Figure 6
From: State-of-the-art sleep arousal detection evaluated on a comprehensive clinical dataset

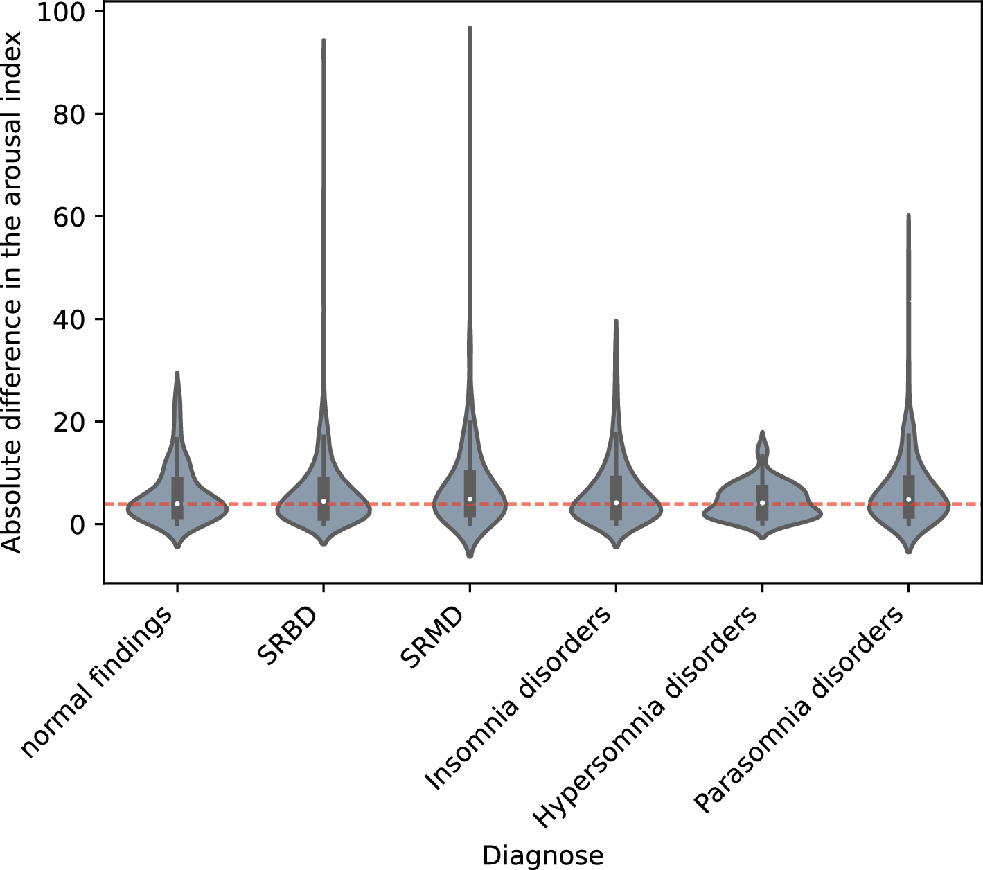
Influence of diagnosis on ArI error in the DSDS. The red dotted line indicates the median of the ArI error for the normal findings group.
From: State-of-the-art sleep arousal detection evaluated on a comprehensive clinical dataset

Influence of diagnosis on ArI error in the DSDS. The red dotted line indicates the median of the ArI error for the normal findings group.