Abstract
Pancreatic cancer presents a critical health issue characterized by low survival rates. Identifying risk factors in specific populations, such as those with diabetes, is crucial for early detection and improved outcomes. This study aimed to identify risk factors for pancreatic cancer in diabetic patients using a longitudinal cohort from the Shizuoka Kokuho database, spanning April 2012 to September 2021. Diabetic patients were identified and monitored for the onset of pancreatic cancer. Factors analyzed included age, sex, the Elixhauser comorbidity index, and specific comorbidities. Statistical analyses involved univariate and multivariate Cox proportional hazards regression. The study identified 212,775 as diabetic patients and 1755 developed pancreatic cancer during the period. The annual incidence rate of pancreatic cancer in this group was 166.7 cases per 100,000 person-years. The study identified older age, male sex, a history of liver disease, chronic pancreatitis, and pancreatic cystic lesions as significant risk factors for pancreatic cancer in diabetic patients. The study also highlighted the absence of a significant association between diabetes type or diabetic complications and the onset of pancreatic cancer. These findings may aid in the early diagnosis of pancreatic cancer in diabetic patients and may inform revisions in screening practices in diabetic patients.
Similar content being viewed by others
Introduction
Malignant pancreatic tumors, particularly pancreatic cancer (PC), are associated with notably poor prognoses, as evidenced by a 5-year overall survival rate of only 8.5% in Japan1. Conversely, patients with tumors measuring 10 mm or smaller have a significantly higher 5-year survival rate, exceeding 80%2. Nonetheless, cancer registry data reveal that only 1.7% and 4.1% of all PC patients are classified as UICC stage 0 and IA, respectively2. Therefore, early diagnosis is critical to improving the prognosis of PC. Identifying risk factors for PC is crucial for early-stage detection. The Japanese clinical practice guidelines for pancreatic cancer3 list several risk factors: familial history4, smoking5,6,7, drinking8,9, diabetes10,11,12,13, obesity14,15,16,17,18, chronic pancreatitis19,20,21, pancreatic cystic lesions22,23,24,25, gallstones/cholecystectomy26, H. pylori infection27, HBV infection28 and HCV infection29. Diabetic patients, who regularly visit the hospital, present a practical opportunity for pancreatic surveillance. However, with approximately 10 million diabetic patients in Japan30,31, it is impractical to conduct pancreatic surveillance on all of them. Effective surveillance for PC could be achieved by identifying diabetic patients at high-risk for PC who already require regular hospital visits. Nevertheless, there is a notable lack of research on pancreatic cancer risk factors within the diabetic population. This study, therefore, aimed to identify the risk factors that contribute to the development of pancreatic cancer in diabetic patients.
Materials and methods
Study design and data sources
Our study employed a cohort design utilizing the Shizuoka Kokuho database (SKDB)32. The SKDB is an administrative claims database for beneficiaries in Shizuoka Prefecture’s municipal government insurance program, including the National Health Insurance and late-stage medical care system for the elderly. Shizuoka Prefecture, with a population of approximately 3.6 million, features a climate and demographic profile representative of Japan. The SKDB covers a regional, population-based longitudinal cohort of 2,571,418 individuals from Shizuoka. All data from SKDB enrollees underwent preprocessing, which involved extensive cleaning and anonymization32. This dataset comprises basic subscriber information (e.g., sex, age, zip code, observation period, and reason for disenrollment, including death) and claims from public health insurance organizations (below 75 years for the National Health Insurance system and above 75 years for the Late-stage Elderly Medical Care System). The utility of the SKDB in real-world risk factor analysis is underscored by its comprehensive data on mortality and follow-up attrition, derived from the Basic Resident Registration System. The database has supported various studies, particularly in risk factor analysis33,34,35.
Observation period and study population
In this database-nested cohort study, we utilized the SKDB from April 1, 2012, to September 30, 2021. Figure 1 illustrates the study schema. The investigation involved examining enrollees through the individually linked data in the databases, focusing on their annual health checkups and insurance claims. For each enrollee, the data availability spanned from the later of either their insurance registration date or April 2012, whichever was later, to the earlier of either their insurance withdrawal date or September 30, 2021. Diabetic patients were selected for cohort inclusion based on identification and extraction from the database. The exclusion criteria included those diagnosed with pancreatic cancer prior to or concurrent with their initial health checkup or insurance claim, a history of any cancer (apart from nonmelanoma skin cancer), and an observation period of less than one year. Additionally, diabetic patients who developed pancreatic cancer within 1 year following their diabetes diagnosis were excluded to avoid confounding with secondary diabetes caused by pancreatic cancer.
Definition of diabetic patients and outcome
Diabetic patients were identified by the prescription of one or more antidiabetic agents (Supplementary Table 1), including insulin (since antidiabetic agents are not commercially available in Japan), and insurance claims indicating diabetes mellitus (E10, E11, or E14) during the baseline period. In contrast, nondiabetic patients had no such prescriptions in the same timeframe. The primary outcome of the study was the incidence of pancreatic cancer, determined using International Classification of Disease 10 (ICD-10) codes from claims data (Supplementary Table 2). To improve specificity, provisional diagnoses of pancreatic cancer and diabetes were excluded.
Variables
Our analysis incorporated several candidate confounders, including age, sex, the Charlson-Elixhauser comorbidity index, and covariates previously identified in relevant reports36,37,38,39,40,41,42. We determined the presence of individual comorbidities using standard definitions from the Charlson-Elixhauser comorbidity index43,44. In assessing specific comorbidities, we utilized a one-year period prior to the medical examination date as the search timeframe. A comorbidity was considered present if it was confirmed in the insurance claims data. The type of diabetes agent was excluded from our variables. This exclusion stems from the study’s design, which is not aligned with the Prevalent New-user Design, and therefore does not investigate the relationship between PC development and diabetes medications45,46,47.
Statistical analysis
Frequencies and percentages were calculated for categorical variables, and the mean and standard deviation were calculated for continuous variables. For comparing continuous and categorical variables across groups, we employed the t test and chi-square test, respectively. Univariate and multivariate cause-specific Cox proportional hazards regression analyses were performed to explore factors associated with pancreatic cancer onset. This method is suitable for our study as it deals with time-to-event data, allowing us to account for the varying follow-up times among participants. The hazard ratio (HR), 95% confidence interval (CI), and p-value of Wald test were calculated to estimate the relative risk of pancreatic cancer over time. In the regression analysis, we included both reported risk factors (e.g., pancreatic cysts) and potential risk factors (e.g., critical etiological and epidemiological factors). To ensure a conservative approach, no model selection was carried out, and all variables that reached statistical significance in the univariate regression analysis were entered into the multivariate regression analysis. We excluded one of two highly correlated variables (absolute Spearman’s correlation coefficient > 0.4) from the multivariable model to avoid multicollinearity. All p-values were two-sided, with a threshold of < 0.05 set for statistical significance. The 95% CI for annual incidence rate of pancreatic cancer was calculated using the Normal approximation to the Poisson distribution, following the method outlined in Rosner’s “Fundamentals of Biostatistics” (5th Ed). The Kaplan–Meier method estimated overall survival for the pancreatic cancer population, with cumulative incidence curves compared using the log-rank test. All analyses adhered to the intention-to-treat principle. For statistical analyses, we used SAS version 9.4 (SAS Institute, Cary, NC, USA), EZR version 1.55 (Saitama Medical Center, Jichi Medical University, Saitama, Japan), and R statistical software version 4.2.1 (The R Foundation for Statistical Computing).
Ethics
The data of all enrollees were anonymized to ensure participant confidentiality32. This study adhered to the principles of the Declaration of Helsinki. The study protocol received approval from the Medical Ethics Committee of the Shizuoka Graduate School of Public Health (SGUHPH_2021_001_067), and this committee waived the requirement for informed consent.
Results
Study population and baseline characteristics
The Shizuoka Kokuho database, which comprises 2,571,418 individuals, identified 212,775 as diabetic patients with a baseline period exceeding one year, as detailed in Fig. 2. Of these patients, 1755 developed pancreatic cancer during the observation period, which had a median duration of 5.1 years and a maximum of 8.5 years. The annual incidence rate of pancreatic cancer in this group was 166.7 cases per 100,000 person-years [95% CI 158.9–174.5], and incidence rates in patients newly diagnosed with diabetes and those with an existing diagnosis were 156.7 cases per 100,000 person-years [95% CI 141.9–172.8] and 169.9 cases per 100,000 person-years [95% CI 161.0–179.1], respectively. Table 1 presents the baseline characteristics of both the patients diagnosed with pancreatic cancer and those without the disease.
Identification of risk factors for pancreatic cancer in diabetic patients
Potential risk factors and significant variables were evaluated using univariate Cox regression analysis (Table 1). Identified candidate risk factors included older age, male sex, coexisting liver disease, cardiac arrhythmias, hypertension, chronic pancreatitis, and pancreatic cystic lesions, each with p-values below 0.05. These variables were subsequently incorporated into a multivariate model. The multivariable regression results, presented in Table 2, indicated that older age and male gender were associated with an increased risk of pancreatic cancer (HR: 1.267 [95% CI 1.150–1.395]). Liver disease emerged as a notable risk factor (HR: 1.13 [95% CI 1.01–1.26]). Significant correlations were found between the onset of PC and both chronic pancreatitis (HR: 1.98 [95% CI 1.48–2.64]) and pancreatic cystic disease (HR: 4.79 [95% CI 3.43–6.67]). Neither the type of diabetes nor the presence of diabetic comorbidities was associated with the onset of PC. Furthermore, the risk of pancreatic cancer onset did not significantly differ between patients newly diagnosed with diabetes and those with an existing diagnosis.
Survival curve in pancreatic cancer onset subgroup
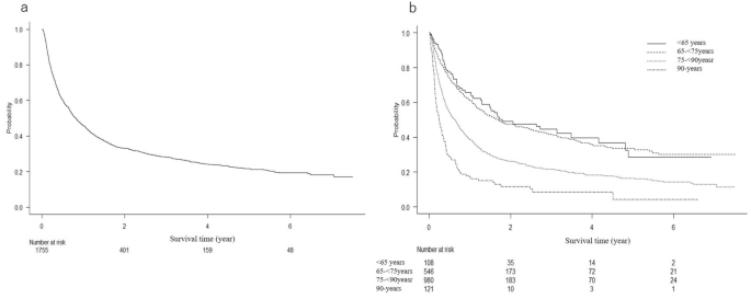
During the observation period, among 1755 diabetic patients diagnosed with PC, 1177 (67.1%) patients died, with a median survival period of 297 days. The 6-month, 1-year, 3-year, and 5-year survival rates were 60.5%, 45.8%, 28.2% and 21.6%, respectively. The overall survival rates of diabetic patients with PC are shown in Fig. 3a. A comparison of survival rates categorized by age revealed a decline in survival with increasing age (p < 0.001, Fig. 3b). The median survival periods for the age groups < 65 years, 65–< 75 years, 75–< 90 years, and ≥ 95 years were 658 days, 620 days, 234 days and 89 days, respectively.
Discussion
While numerous risk factors for PC have been identified in the general population, this large-scale cohort study specifically examines these factors among individuals with diabetes mellitus. Our findings indicate that among patients with a history of diabetes mellitus for more than one year, the annual incidence of PC was 166.7 cases per 100,000 person-years [95% CI 158.9–174.5]. In contrast, the incidence in the general population of Japan is 34.8 cases per 100,000 person-years1. Meta-analyses report the risk of PC in diabetic patients with a relative risk between 1.710 and 1.911. Although it is known that the risk of pancreatic cancer is elevated in patients with diabetes, the present study, which reports on the incidence of pancreatic cancer among diabetic patients in a large cohort, is of considerable value and our results suggests a higher incidence of PC in our diabetic cohort. Given this increased incidence, monitoring diabetic patients could enhance medical outcomes. Furthermore, significant risk factors identified in diabetic individuals include advanced age, male sex, a history of liver disease, chronic pancreatitis, and pancreatic cystic lesions. These findings could be instrumental in promoting early diagnosis of PC in diabetic patients, suggesting the need for abdominal screening in diabetic patients with these risk factors.
The identified risk factors for the onset of pancreatic cancer in diabetic patients, except for a history of liver disease, were consistent with those in the general population. However, the existing risk factors and their associated risk values listed in the guidelines are often a compilation of each study, reported disparately across different population backgrounds. In this study, we have re-evaluated all previously reported risk factors simultaneously in a multivariate analysis within a single large-scale cohort study. The factors thus selected are considered to independently contribute to the incidence of pancreatic cancer in the diabetic cohort, which is a strength of this research.
Pancreatic cancer typically occurs more frequently in males than in females and is more prevalent in older individuals48,49. In our study, being male was identified as a risk factor. This gender disparity may be partially attributed to the higher rates of smoking and heavy drinking among males, factors known to escalate the risk of PC5,6,7,8,9. Furthermore, the role of potential yet unidentified factors (e.g., genetic predisposition) in influencing cancer incidence between genders warrants consideration. In diabetic patients, similar to the general population48,49,50,51, age is a significant risk factor for pancreatic cancer. The disease is rare before the age of 50 years, with the median age at diagnosis for most pancreatic adenocarcinoma cases in the general population being approximately 70 years48,52. The results in diabetic patients were similar to those in the general population, suggesting that intensive PC surveillance may not be necessary for younger diabetic individuals.
Pancreatic cystic lesions including intraductal papillary mucinous neoplasm are known risk factors for PC22,23,24,25 in the general population. Tada et al. reported that in Japanese patients with pancreatic cystic lesions, the observed incidence of pancreatic cancer was 22.5 times higher (95% confidence interval 11.0–45.3) than the expected mortality from this cancer in the general population23. However, these studies do not directly compare the risk for the incidence of pancreatic cancer with those of the general population. While multiple guidelines exist for the management of pancreatic cystic lesions53,54,55,56, there is a notable variation among them, and finding the ideal balance between surveillance and intervention for specific types of lesions remains a subject of considerable debate. Buerlein et al.57 posited that prior to initiating a surveillance program for a pancreatic cystic neoplasm, it is crucial to consider various patient-specific factors and to discuss with the patient the potential risks and benefits of undergoing a surveillance program, as individuals’ tolerance for risk can vary significantly. In this study, the prevalence of pancreatic cystic disease in diabetic patients was approximately 0.4%, which is lower than rates reported in recent studies58. Notably, this study is the first to identify pancreatic cystic lesions as a significant risk factor for developing pancreatic cancer in diabetic individuals, evidenced by a high hazard ratio (HR) of 4.79 [95% CI 3.43–6.67] (Table 2). The findings of the current study suggest that pancreatic cystic lesions in diabetic patients warrant regular monitoring.
Similarly, chronic pancreatitis is recognized as a risk factor for PC in the general population19,20,21. The international consensus guidelines for chronic pancreatitis59 note that the risk of developing pancreatic cancer may differ among patients with chronic pancreatitis, depending on factors such as lifestyle and medical or surgical interventions. Ueda et al. have reported that the standardized incidence ratio (SIR) for pancreatic cancer in Japanese patients with chronic pancreatitis was 11.8 (95% CI 7.1–18.4)21; however, similar to pancreatic cystic lesions, this was not the result of an analysis of risk factors within a large-scale cohort population. Our study suggests that chronic pancreatitis may also act as a risk factor for the development of PC in diabetic patients. Consequently, patients with concurrent chronic pancreatitis and diabetes mellitus may benefit from pancreatic cancer surveillance.
Based on our findings, the coexistence of liver disease emerged as a risk factor in patients with diabetes. The underlying biological mechanisms linking liver disease and pancreatic cancer remain unclear; however, several liver diseases are known risk factors for pancreatic cancer28,29. Previous research indicates that serum levels of pancreatic enzymes rise with the progression of liver disease in diagnosed patients60,61. This suggests that liver disease may exert a biologic effect on the pancreas, particularly in those with diabetes.
Hypertension and arrythmia were identified as risk factors in univariate analysis but not as significant risk factors in multivariate analysis. Although hypertension has not been identified as a clear risk factor for pancreatic cancer, several solid tumors have been associated with hypertension62. Similarly, the evidence for a strong association between the development of pancreatic cancer and arrhythmia is limited. Nonetheless, chronic pancreatitis, a risk known factor for pancreatic cancer, can lead to arrhythmia63. Additionally, elevated levels of branched-chain amino acids, which are associated with early pancreatic cancer development, have been linked to arrhythmia64. The relationship between hypertension and arrhythmia with PC warrants further investigation.
In Japan, the five-year survival rate for pancreatic cancer in all patients is 8.5%; however, for surgical cases, it is 28.6%1. In our cohort of diabetic patients with pancreatic cancer, the five-year survival rate is 21.6% (Fig. 3a). Regular hospital visits for diabetes treatment may lead to earlier detection and surgical intervention in symptomatic pancreatic cancer. Despite this, the survival rate remains suboptimal, underscoring the necessity for innovative therapeutic strategies to enhance survival rates.
There have been reports in the literature on the relationship between diabetes medication and the risk of pancreatic cancer. Metformin, in particular, is well-known, with studies suggesting it may reduce the incidence of pancreatic cancer10,65. This study is an explorative investigation into potential predictors of pancreatic cancer incidence, rather than focusing on causal relationships45,46,47. Additionally, the New-user Design-based analysis is impractical with the current dataset, leading to a potential misinterpretation of results. Consequently, the analysis excludes consideration of various medications.
This study is not without its limitations. First, we could not gather data on family history, medication adherence, socioeconomic status, cancer stage, pathological findings, or genetic information. Notably, a family history of pancreatic cancer is a known risk factor for the disease4, but this aspect was not included in our analysis. Second, the identification of pancreatic cancer was based on ICD-10 codes, which precluded the confirmation of additional details, including cancer stage. Similarly, pancreatic cystic lesions and chronic pancreatitis were cited as risk factors for pancreatic cancer; however, details about these diseases, such as the size of the pancreatic cysts and the treatment of chronic pancreatitis, were not obtained. Therefore, the impact of disease severity on pancreatic cancer risk has not been fully evaluated. Furthermore, Due to the characteristics of pancreatic tumors, some cases are not pathologically evaluated and may be registered as pancreatic cancer under the Japanese insurance system. This can result in lower malignancy tumors being classified as pancreatic cancer, potentially affecting the observed frequency and prognosis trends in this study. Third, as the age of disease onset could not be accurately ascertained, the age at diagnosis was used as a proxy. Fourth, we defined diabetic patients based on the prescription of one or more antidiabetic agents, leaving a gap in data for diabetic patients who do not use these medications. Furthermore, due to the nature of the administrative claims data used, the duration of diabetes mellitus could not be accurately determined. Therefore, it was not possible to provide the incidence of pancreatic cancer classified by the duration of diabetes. However, we did present the incidence rates based on whether diabetes was newly diagnosed or pre-existing, and found no significant differences in the impact on pancreatic cancer onset between these groups (Table 1, p < 0.875)". Fifth, an important limitation arises from the demographic composition of the database. Derived from Japan’s National Health Insurance system, our dataset primarily comprises an older population. This demographic distribution may contribute to the high incidence of pancreatic cancer in this study and limits the representativeness of our data for younger pancreatic cancer patients. However, considering the higher prevalence of pancreatic cancer in the elderly, conducting a risk factor analysis with this dataset, which includes a significant elderly demographic, is still valuable. Finally, the study confirmed that enrollees with newly diagnosed pancreatic cancer did not have pancreatic cancer during the one-year covariate assessment window. However, if a patient who already had pancreatic cancer did not use insurance for pancreatic cancer treatment during the baseline period, he or she may have been treated as a new-onset patient. Despite these limitations, this study provides important insights into the association between pancreatic cancer and various risk factors in a large cohort of diabetic patients.
Conclusions
This cohort study has identified key risk factors for pancreatic cancer in diabetic patients. Findings indicate that advanced age, male sex, a history of liver disease, chronic pancreatitis, and pancreatic cystic lesions significantly increase the risk of pancreatic cancer in this population. These insights underscore the importance of targeted surveillance for early detection of pancreatic cancer in diabetic patients, particularly those with these risk factors. This study contributes to the understanding of pancreatic cancer in diabetics, offering a foundation for improved patient management and screening protocols.
Data availability
According to Shizuoka Prefecture’s data use agreement with local insurers, readers cannot access the analyzed data. Researchers interested in accessing this dataset may submit an application to Shizuoka Prefecture to request access. Please contact the staff of Shizuoka Graduate University of Public Health (Email: info@s-sph.ac.jp).
References
Center for Cancer Control and Information Services. https://ganjoho.jp/reg_stat/statistics/stat/summary.
Egawa, S. et al. Japan Pancreatic Cancer Registry; 30th year anniversary: Japan Pancreas Society. Pancreas 41, 985–992 (2012).
Japan Pancreas Society. Clinical Practice Guidelines for Pancreatic Cancer 2019. (Kanahara & Co, Ltd, 2019).
Matsubayashi, H. et al. Familial pancreatic cancer: Concept, management and issues. World J. Gastroenterol. 23, 935–948 (2017).
Matsuo, K. et al. Cigarette smoking and pancreas cancer risk: An evaluation based on a systematic review of epidemiologic evidence in the Japanese Population. Jpn. J. Clin. Oncol. 41, 1292–1302 (2011).
Iodice, S., Gandini, S., Maisonneuve, P. & Lowenfels, A. B. Tobacco and the risk of pancreatic cancer: A review and meta-analysis. Langenbecks. Arch. Surg. 393, 535–545 (2008).
Lugo, A. et al. Strong excess risk of pancreatic cancer for low frequency and duration of cigarette smoking: A comprehensive review and meta-analysis. Eur. J. Cancer 104, 117–126 (2018).
Wang, Y.-T., Gou, Y.-W., Jin, W.-W., Xiao, M. & Fang, H.-Y. Association between alcohol intake and the risk of pancreatic cancer: A dose-response meta-analysis of cohort studies. BMC Cancer 16, 212 (2016).
Lu, P.-Y., Shu, L., Shen, S.-S., Chen, X.-J. & Zhang, X.-Y. Dietary patterns and pancreatic cancer risk: A meta-analysis. Nutrients 9, (2017).
Singh, S. et al. Anti-diabetic medications and risk of pancreatic cancer in patients with diabetes mellitus: A systematic review and meta-analysis. Am. J. Gastroenterol. 108, 510–519 (2013) (quiz 520).
Ben, Q. et al. Diabetes mellitus and risk of pancreatic cancer: A meta-analysis of cohort studies. Eur. J. Cancer 47, 1928–1937 (2011).
Song, S. et al. Long-term diabetes mellitus is associated with an increased risk of pancreatic cancer: A meta-analysis. PLoS One 10, e0134321 (2015).
Sharma, A. et al. Model to determine risk of pancreatic cancer in patients with new-onset diabetes. Gastroenterology 155, 730-739.e3 (2018).
Dobbins, M., Decorby, K. & Choi, B. C. K. The association between obesity and cancer risk: A meta-analysis of observational studies from 1985 to 2011. ISRN Prev. Med. 2013, 680536 (2013).
Stolzenberg-Solomon, R. Z. et al. Adiposity, physical activity, and pancreatic cancer in the National Institutes of Health-AARP Diet and Health Cohort. Am. J. Epidemiol. 167, 586–597 (2008).
Aune, D. et al. Body mass index, abdominal fatness and pancreatic cancer risk: A systematic review and non-linear dose-response meta-analysis of prospective studies. Ann. Oncol. 23, 843–852 (2012).
Koyanagi, Y. N. et al. Body-mass index and pancreatic cancer incidence: A pooled analysis of nine population-based cohort studies with more than 340,000 Japanese Subjects. J. Epidemiol. 28, 245–252 (2018).
Lin, Y. et al. Obesity, physical activity and the risk of pancreatic cancer in a large Japanese cohort. Int. J. Cancer 120, 2665–2671 (2007).
Raimondi, S., Lowenfels, A. B., Morselli-Labate, A. M., Maisonneuve, P. & Pezzilli, R. Pancreatic cancer in chronic pancreatitis; aetiology, incidence, and early detection. Best Pract. Res. Clin. Gastroenterol. 24, 349–358 (2010).
Kirkegård, J., Mortensen, F. V. & Cronin-Fenton, D. Chronic pancreatitis and pancreatic cancer risk: A systematic review and meta-analysis. Am. J. Gastroenterol. 112, 1366–1372 (2017).
Ueda, J. et al. Surgery for chronic pancreatitis decreases the risk for pancreatic cancer: A multicenter retrospective analysis. Surgery 153, 357–364 (2013).
Oyama, H. et al. Long-term risk of malignancy in branch-duct intraductal papillary mucinous neoplasms. Gastroenterology 158, 226-237.e5 (2020).
Tada, M. et al. Pancreatic cancer in patients with pancreatic cystic lesions: A prospective study in 197 patients. Clin. Gastroenterol. Hepatol. 4, 1265–1270 (2006).
Chernyak, V., Flusberg, M., Haramati, L. B., Rozenblit, A. M. & Bellin, E. Incidental pancreatic cystic lesions: Is there a relationship with the development of pancreatic adenocarcinoma and all-cause mortality?. Radiology 274, 161–169 (2015).
Tanaka, S. et al. Slight dilatation of the main pancreatic duct and presence of pancreatic cysts as predictive signs of pancreatic cancer: A prospective study. Radiology 254, 965–972 (2010).
Fan, Y. et al. Increased risk of pancreatic cancer related to gallstones and cholecystectomy: A systematic review and meta-analysis. Pancreas 45, 503–509 (2016).
Trikudanathan, G., Philip, A., Dasanu, C. A. & Baker, W. L. Association between Helicobacter pylori infection and pancreatic cancer. A cumulative meta-analysis. JOP 12, 26–31 (2011).
Iloeje, U. H. et al. Risk of pancreatic cancer in chronic hepatitis B virus infection: Data from the REVEAL-HBV cohort study. Liver Int. 30, 423–429 (2010).
Arafa, A., Eshak, E. S., Abdel Rahman, T. A. & Anwar, M. M. Hepatitis C virus infection and risk of pancreatic cancer: A meta-analysis. Cancer Epidemiol. 65, 101691 (2020).
Nanri, A. et al. Development of risk score for predicting 3-year incidence of type 2 diabetes: Japan Epidemiology Collaboration on Occupational Health Study. PLoS One 10, e0142779 (2015).
The National Health and Nutrition Survey Japan, 2019. Ministry of Health, Labour and Walfare. https://www.who.int/news-room/fact-sheets/detail/diabetes. (2019.).
Nakatani, E., Tabara, Y., Sato, Y., Tsuchiya, A. & Miyachi, Y. Data Resource Profile of Shizuoka Kokuho Database (SKDB) using integrated health- and care-insurance claims and health checkups: The Shizuoka Study. J. Epidemiol. advpub, JE20200480 (2021).
Hashizume, H., Nakatani, E., Sasaki, H. & Miyachi, Y. Hydrochlorothiazide increases risk of nonmelanoma skin cancer in an elderly Japanese cohort with hypertension: The Shizuoka study. JAAD Int. 12, 49–57 (2023).
Shoji-Asahina, A. et al. Risk factors, treatment and survival rates of late-onset acquired haemophilia A: A cohort study from the Shizuoka Kokuho Database. Haemophilia 29, 799–808 (2023).
Ubukata, N., Nakatani, E., Hashizume, H., Sasaki, H. & Miyachi, Y. Risk factors and drugs that trigger the onset of Stevens-Johnson syndrome and toxic epidermal necrolysis: A population-based cohort study using the Shizuoka Kokuho database. JAAD Int. 11, 24–32 (2023).
Welk, B. et al. The risk of fall and fracture with the initiation of a prostate-selective α antagonist: A population based cohort study. BMJ 351, h5398 (2015).
Emeny, R. T. et al. Association of receiving multiple, concurrent fracture-associated drugs with hip fracture risk. JAMA Netw. Open 2, e1915348 (2019).
Albasri, A. et al. Association between antihypertensive treatment and adverse events: Systematic review and meta-analysis. BMJ 372, (2021).
Wang, H., Ba, Y., Xing, Q. & Du, J.-L. Diabetes mellitus and the risk of fractures at specific sites: A meta-analysis. BMJ Open 9, e024067 (2019).
Tomioka, S., Rosenberg, M., Fushimi, K. & Matsuda, S. An analysis of equity in treatment of hip fractures for older patients with dementia in acute care hospitals: Observational study using nationwide hospital claims data in Japan. BMC Health Serv. Res. 20, 830 (2020).
Sato, Y., Kaji, M., Tsuru, T. & Oizumi, K. Risk factors for hip fracture among elderly patients with Parkinson’s disease. J. Neurol. Sci. 182, 89–93 (2001).
Hippisley-Cox, J. & Coupland, C. Predicting risk of osteoporotic fracture in men and women in England and Wales: Prospective derivation and validation of QFractureScores. BMJ 339, (2009).
Quan, H. et al. Coding algorithms for defining comorbidities in ICD-9-CM and ICD-10 administrative data. Med. Care 43, 1130–1139 (2005).
Elixhauser, A., Steiner, C., Harris, D. R. & Coffey, R. M. Comorbidity measures for use with administrative data. Med. Care 36, 8–27 (1998).
Ray, W. A. Evaluating medication effects outside of clinical trials: New-user designs. Am. J. Epidemiol. 158, 915–920 (2003).
Johnson, E. S. et al. The incident user design in comparative effectiveness research. Pharmacoepidemiol. Drug Saf. 22, 1–6 (2013).
Suissa, S., Dell’Aniello, S. & Renoux, C. The prevalent new-user design for studies with no active comparator: The example of statins and cancer. Epidemiology 34, 681–689 (2023).
Rawla, P., Sunkara, T. & Gaduputi, V. Epidemiology of pancreatic cancer: Global trends, etiology and risk factors. World J. Oncol. 10, 10–27 (2019).
Erratum: Global cancer statistics 2018: GLOBOCAN estimates of incidence and mortality worldwide for 36 cancers in 185 countries. CA Cancer J. Clin. 70, 313 (2020).
Siegel, R. L., Miller, K. D. & Jemal, A. Cancer statistics, 2018. CA Cancer J. Clin. 68, 7–30 (2018).
Bosetti, C. et al. Pancreatic cancer: Overview of descriptive epidemiology. Mol. Carcinog. 51, 3–13 (2012).
SEER Cancer Statistics Review (CSR) 1975–2015. https://seer.cancer.gov/archive/csr/1975_2015/index.html.
Tanaka, M. et al. Revisions of international consensus Fukuoka guidelines for the management of IPMN of the pancreas. Pancreatology 17, 738–753 (2017).
Elta, G. H., Enestvedt, B. K., Sauer, B. G. & Lennon, A. M. ACG clinical guideline: Diagnosis and management of pancreatic cysts. Am. J. Gastroenterol. 113, 464–479 (2018).
Vege, S. S. et al. American gastroenterological association institute guideline on the diagnosis and management of asymptomatic neoplastic pancreatic cysts. Gastroenterology 148, 819–822 (2015) (quize 12–3).
European Study Group on Cystic Tumours of the Pancreas. European evidence-based guidelines on pancreatic cystic neoplasms. Gut 67, 789–804 (2018).
Buerlein, R. C. D. & Shami, V. M. Management of pancreatic cysts and guidelines: What the gastroenterologist needs to know. Ther. Adv. Gastrointest. Endosc. 14, 26317745211045770 (2021).
Ardeshna, D. R. et al. Recent advances in the diagnostic evaluation of pancreatic cystic lesions. World J. Gastroenterol. 28, 624–634 (2022).
Hegyi, P. et al. Pancreatology 20, 579–585 (2020).
Yoffe, B. et al. Hyperlipasemia associated with hepatitis C virus. Dig. Dis. Sci. 48, 1648–1653 (2003).
Katakura, Y. et al. Pancreatic involvement in chronic viral hepatitis. World J. Gastroenterol. 11, 3508–3513 (2005).
Seretis, A. et al. Association between blood pressure and risk of cancer development: A systematic review and meta-analysis of observational studies. Sci. Rep. 9, 8565 (2019).
Dhar, P., Kalghatgi, S. & Saraf, V. Pancreatic cancer in chronic pancreatitis. Indian J. Surg. Oncol. 6, 57–62 (2015).
Mayers, J. R. et al. Elevation of circulating branched-chain amino acids is an early event in human pancreatic adenocarcinoma development. Nat. Med. 20, 1193–1198 (2014).
Li, D., Yeung, S.-C.J., Hassan, M. M., Konopleva, M. & Abbruzzese, J. L. Antidiabetic therapies affect risk of pancreatic cancer. Gastroenterology 137, 482–488 (2009).
Acknowledgements
A database from the Japan Pharmaceutical Information Center was used for the drug code search. We thank Phoebe Chi, MD, from Edanz (https://jp.edanz.com/ac), for editing a draft of this manuscript.
Author information
Authors and Affiliations
Contributions
Study conception and design: T.S., E.N., and T.U. Acquisition of data: E.N. Analysis and interpretation of data: T.S. and E.N. Drafting of the work: T.S. Critical revision of the manuscript: T.S., E.N., H.A., S.K., K.O., H.I., K.H., and T.U.. Final approval of the manuscript: T.S., E.N., H.A., S.K., K.O., H.I., K.H., and T.U.
Corresponding author
Ethics declarations
Competing interests
The authors declare no competing interests.
Additional information
Publisher's note
Springer Nature remains neutral with regard to jurisdictional claims in published maps and institutional affiliations.
Supplementary Information
Rights and permissions
Open Access This article is licensed under a Creative Commons Attribution-NonCommercial-NoDerivatives 4.0 International License, which permits any non-commercial use, sharing, distribution and reproduction in any medium or format, as long as you give appropriate credit to the original author(s) and the source, provide a link to the Creative Commons licence, and indicate if you modified the licensed material. You do not have permission under this licence to share adapted material derived from this article or parts of it. The images or other third party material in this article are included in the article’s Creative Commons licence, unless indicated otherwise in a credit line to the material. If material is not included in the article’s Creative Commons licence and your intended use is not permitted by statutory regulation or exceeds the permitted use, you will need to obtain permission directly from the copyright holder. To view a copy of this licence, visit http://creativecommons.org/licenses/by-nc-nd/4.0/.
About this article
Cite this article
Satoh, T., Nakatani, E., Ariyasu, H. et al. Pancreatic cancer risk in diabetic patients using the Japanese Regional Insurance Claims. Sci Rep 14, 16958 (2024). https://doi.org/10.1038/s41598-024-67505-9
Received:
Accepted:
Published:
Version of record:
DOI: https://doi.org/10.1038/s41598-024-67505-9
Keywords
This article is cited by
-
Bridging diabetes and cancer: harnessing biomarkers as dual sentinels for diagnosis, prognosis, and therapeutic advancements
Naunyn-Schmiedeberg's Archives of Pharmacology (2025)





