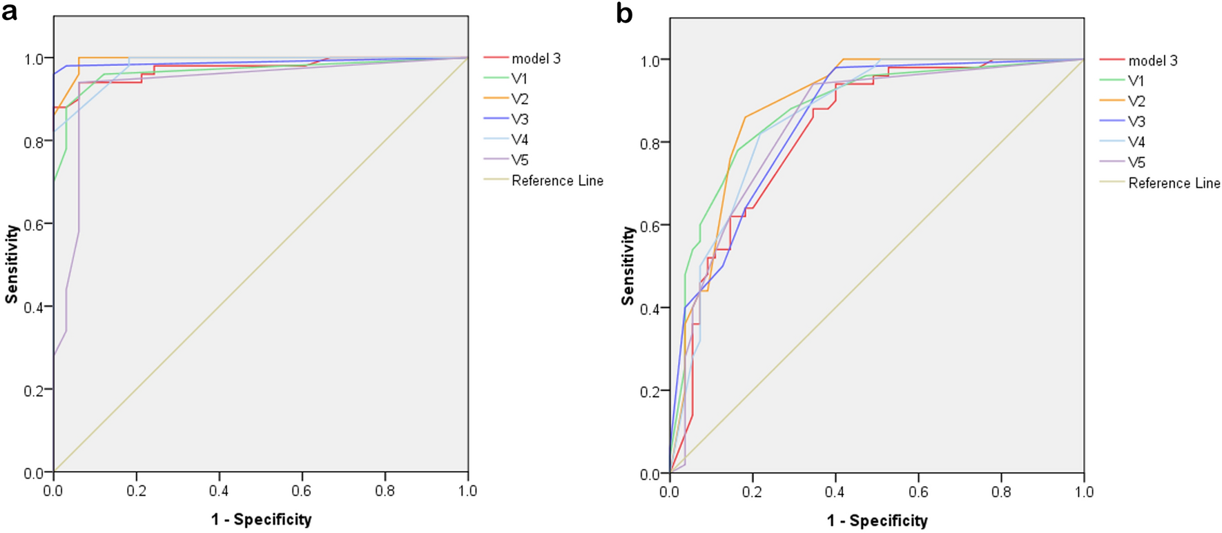
Figure 3
From: A deep learning-based algorithm for pulmonary tuberculosis detection in chest radiography

Receiver operating characteristic curves of model 3 and 5 pulmonologists evaluating validation dataset 2. (a) TB vs normal, (b) TB vs. normal and abnormal other than TB. TB tuberculosis. V1–V5 represents the 5 pulmonologists.