Figure 9

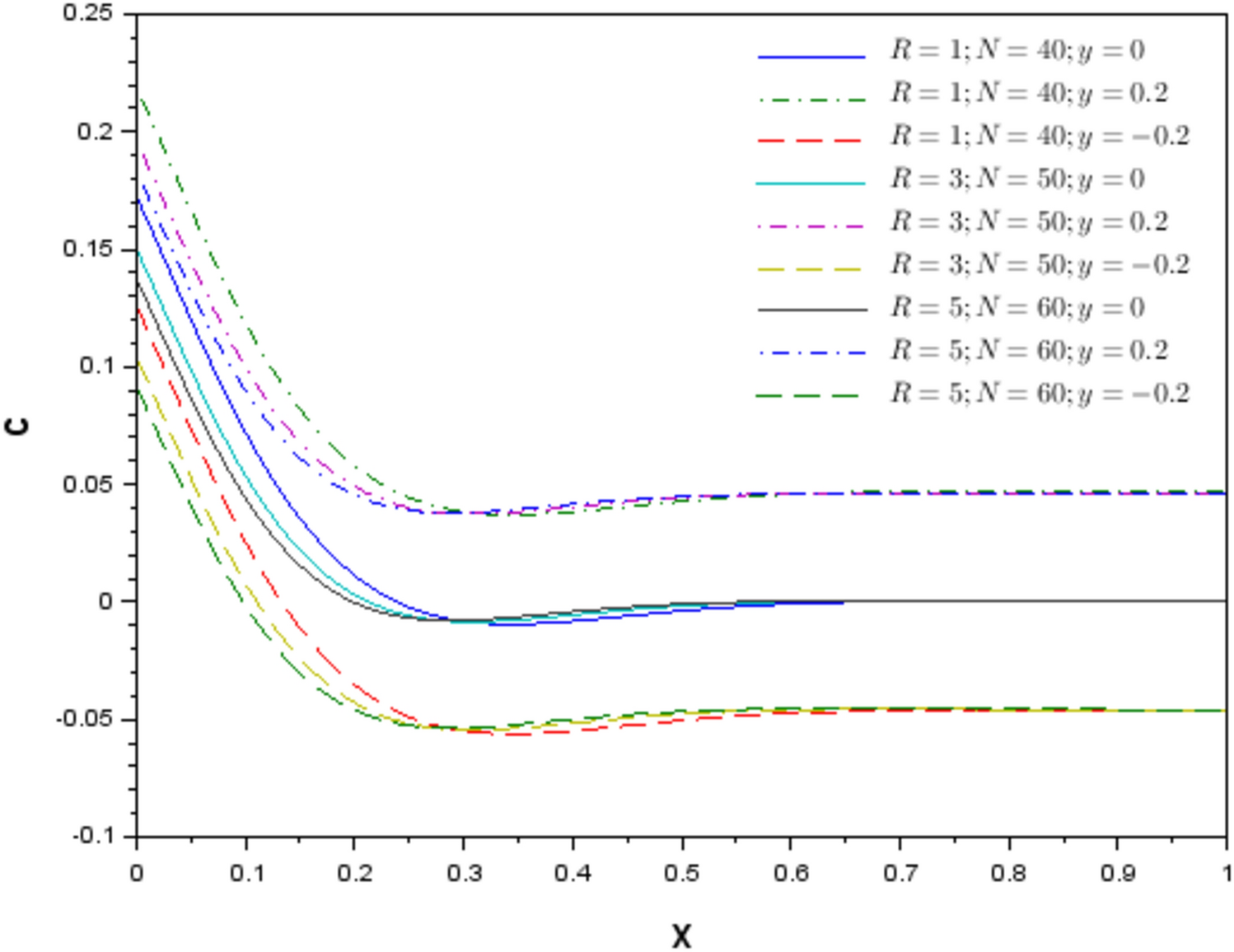
Concentration profiles at \(\varnothing ={120}^\circ\) and for different values of \(R\) and N at the level \(y=0, \pm 0.2\).

Concentration profiles at \(\varnothing ={120}^\circ\) and for different values of \(R\) and N at the level \(y=0, \pm 0.2\).