Abstract
Melastoma (Melastomataceae) includes ca. 100 species across tropical to subtropical regions of Asia and Oceania. The Bonin Islands harbor three endemic taxa: M. tetramerum, M. tetramerum var. pentapetalum, and M. candidum var. alessandrense. Of these, M. tetramerum is critically endangered and faces near extinction in the wild. This study investigates the phylogenetic relationships among these endemic Melastoma species in the Bonin Islands based on the whole chloroplast genome and nuclear SNPs. The results revealed that M. candidum var. alessandrense was placed in the clade of the widespread East Asian M. candidum and has a distinct evolutionary origin from the other two taxa. The population genomics analyses (heterozygosity, rates of deleterious mutations, and numbers and lengths of runs of homozygosity) indicated lower genetic diversity and more vulnerable genomes of endemic Melastoma, especially M. tetramerum var. pentapetalum. M. tetramerum var. pentapetalum is not a target of any protection programs, however, conservation plans might be required for this variety because M. tetramerum var. pentapetalum would have a more vulnerable genome than M. tetramerum, which faces near extinction in the wild. This information can facilitate the development of effective conservation strategies in a precautionary way that anticipates imminent threats to the survival of the species.
Similar content being viewed by others
Introduction
Situated approximately 1000 km south of Tokyo in the Pacific Ocean, the Bonin Islands represent a typical oceanic archipelago. Notably, these islands have never been connected to the mainland since its formation. This isolation has fostered distinct evolutionary pathways, separate from those observed on the continent and mainland Japan. Consequently, the Bonin Islands boast a unique and remarkable ecosystem. The islands serve as a repository for invaluable evidence of evolutionary processes. This includes adaptive radiation, for example, in land snails and vascular plants. Despite their modest size, the Bonin Islands exhibit an exceptionally high level of endemism, and this remarkable biodiversity ultimately led to their designation as a UNESCO World Natural Heritage Site in 2011. However, a significant number of taxa endemic to the Bonin Islands are facing the threat of extinction. Therefore, the prompt implementation of effective conservation measures is of paramount importance.
Melastoma L. is a genus of Melastomataceae and consists of approximately 100 species in tropical to subtropical Asia and Oceania1. Many Melastoma species are widely cultivated in tropical to subtropical regions for medicinal or horticultural purposes2. The Bonin Islands harbor three endemic Melastoma taxa, all of which are listed in the Red List of the Ministry of the Environment: M. candidum D. Don var. alessandrense S.Kobay. classified as vulnerable (VU), M. tetramerum Hayata as critically endangered (CR), and M. tetramerum var. pentapetalum Toyoda as endangered (EN). The number of individuals of the three rare taxa that remained in wild habitats is less than 100 for M. tetramerum and M. tetramerum var. Pentapetalum (personal observation by Yoshiteru Komaki) and about 1000 for M. Candidum var. Alessandrese (personal observation by Dairo Kawaguchi). Among these endemic taxa, M. tetramerum is nearly extinct in wild habitats and is listed as a target species for the protection and reproduction programs of the Ministry of the Environment, Japan. 64 individuals of M. tetramerum have been artificially propagated and reintroduced to wild habitats. The Bonin Islands, isolated from nearest landmasses, harbor plant species endemic to the archipelago, making them important for investigating plant evolution, particularly adaptive radiations and long-distance dispersals. The plant species endemic to the Bonin Islands have diverse geographical origins, with some tracing back to the Okinawa Islands or southeast Asia3 and others to the Pacific islands4,5. The origin of the Melastoma taxa endemic to the Bonin Islands, however, remains unclear due to limitations in the resolution of previous phylogenetic trees6.
Generally, endangered species have more vulnerable genomes than common species in terms of genetic diversity (e.g. heterozygosity), rates of duplicated genes, and rates of deleterious mutations due to inbreeding in small populations7. Low diversity and deleterious mutations could lead to low fertility of seeds or high vulnerability to changing environments or introduction of diseases. On the contrary, several endangered species with small population sizes have lower rates of deleterious mutations8, suggesting that extinction risk can be different among endangered species. This highlights the importance of evaluating genomic vulnerability within endangered species, especially for effective conservation planning. Among the endemic Melastoma taxa of the Bonin Islands, the genome of M. tetramerum is shown to have lower genetic diversity and a higher rate of deleterious mutations7. However, the genomic vulnerability of M. candidum var. alessandrense and M. tetramerum var. pentapetalum remains unknown. To develop effective conservation plans, the evaluation of genomic vulnerability is quite important because loss of genetic diversity sometimes causes the breakdown of populations even if conservation programs are conducted by ex situ propagation9.
This study employed molecular phylogenetic analyses using whole nuclear genome SNPs and chloroplast sequences to investigate the origins of Melastoma endemic to the geographically isolated Bonin Islands. Population genomics analyses (estimation of heterozygosity, numbers of multi-allelic sites, rates of deleterious mutations, and length of runs of homozygosity) and demographic inference were also performed to assess their genomic vulnerability to inform effective conservation plans.
Results
Number of reads and mapping rates
After adapter removal and quality filtering, short read sequencing yielded a total of 469,211,051 reads from 23 individuals. The range of the number of reads per sample was 5,109,066–65,263,874 reads, with an average of 20,400,480 reads. The range of mapping rates to the reference nuclear genome sequence was 22.55% to 90.04%, with an average of 68.56%.
Phylogenetic analysis based on the whole genome of chloroplast
After alignment, removing one copy of the inverted repeat region, and trimming, a sequence length of chloroplast genome of 139,334 bp was used for phylogenetic analysis. The maximum likelihood tree based on chloroplast sequences revealed two major clades with 100% bootstrap values (BS) (Fig. 1). One clade included Melastoma candidum, M. candidum var. alessandrense, and M. malabathricum var. normale. Melastoma candidum var. alessandrense was nested within the individuals of M. candidum sampled from the Okinawa Islands. The other included M. dodecandrum, M. tetramerum, and M. tetramerum var. pentapetalum. All the endangered taxa native to the Bonin Islands were monophyletic with 100% BS, respectively.
The maximum likelihood tree based on the whole chloroplast sequences (139,334 bp after alignment) with the GTR + G + I model. The log likelihood value was − 201192.1681. The numbers on branches were bootstrap values from 100 replications. The bootstrap values of the branches without any number were 100, and asterisks represented bootstrap values lower than 50. **: The samples sourced from NCBI GenBank.
Phylogenetic analysis based on the whole nuclear genome SNPs
The maximum likelihood phylogenetic tree was constructed based on 3,476,070 SNPs. The topology of the SNPs tree was nearly identical to the chloroplast tree, i.e., one clade including Melastoma candidum, M. candidum var. alessandrense (nested within M. candidum from the Okinawa Islands), and M. malabathricum var. normale, and the other including M. dodecandrum, M. tetramerum, and M. tetramerum var. pentapetalum (Fig. 2). Notably, the branch length of the endangered taxa native to the Bonin Islands were shorter than other species.
The maximum likelihood tree based on the whole genome SNPs data (3,476,070 bp). Only SNPs shared by 80% or more samples were used for the analysis. The GTR + G model was applied, and the log likelihood value was − 5889107.197. The numbers on branches were bootstrap values from 100 replications. The bootstrap values of the branches without any number were 100, and asterisks represented bootstrap values lower than 50. **: The samples sourced from NCBI GenBank.
Demographic inference
The results of demographic inference by PSMC were shown in Fig. 3. The reliable range was different in each sample based on the results of 100 bootstrap replications: The analysis revealed that the reliability range of estimated effective population size varies among samples. Melastoma candidum (YI-0196) would be reliable between approximately 20,000–2,500,000 years, M. candidum var. alessandrense (YI-1923) 5000–200,000 years, M. tetramerum (YI-1909) 9000–2,500,000 years, and M. tetramerum var. pentapetalum (YI-1921) 5000–200,000 years. Notably, M. candidum and M. tetramerum exhibited increases of population sizes around 100,000 years ago. Conversely, the population sizes of M. candidum var. alessandrense and M. tetramerum var. pentapetalum have shown a continuous decline.
The ancient population dynamics of four Melastoma taxa estimated by PSMC analyses. (a) M. candidum, (b) M. candidum var. alessandrense, (c) M. tetramerum, (d) M. tetramerum var. pentapetalum, and (e) All taxa. Thin lines in (a), (b), (c), and (d) showed the results of 100 bootstrap replications. Abbreviations; M. tet. pentapetalum: M. tetramerum var. pentapetalum, M. can. alessandrense: M. candidum var. alessandrense.
Population genomics analyses and statistics
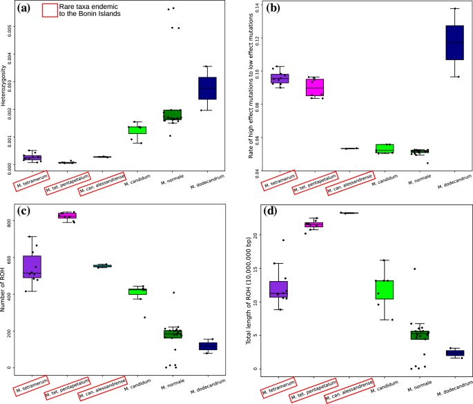
The heterozygosity of the three endemic taxa was lower than common species (M. candidum) and the difference between M. tetramerum and M. candidum (p-value (p) was 0.00199), and M. tetramerum var. pentapetalum and M. candidum (p = 0.00404) were significant (Fig. 4a, Table 1). The heterozygosity of M. tetramerum var. pentapetalum was lower than M. tetramerum (p = 4.57e − 5). The rate of high-effect mutations of the three endemic taxa were higher than M. candidum and M. tetramerum (p = 0.000103) and M. tetramerum var. pentapetalum (p = 0.000311) were significant (Fig. 4b, Table 1). The numbers of ROH (runs of homozygosity) of the three endemic taxa were higher than M. candidum, and M. tetramerum (p = 0.00397) and M. tetramerum var. pentapetalum (p = 0.00145) was significant (Fig. 4c, Table 1). The total length of ROH of M. tetramerum was similar to M. candidum while the other two endemic taxa had longer ROH (Fig. 4d, Table 1).
The scattered boxplot of the results of analyses on the genetic diversity of six Melastoma taxa. (a) Heterozygosity, (b) rate of high-effect mutations to low-effect mutations, (c) number of runs of homozygosity on chromosome 1–12, and (d) total length of runs of homozygosity on chromosome 1–12. The ROH regions only longer than 100,000 bp were used for the analyses. Abbreviations; M. tet. pentapetalum: M. tetramerum var. pentapetalum, M. can. alessandrense: M. candidum var. alessandrense, M. normale: M. malabathricum var. normale.
Discussion
There are three Melastoma taxa endemic to the Bonin Islands; M. candidum var. alessandrense, M. tetramerum, and M. tetramerum var. pentapetalum. The origins of these endemic taxa are evolutionary intriguing due to the high isolation of the Bonin Islands. Highly resolved phylogenetic analyses are essential to estimate the origins of these endemic taxa. The results of the phylogenetic analyses of this study, based on two different datasets (chloroplast sequences and whole nuclear genome SNPs), revealed nearly identical topologies (Figs. 1 and 2), suggesting two independent origins of the Melastoma species endemic to the Bonin Islands. Melastoma candidum var. alessandrense was included in the clade of M. candidum from the Okinawa Islands and the closest individual to M. candidum var. alessandrense was sampled from Iriomote island. Melastoma tetramerum and M. tetramerum var. pentapetalum likely have a different origin from M. candidum var. alessandrense, and these two taxa were sister to M. dodecandrum from China. Although M. tetramerum and M. tetramerum var. pentapetalum were close to M. dodecandrum, the branch length was quite long and there are few morphological similarities between these two endemic taxa and M. dodecandrum. In addition, only six taxa out of ca. 100 Melastoma species were analyzed in this study, then a more comprehensive analysis is necessary to accurately determine the origin of M. tetramerum and M. tetramerum var. pentapetalum.
The heterozygosity, and the number and the length of ROH of Melastoma taxa endemic to the Bonin Islands showed that the genetic diversity of these rare taxa was lower than M. candidum, which is widely distributed in tropical to subtropical Asia (Figs. 4 and 5). The rate of high-effect mutations exhibited different patterns among the Bonin Island endemics. M. tetramerum and M. tetramerum var. pentapetalum would have more vulnerable genomes than M. candidum, while the genome vulnerability of M. candidum var. alessandrense was similar to M. candidum (Fig. 4 and Table 1). These results suggested that M. tetramerum and M. tetramerum var. pentapetalum are more susceptible to threats due to their genome vulnerability compared to M. candidum var. alessandrense. Rapid decreases of effective population size can sometimes cause genomic vulnerability9. However, Melastoma taxa endemic to the Bonin Islands have not experienced such rapid declines (Fig. 3). Melastoma tetramerum exhibited similar population dynamics to M. candidum, whereas the effective population sizes of M. candidum var. alessandrense and M. tetramerum var. pentapetalum have been continuously decreasing. Interestingly, despite having similar historical population dynamics, M. candidum var. alessandrense and M. tetramerum var. pentapetalum show significant differences in their genomic vulnerability. Therefore, ancient population dynamics likely do not represent the main cause factor driving the genomic vulnerability of the endemic Melastoma taxa.
Lower genetic diversity and higher rate of deleterious mutations were common in M. tetramerum and M. tetramerum var. pentapetalum. However, the extent of the genome vulnerability of these two endangered taxa were different (Figs. 4 and 5, and Table 1). In addition to heterozygosity, the number and the length of ROH were significantly different between the two taxa (p = 4.57e − 5). These results indicated that M. tetramerum var. pentapetalum has a more vulnerable genome compared to M. tetramerum. M. tetramerum var. pentapetalum comprises a larger population in its natural habitats compared to M. tetramerum, and is not currently designated as the focal species of the protection and reproduction programs of the Ministry of the Environment, Japan. However, considering its significance, conservation initiatives may also be necessary for this variety.
Although the multifaceted value of biodiversity is now widely recognized, many species face the threat of extinction. It is generally difficult to improve the status of species listed as endangered. Indeed, in Japan, 64 species are subject to the Conservation and Reproduction Programs under the Law for the Conservation of Species as part of biodiversity conservation, but so far no species has been de-registered as a result of improved status. This indicates that for effective conservation of species, it is imperative to implement appropriate conservation measures before the situation becomes significantly challenging. While population size provides crucial information on the conservation status of a species, genomic information can be used to implement more effective conservation measures before a species becomes endangered. Comprehensive preliminary genome analyses, such as those carried out in this study, across rare species could be crucial for long-term biodiversity conservation efforts.
Methods
Plant materials and DNA extraction
The collection and use of plant materials in this study were carried out in compliance with relevant institutional, national, and international guidelines and legislation. Necessary permissions and licenses were obtained from the relevant authorities (Ministry of the Environment and Forestry Agency for Japanese samples). The plant specimens were identified by two of the current authors, Yoshiteru Komaki and Yuji Isagi, and voucher specimens were deposited at Graduate School of Agriculture, Kyoto University (Supplementary Table S1). The leaves of a total of 23 individuals of Melastoma (three individuals of M. candidum: two from Okinawa Island and one from Iriomote Island, two individuals of M. candidum var. alessandrense from Kita-Iwojima Island, 10 individuals of M. tetramerum from Chichijima Island, and 8 individuals of M. tetramerum var. pentapetalum from Hahajima Island) were sampled and stored in silica gel. Plant materials used in this study were shown in Supplementary Table S1. DNA extraction was conducted by using the modified CTAB method10 from approximately 1 cm × 1 cm silica gel dried leaves.
Library preparation, short read sequencing, and quality filtering of reads
The library was prepared with Illumina DNA Prep kit according to the manufacturer’s protocol. Sequencing was conducted by using HiSeq X Ten sequencer (Illumina, San Diego, CA, USA). The sequenced reads were preprocessed by using Trimmomatic v.0.3911.
Reference genome and quoted short reads from NCBI GenBank
We used the nuclear genome of Melastoma dodecandrum GWHBCLA000000002 as the reference sequence for the phylogenetic and population genomics analyses of this study. In addition to our original plant samples, the short read genome resequencing data of 27 individuals (four individuals of M. candidum, two of M. dodecandrum, and 21 of M. malabathricum var. normale) were downloaded from NCBI GenBank (Supplementary Table S2) and used for the following phylogenetic and population genomics analyses. All the data available on NCBI at late 2022 were used.
Phylogenetic analysis based on the whole genome sequences of chloroplast
The whole genomes of chloroplast were assembled by using GetOrganelle v1.7.7.012 with “–max-reads inf–reduce-reads-for-coverage inf” options, and the assembled sequences were aligned with MAFFT v7.24913 with default parameters after excluding one copy of the inverted repeat regions. After alignment, the sequence matrix was trimmed by trimAl14. The optimal DNA substitution model of the sequence matrix was estimated by using ModelTest-NG v0.1.715. The maximum likelihood phylogenetic tree was constructed by using RAxML-NG v1.1.016. The credibility of each branch was evaluated with 100 bootstrap replications. The resulting phylogenetic tree was edited by using FigTree v1.4.317.
Mapping reads to the nuclear reference genome, SNP calling, and depth filtering
The read mapping and sorting were performed by using Bowtie2 v2.5.318 and SAMtools 1.1919. SNP calling of each sample was performed by using BCFtools 1.1919 with “-q 30 -Q 20” options. The average read depth (d) of each sample was calculated with SAMtools 1.1919, and the SNPs were filtered with the minimum threshold (d / 3; if d < 9, the minimum threshold was 3) and the maximum threshold (2 × d).
Phylogenetic analysis based on the whole genome SNPs
The filtered vcf files were merged into a single vcf file by using the “vcf-merge” command within VCFtools v0.1.1620. The SNPs shared by less than 20% of individuals were discarded. The merged vcf file was converted to phylip format with vcf2phylip v2.621. The maximum likelihood phylogenetic tree was constructed by using RAxML-NG v1.1.016 with the GTR + G model without estimating the best DNA substitution model because of computational limitations. The credibility of each branch was evaluated with 100 bootstrap replications. The resulting phylogenetic tree was edited by using FigTree v1.4.317.
Demographic inference
The ancient population dynamics of the three taxa endemic to the Bonin Islands and Melastoma candidum were estimated by using PSMC22. For the PSMC analyses, the samples of M. candidum (YI-0196), M. candidum var. alessandrense (YI-1922), M. tetramerum (YI-1909), and M. tetramerum var. pentapetalum (YI-1921) were used. The average read depth (d) of each sample was calculated with SAMtools 1.1919. SNP calling was conducted by BCFtools 1.1919. SNPs were filtered with the minimum depth threshold (d / 3) and maximum depth threshold (2 × d). The generation time and the mutation rate were set at 10 years and 1.0e − 8, respectively.
Population genomics analyses and statistics
To evaluate the vulnerability of the genome of the endangered Melastoma endemic to the Bonin Islands, the heterozygosity and the rate of high-effect mutations of each sample was estimated by using SnpEff v5.223. The database of SnpEff was created from the reference genome of M. dodecandrum. Runs of homozygosity (ROH) was also estimated as an indicator of genetic diversity. ROH on chromosome 1–12 of each sample was estimated by using BCFtools 1.1919. The results were plotted with matplotlib v3.6.324.
The statistical analyses were performed on the heterozygosity, the rate of high-effect mutations, and the number and the length of ROH (ROH regions longer than 100,000 bp were used for the analyses) between M. tetramerum and M. candidum, and M. tetramerum var. pentapetalum and M. candidum to evaluate whether the differences of the genetic diversity between these rare taxa and widely distributed species were significant. The differences between M. tetramerum and M. tetramerum var. pentapetalum were also analyzed. M. candidum var. alessandrense was not analyzed because there were not enough samples (only two samples) to conduct statistical analyses. We conducted two-sided Mann–Whitney U test on the results of the population genomics analyses by using SciPy library v1.1125.
Data availability
Whole genome resequencing data have been deposited at the NCBI Sequence Read Archive and are publicly available under accession number PRJNA1101173 (BioProject) and SRR28712676 to SRR28712698 (SRA).
References
Plants of the World Online. https://powo.science.kew.org/taxon/urn:lsid:ipni.org:names:30450339-2 (2024).
Hao, Y. et al. The Melastoma dodecandrum genome and the evolution of Myrtales. J. Genet. Genom. 49(2), 120–131 (2022).
Tsutsumi, C. The phylogenetic positions of four endangered Vaccinium species in Japan. Bull. Natl. Mus. Nat. Sci. 37(2), 79–86 (2011).
Harbaugh, D. T. & Baldwin, B. G. Phylogeny and biogeography of the sandalwoods (Santalum, Santalaceae): Repeated dispersals throughout the Pacific. Am. J. Bot. 94, 1028–1040 (2007).
Noda, H. et al. Multiple origins of two Ochrosia (Apocynaceae) species endemic to the Bonin (Ogasawara) Islands. Mol. Phylogenetics Evol. 171, 107455 (2022).
Ohi-Toma, T., Komaki, Y., Hirai, K. & Murata, J. Recent population fluctuation of an endangered species Melastoma tetramerum (Melastomataceae) and necessity of genetic assessment for future conservation. J. Jpn. Bot. 83, 323–330 (2008).
Hamabata, T. et al. Vulnerable genomes of endangered plants on oceanic islands. Commun. Biol. 2, 244 (2019).
Dussex, N. et al. Population genomics of the critically endangered kākāpō. Cell Genom. 1, 1. https://doi.org/10.1016/j.xgen.2021.100002 (2021).
Nakahama, N., Ando, H., Yoshikawa, N. & Isagi, Y. Genetic information as a basis for conservation genetics of national endangered species of wild fauna and flora in Japan. Jpn. J. Conserv. Ecol. 27, 21–29 (2022).
Doyle, J. J. & Doyle, J. L. A rapid DNA isolation procedure for small quantities of fresh leaf tissue. Phytochem. Bull. 19, 11–15 (1987).
Bolger, A. M., Lohse, M. & Usadel, B. Trimmomatic: A flexible trimmer for Illumina sequence data. Bioinformatics. 30(15), 2114–2120 (2014).
Jin, J. J. et al. GetOrganelle: A fast and versatile toolkit for accurate de novo assembly of organelle genomes. Genome Biol. 21, 241. https://doi.org/10.1186/s13059-020-02154-5 (2020).
Katoh, K., Kuma, K., Toh, H. & Miyata, T. MAFFT version 5: Improvement in accuracy of multiple sequence alignment. Nucl. Acids Res. 33, 511–518 (2005).
Salvador, C. G., Jose, M. S. & Toni, G. trimAl: A tool for automated alignment trimming in large-scale phylogenetic analyses. Bioinformatics 25, 1972–1973 (2009).
Darriba, D. et al. ModelTest-NG: A new and scalable tool for the selection of DNA and protein evolutionary models. Mol. Biol. Evol. 37(1), 291–294. https://doi.org/10.1093/molbev/msz189 (2020).
Kozlov, A. M., Darriba, D., Flouri, T., Morel, B. & Stamatakis, A. RAxML-NG: A fast, scalable and user-friendly tool for maximum likelihood phylogenetic inference. Bioinformatics 35(21), 4453–4455 (2019).
Rambaut, A. FigTree. Tree figure drawing tool. http://tree.bio.ed.ac.uk/software/figtree (2009).
Langmead, B., Wilks, C., Antonescu, V. & Charles, R. Scaling read aligners to hundreds of threads on general-purpose processors. Bioinformatics 35(3), 421–432. https://doi.org/10.1093/bioinformatics/bty648 (2019).
Danecek, P. et al. Twelve years of SAMtools and BCFtools. GigaScience https://doi.org/10.1093/gigascience/giab008 (2021).
Danecek, P. et al. The variant call format and VCFtools. Bioinformatics 27(15), 2156–2158. https://doi.org/10.1093/bioinformatics/btr330 (2011).
Ortiz, E.M. vcf2phylip v2.0: Convert a VCF matrix into several matrix formats for phylogenetic analysis. 10.5281/zenodo.2540861 (2019).
Li, H. & Durbin, R. Inference of human population history from individual whole-genome sequences. Nature 475, 493–496 (2011).
Cingolani, P. et al. A program for annotating and predicting the effects of single nucleotide polymorphisms, SnpEff: SNPs in the genome of Drosophila melanogaster strain w1118; iso-2; iso-3. Fly 6(2), 80–92 (2012).
Hunter, J. D. Matplotlib: A 2D graphics environment. Comput. Sci. Eng. 9(3), 90–95 (2007).
Virtanen, P. et al. SciPy 1.0: Fundamental algorithms for scientific computing in python. Nat. Methods 17(3), 261–272 (2020).
Acknowledgements
This research was supported by the Environment Research and Technology Development Fund, the Ministry of Environment of Japan (4-1902 (JPMEERF20194002), 4-2003 (JPMEERF20204003) and 4MF-2202 (JPMEERF20224M02)). We are grateful for the assistance provided by the Ministry of the Environment and the Tokyo Metropolitan Government in collecting the samples.
Author information
Authors and Affiliations
Contributions
Conceptualization: Y.I. Sample collection: Yo.K., Y.I. Methodology: Yu.K. Supervision: Y.I. Writing: Yu.K., Y.I., Funding: Y.I. All authors reviewed the manuscript.
Corresponding authors
Ethics declarations
Competing interests
The authors declare no competing interests.
Additional information
Publisher's note
Springer Nature remains neutral with regard to jurisdictional claims in published maps and institutional affiliations.
Supplementary Information
Rights and permissions
Open Access This article is licensed under a Creative Commons Attribution 4.0 International License, which permits use, sharing, adaptation, distribution and reproduction in any medium or format, as long as you give appropriate credit to the original author(s) and the source, provide a link to the Creative Commons licence, and indicate if changes were made. The images or other third party material in this article are included in the article's Creative Commons licence, unless indicated otherwise in a credit line to the material. If material is not included in the article's Creative Commons licence and your intended use is not permitted by statutory regulation or exceeds the permitted use, you will need to obtain permission directly from the copyright holder. To view a copy of this licence, visit http://creativecommons.org/licenses/by/4.0/.
About this article
Cite this article
Kobayashi, Y., Komaki, Y. & Isagi, Y. Exploring phylogeny and genomic vulnerability of Melastoma (Melastomataceae) endemic to a World Natural Heritage site, the Bonin Islands. Sci Rep 14, 15668 (2024). https://doi.org/10.1038/s41598-024-65726-6
Received:
Accepted:
Published:
Version of record:
DOI: https://doi.org/10.1038/s41598-024-65726-6







