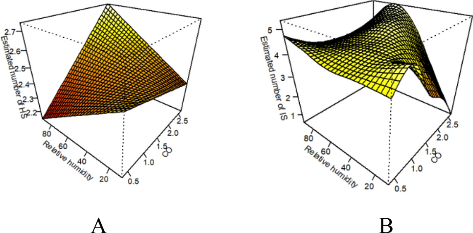
Figure 5

3D plot of the effect of ambient CO versus relative humidity on stroke.(A is a 3D plot of the effect of CO and relative humidity on hemorrhagic stroke. B is a 3D plot of the effect of CO and relative humidity on ischemic stroke.)

3D plot of the effect of ambient CO versus relative humidity on stroke.(A is a 3D plot of the effect of CO and relative humidity on hemorrhagic stroke. B is a 3D plot of the effect of CO and relative humidity on ischemic stroke.)