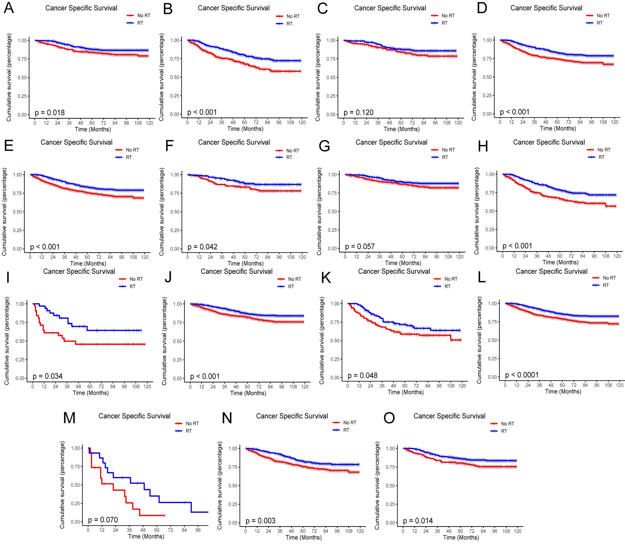
Figure 2

Cancer specific survival analysis of patients in the RT group and non-RT group according to stratified analysis. (A) Age between 70 and 80 years; (B) age more than 80 years; (C) Grade I–II; (D) Grade III–IV; (E) HER2-negative; (F) HER2-positive; (G) T1; (H) T2; (I) T3-4; (J) negative lymph node; (K) positive lymph node; (L) M0; (M) M1; (N) without CT; (O) with CT.