Figure 4
From: A deep learning-based algorithm for pulmonary tuberculosis detection in chest radiography

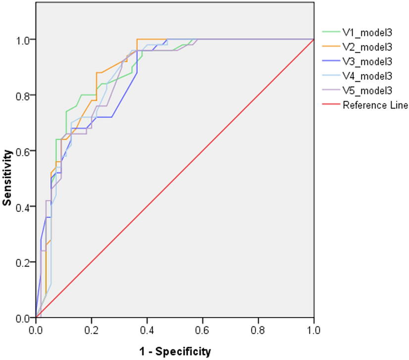
Receiver operating characteristic curves of the 5 pulmonologists that combined with model 3, evaluating validation dataset 2 (TB vs. normal and abnormal other than TB). TB tuberculosis. V1–V5 represents the 5 pulmonologists.