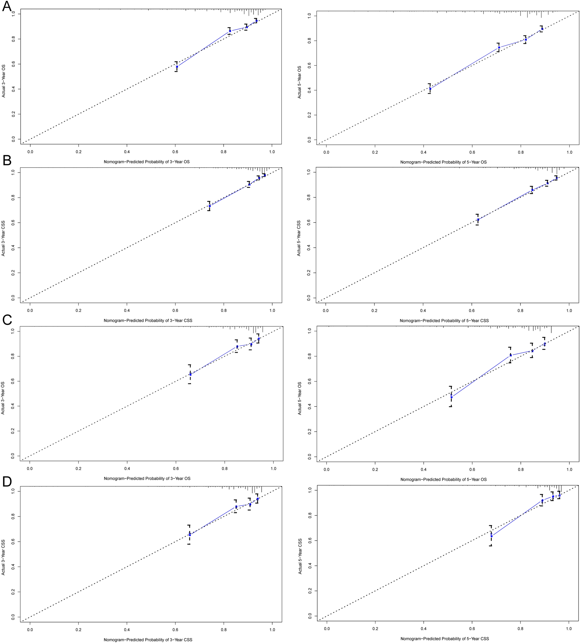
Figure 7

The calibration curves of the nomogram for predicting (A) 3- and 5-year overall survival in the training cohort; (B) 3- and 5-year cancer specific survival in the training cohort; (C) 3- and 5-year overall survival in the validating cohort; (D) 3- and 5-year cancer specific survival in the validating cohort.