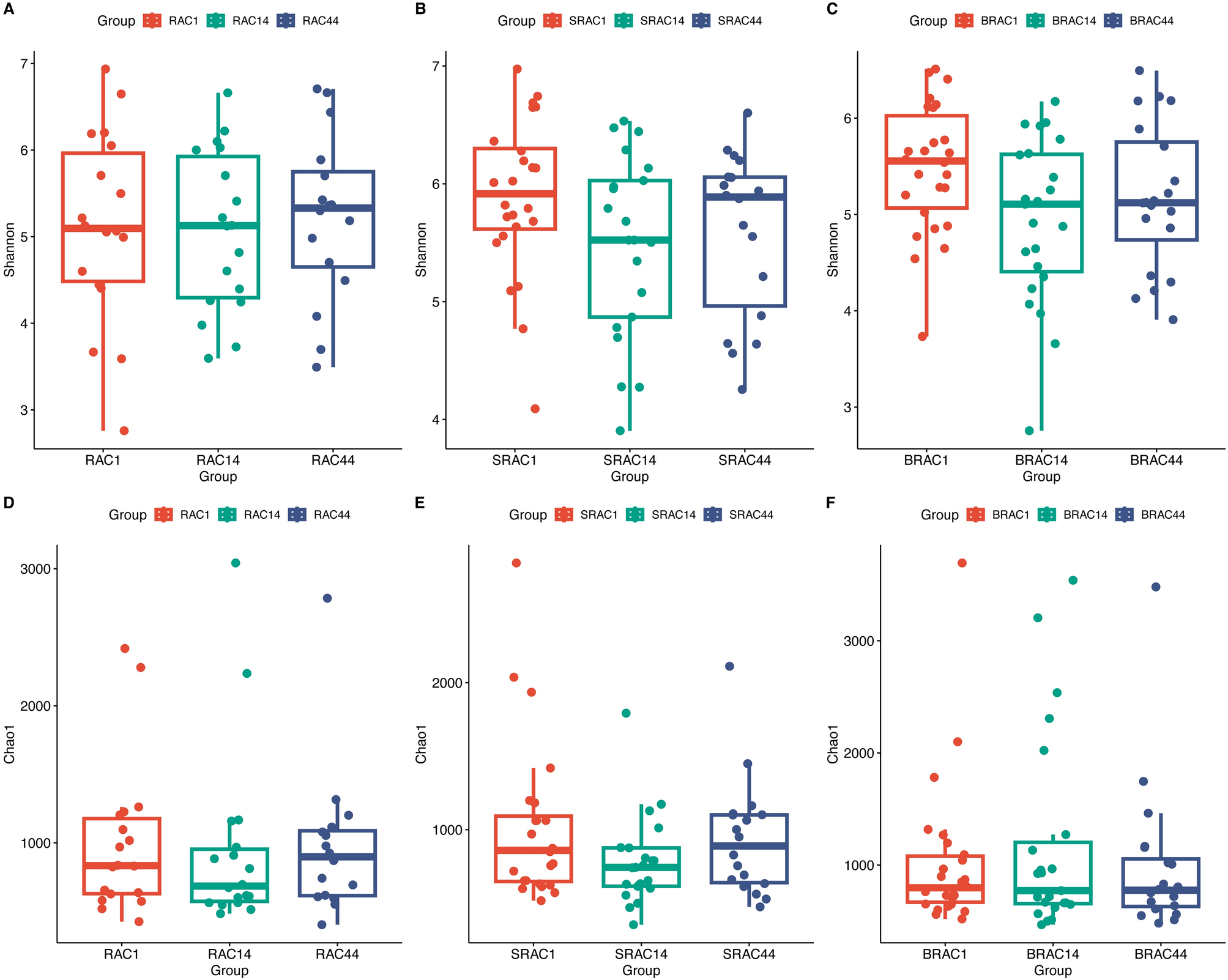
Figure 3

Saccharomyces boulardii modulated the structure and diversity of gut microbiota. (A–C) Shannon index in different group. (D–F) Chao1 index in different group. Significant differences only between BRAC group, day0 versus day14 (p = 0.022, p < 0.05).