of relevance of selection criteria and their weights. Moreover, fuzzy TOPSIS determined the distance between each candidate by considering positive and negative ideal solutions, leading to the identification of the optimal solution. This proposed method provides a comprehensive approach to selecting the best strain among alternatives. Sensitivity analysis ensured the realism of the evaluation process. Consequently, the application of TOPSIS proves to be more precise, efficient, and time-saving compared to traditional techniques. The entire study aims to offer technical and scientific support to decision-makers involved in biodegradation. The comprehensive database of the biodegradation sector can be utilized to establish a more robust evaluation system.
Data availability
The data that support the findings of this study are available from the corresponding author upon reasonable request.
Change history
21 January 2026
This article has been retracted. Please see the Retraction Notice for more detail: https://doi.org/10.1038/s41598-026-36753-2
References
Galadima, M. et al. Toxicity, microbial degradation and analytical detection of pyrethroids: A review. Env Adv. 5, 100105 (2021).
Zhan, H., Huang, Y., Lin, Z., Bhatt, P. & Chen, S. New insights into the microbial degradation and catalytic mechanism of synthetic pyrethroids. Environ. Res. 182, 109138 (2020).
Singh, A. et al. Insecticidal activity, toxicity, resistance and metabolism of pyrethroids: A review. Sci. Technol. Indonesia. 7(2), 238–250 (2022).
McCoy, M. R. et al. Monitoring of total type II pyrethroid pesticides in citrus oils and water by converting to a common product 3-phenoxybenzoic acid. J. Agric. Food Chem. 60(20), 5065–5070 (2012).
del Pilar, N.-M. & Pérez-Vera, P. Pyrethroid pesticide exposure and hematological cancer: Epidemiological, biological and molecular evidence. Rev. Environ. Health. 34(2), 197–210 (2019).
Ruan, Z. et al. Molecular cloning and characterization of a newly isolated pyrethroid-degrading esterase gene from a genomic library of Ochrobactrum anthropi YZ-1. PLoS One. 8(10), e77329 (2013).
Wang, B. Z. et al. Cloning of a novel pyrethroid-hydrolyzing carboxylesterase gene from Sphingobium sp. strain JZ-1 and characterization of the gene product. Appl. Environ. Microbiol. 75(17), 5496–5500 (2009).
Chen, S. et al. Enhancement of cypermethrin degradation by a coculture of Bacillus cereus ZH-3 and Streptomyces aureus HP-S-01. Bioresour. Technol. 110, 97–104 (2012).
Zhao, J., Chi, Y., Xu, Y., Jia, D. & Yao, K. Co-metabolic degradation of β-cypermethrin and 3-phenoxybenzoic acid by co-culture of Bacillus licheniformis B-1 and Aspergillus oryzae M-4. PLoS One. 11(11), e0166796 (2016).
Gangola, S., Sharma, A., Bhatt, P., Khati, P. & Chaudhary, P. Presence of esterase and laccase in Bacillus subtilis facilitates biodegradation and detoxification of cypermethrin. Sci. Rep. 8(1), 12755 (2018).
Gangola, S. et al. Novel mechanism and degradation kinetics of pesticides mixture using Bacillus sp strain 3C in contaminated sites. Pestic Biochem. Phys. 181, 104996 (2022).
Bhatt, P. et al. Novel pathway of cypermethrin biodegradation in a Bacillus sp strain SG2 isolated from cypermethrin-contaminated agriculture field. 3 Biotech. 6, 1–11 (2016).
Huang, Y. et al. Microbial degradation of pesticide residues and an emphasis on the degradation of cypermethrin and 3-phenoxy benzoic acid: A review. Molecules. 23(9), 2313 (2018).
He, J. et al. Highly efficient degradation of cypermethrin by a co-culture of Rhodococcus sp. JQ-L and Comamonas sp. A-3. Front. Microbiol. 13, 1003820 (2022).
Zadeh, L. A. Fuzzy sets. Inf. Control 8(3), 338–353 (1965).
Van Der Werf, H. M. & Zimmer, C. An indicator of pesticide environmental impact based on a fuzzy expert system. Chemosphere. 36(10), 2225–2249 (1998).
Gupta, A. P., Harboe, R. & Tabucanon, M. T. Fuzzy multiple-criteria decision making for crop area planning in Narmada river basin. Agric. Syst. 63(1), 1–18 (2000).
Finizio, A. & Villa, S. Environmental risk assessment for pesticides. Environ. Impact Assess. Rev. 22(3), 235–248 (2002).
Ferraro, D. O., Ghersa, C. M. & Sznaider, G. A. Evaluation of environmental impact indicators using fuzzy logic to assess the mixed cropping systems of the Inland Pampa, Argentina. Agric. Ecosyst. Environ. 96(1–3), 1–18 (2003).
Uricchio, V. F., Giordano, R. & Lopez, N. A fuzzy knowledge-based decision support system for groundwater pollution risk evaluation. J. Environ. Manage. 73(3), 189–197 (2004).
Arregui, M. C., Sánchez, D., Althaus, R., Scotta, R. R. & Bertolaccini, I. Assessing the risk of pesticide environmental impact in several Argentinian cropping systems with a fuzzy expert indicator. Pest Manag. Sci. 66(7), 736–740 (2010).
Papageorgiou, E. I., Markinos, A. T. & Gemtos, T. A. Fuzzy cognitive map based approach for predicting yield in cotton crop production as a basis for decision support system in precision agriculture application. Appl. Soft Comput. 11(4), 3643–3657 (2011).
Li, D. F. & Wan, S. P. Fuzzy linear programming approach to multiattribute decision making with multiple types of attribute values and incomplete weight information. Appl. Soft Comput. 13(11), 4333–4348 (2013).
Li, D. F. & Wan, S. P. A fuzzy inhomogenous multiattribute group decision making approach to solve outsourcing provider selection problems. Knowl. Based Syst. 67, 71–89 (2014).
Li, D. F. & Wan, S. P. Minimum weighted minkowski distance power models for intuitionistic fuzzy madm with incomplete weight information. Int. J. Info. Technol. Decis. Mak. 16(5), 1387–1408 (2017).
Yu, G. F., Li, D. F., Qiu, J. M. & Zheng, X. X. Some operators of intuitionistic uncertain 2-tuple linguistic variables and application to multi-attribute group decision making with heterogeneous relationship among attributes. J. Intell. Fuzzy Syst. 34(1), 599–611 (2018).
Karthik, S., Dash, S. K. & Punithavelan, N. A fuzzy decision-making system for the impact of pesticides applied in agricultural fields on human health. Int. J. Fuzzy Syst. Appl. 9(3), 42–62 (2020).
Saaty, T. L. The Analytic Hierarchy Process (McGraw Hill, 1980).
Arregui, M. C., Sánchez, D., Althaus, R., Scotta, R. R. & Bertolaccini, I. Assessing the risk of pesticide environmental impact in several Argentinian cropping systems with a fuzzy expert indicator. Pest Manag. Sci. 66(7), 736–740. https://doi.org/10.1002/ps.19352023228 (2010).
Ashraf, A., Akram, M. & Sarwar, M. Fuzzy decision support system for fertilizer. Neural Comput. Appl. 25(6), 1495–1505. https://doi.org/10.1007/s00521-014-1639-424892071 (2014).
Biswas, A. & Pal, B. Application of fuzzy goal programming technique to land use planning in agricultural system. Omega 33(5), 391–398. https://doi.org/10.1016/j.omega.2004.07.003 (2005).
Caniani, D., Lioi, D. S., Mancini, I. M. & Masi, S. Application of fuzzy logic and sensitivity analysis for soil contamination hazard classification. Waste Manag. (New York, NY). 31(3), 583–594. https://doi.org/10.1016/j.wasman.2010.09.01220952177 (2011).
Boyandin, A. N. et al. Biodegradation of polyhydroxyalkanoates by soil microbial communities of different structures and detection of PHA degrading microorganisms. Appl. Biochem. Microbiol. 48, 28–36 (2012).
Li, R. et al. Decolorization and biodegradation of the Congo red by Acinetobacter baumannii YNWH 226 and its polymer production’s flocculation and dewatering potential. Bioresour. Technol. 194, 233–239 (2015).
Zhou, Y., Huang, H. & Shen, D. Multi-substrate biodegradation interaction of 1, 4-dioxane and BTEX mixtures by Acinetobacter baumannii DD1. Biodegradation 27, 37–46 (2016).
Nkem, B. M. et al. x Isolation, identification and diesel-oil biodegradation capacities of indigenous hydrocarbon-degrading strains of Cellulosimicrobium cellulans and Acinetobacter baumannii from tarball at Terengganu beach, Malaysia. Mar. Pollut. Bull. 107(1), 261–268 (2012).
Sigala, J. C. et al. Genomic and physiological characterization of a laboratory-isolated Acinetobacter schindleri ACE strain that quickly and efficiently catabolizes acetate. Microbiol. 163(7), 1052–1064 (2017).
Zhan, H. et al. Kinetics and novel degradation pathway of permethrin in Acinetobacter baumannii ZH-14. Front. Microbiol. 9, 98 (2018).
Zenteno-Rojas, A. et al. Removal of high concentrations decachlorobiphenyl of earthworm Eisenia fetida and its symbiotic bacteria in a vermicomposting system. Water Air Soil Pollut. 230, 1–12 (2019).
Gur Ozdal, O. & Algur, O. F. Biodegradation α-endosulfan and α-cypermethrin by Acinetobacter schindleri B7 isolated from the microflora of grasshopper (Poecilimontauricola). Arch Microbiol. 204(3), 159 (2022).
Arora, P. K. Bacterial degradation of monocyclic aromatic amines. Front. Microbiol. 6, 820. https://doi.org/10.3389/fmicb.2015.00820 (2015).
Cycon, M. & Piotrowska-Seget, Z. Pyrethroid-degrading microorganisms and their potential for the bioremediation of contaminated soils: A review. Front. Microbiol. 7, 1463 (2016).
Chen, S. et al. Fenpropathrin biodegradation pathway in Bacillus sp. DG-02 and its potential for bioremediation of pyrethroid-contaminated soils. J. Agric. Food Chem. 62(10), 2147–2157 (2014).
Maloney, S. E., Maule, A. & Smith, A. R. Microbial transformation of the pyrethroid insecticides: Permethrin, deltamethrin, fastac, fenvalerate, and fluvalinate. Appl Environ Microbiol. 54, 2874–2876 (1988).
Gangola, S., Joshi, S., Kumar, S., Sharma, B. & Sharma, A. Differential proteomic analysis under pesticides stress and normal conditions in Bacillus cereus 2D. Plos One. 16(8), e0253106 (2021).
Chen, S. et al. Characterization of a novel cyfluthrin-degrading bacterial strain Brevibacterium aureum and its biochemical degradation pathway. Bioresour. Technol. 132, 16–23 (2013).
Chen, S. et al. Pathway and kinetics of cyhalothrin biodegradation by Bacillus thuringiensis strain ZS-19. Sci. Rep. 5(1), 1–10 (2015).
Tallur, P. N., Megadi, V. B. & Ninnekar, H. Z. Biodegradation of cypermethrin by Micrococcus sp. strain CPN 1. Biodegradation. 19(1), 77–82 (2008).
Zhang, C., Wang, S. & Yan, Y. Isomerization and biodegradation of beta-cypermethrin by Pseudomonas aeruginosa CH7 with biosurfactant production. Bioresour. Technol. 102(14), 7139–7146 (2011).
Zhai, Y., Li, K., Song, J., Shi, Y. & Yan, Y. Molecular cloning, purification and biochemical characterization of a novel pyrethroid-hydrolyzing carboxylesterase gene from Ochrobactrum anthropi YZ-1. J. Hazard Mater. 221, 206–212 (2012).
Funding
This work was funded by the Researchers Supporting Project Number (RSP2024R339) at King Saud University, Riyadh 11451, Saudi Arabia.
Author information
Authors and Affiliations
Contributions
Conceptualization, experimental design and investigation, S.G. and S.C.; Data curation, analysis and final revision, A.B., S.J., G.B., S.M., A.A.K.
Corresponding author
Ethics declarations
Competing interests
The authors declare no competing interests.
Additional information
Publisher's note
Springer Nature remains neutral with regard to jurisdictional claims in published maps and institutional affiliations.
This article has been retracted. Please see the retraction notice for more detail: https://doi.org/10.1038/s41598-026-36753-2"
Supplementary Information
Rights and permissions
Open Access This article is licensed under a Creative Commons Attribution 4.0 International License, which permits use, sharing, adaptation, distribution and reproduction in any medium or format, as long as you give appropriate credit to the original author(s) and the source, provide a link to the Creative Commons licence, and indicate if changes were made. The images or other third party material in this article are included in the article's Creative Commons licence, unless indicated otherwise in a credit line to the material. If material is not included in the article's Creative Commons licence and your intended use is not permitted by statutory regulation or exceeds the permitted use, you will need to obtain permission directly from the copyright holder. To view a copy of this licence, visit http://creativecommons.org/licenses/by/4.0/.
About this article
Cite this article
Gangola, S., Chaube, S., Bayram, A. et al. RETRACTED ARTICLE: Optimizing microbial strain selection for pyrethroid biodegradation in contaminated environments through a TOPSIS-based decision-making system. Sci Rep 14, 14928 (2024). https://doi.org/10.1038/s41598-024-59223-z
Received:
Accepted:
Published:
Version of record:
DOI: https://doi.org/10.1038/s41598-024-59223-z
Keywords
This article is cited by
-
Road safety measurement with reliability using an advanced hybrid decision model
Scientific Reports (2025)
-
Hesitant bi-fuzzy multi-attribute information fusion with expert reliability
Scientific Reports (2025)
-
Evaluating music education interventions for mental health in Chinese university student: a dual fuzzy analytic method
Scientific Reports (2024)



