Figure 6
From: Learning cooking algorithm for solving global optimization problems

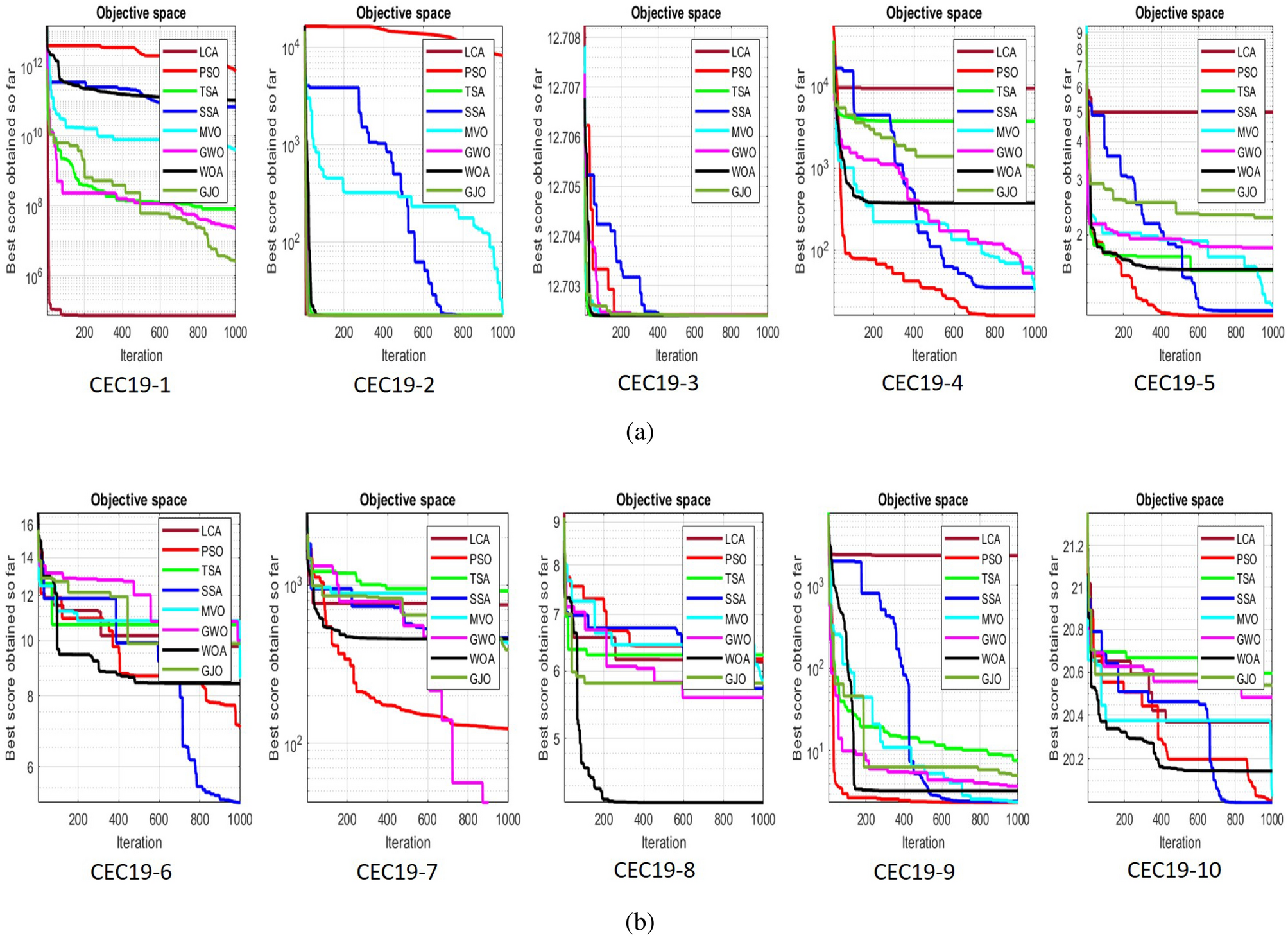
Convergence graph of LCA with well-known algorithms on the CEC 2019 benchmark functions.
From: Learning cooking algorithm for solving global optimization problems

Convergence graph of LCA with well-known algorithms on the CEC 2019 benchmark functions.