Abstract
The current analytical study is dedicated to the boundary layer regime where heat and mass transfer rates are ruled by natural convection. A rectangular enclosure filled with a combination of an arbitrary buoyancy ratio has an Oseen-linear solution, and the position of Beavers and Joseph's condition is employed at the porous fluid interface. Thermal radiation's interaction with a porous lining influences overall heat transfer in a system. Porous linings and radiation are employed in many applications, such as furnaces, insulation, heat exchangers, solar energy collecting and storage, and heat control in electronics. The effect of slip and radiation is to increase the flow rate because of the reduction in friction at the surface. It indicates the fact that temperature and concentration are rapidly lowering. As the slip parameter and radiation parameter increase, the heat and mass transport increase due to the rise in velocity. The Nusselt and Sherwood numbers reach their maximum when the radiation parameter, Rayleigh number, and slip parameter are increased. The findings of the Nusslet number and Sherwood numbers are related to the finite situations of the slip parameter tending to infinity, the radiation parameter going to zero and the angle 90°.
Similar content being viewed by others
Introduction
The radiative mass and heat transfer in fluid streams play an important role in developing solid hardware, thermal energy stations, gas turbines, automobiles, and other invaluable astrophysical investigations. Contemporary design inquiries like the transportation of toxins through structures, shallow waterways and aloof planetary group parts with convection during crystal development necessitate a critical examination of the combined mass and heat transmission process influenced by that transition class. Because of changes in surface orientations and viewing parameters, the inclination can impact how heat is transmitted within the cavity. Trevisan and Bejan1 studied the phenomena of natural convection instigated by coupled concentration and temperature buoyancy effects in a rectangular slit with homogeneous mass and heat fluxes laterally on the vertical sides. Kopp and Yanovsky2 used the stretching sheet model to examine the induced flow of a ternary hybrid nanofluid in a permeable medium under the impact of thermal radiation and heat absorption. The theoretical study of ternary hybrid nanoparticles on two-dimensional blood flow along an angled catheterized artery with many stenoses and wall slides was investigated by Dolui et al.3. Dharmaiah et al.4 studied the effects of non-linear thermal radiation, Brownian motion and thermophoresis on a magnetohydrodynamic (MHD) flow through a wedge with dissipative impacts for Jeffrey fluid. Kumar et al.5 examined the flow and heat transfer in a Casson nanofluid via an exponentially extending surface with the influence of thermophoresis, thermal radiation and Brownian motion. The consequence of MHD on the nanofluid flow via a stretchable sheet was examined by Hamid et al.6. In the presence of an MHD, the performance of a rough slider bearing coated with fluid was elaborated by Cyriac et al.7. Raja et al.8 scrutinized the effect of MHD on the nanoliquid flow across a thick surface. Wang et al.9 explored the impact of radiation on the fluid stream across a stretchable surface. Oke et al.10 inspected the flow of nanoliquid past a stretchy sheet with the influence of radiation. The thermal analysis in a dovetail fin with the influence of thermal radiation (TR) was delineated by Nimmy et al.11. The heat transport attributes of the wavy extended surface along with the impact of TR were explored by Prakash et al.12. Karthik et al.13 probed the consequence of radiation on the T-NF stream via a wedge. Adnan et al.14 developed a nanofluid model employing \(\text{ZnO}-\text{SAE}50\) nanolubricant under the further impacts of solar thermal radiation, magnetic fields, and resistive heating.
The flow of fluids via a rectangular cavity is a frequent and significant case in fluid dynamics. It has applications in various domains, including civil engineering, aerodynamics and environmental research. When a fluid is allowed to flow through a rectangular hollow or an open channel, the fluid is subjected to several complicated interactions that might result in behaviours that are sometimes unexpectedly intriguing. In a tilted, tall rectangular enclosure with even mass flow and heat flux along the perpendicular sides, the normal convection that is induced by the joint impact concentration and temperature buoyancy with or without a porous lining is examined analytically by Jawali and Rekha15,16. Rekha and Jawali17 analytically validated that the boundary layer thickness must be constant (independent of altitude) in the boundary layer regime. For a tall rectangular enclosure occupied with the combination denoted by a \(\text{Le}=1\) and arbitrary buoyancy ratios, an Oseen-linearized solution exists. The commonly used technique described in the Zhang et al.18 article regarding adding fins to Latent heat thermal energy storage (LHTES) systems to increase efficiency. To determine linear integer arithmetic (LIA), Li et al.19 analyzed both field and distant sensing techniques. The effects of the heated rectangular cylinder's aspect ratio, Rayleigh number, and inclination angle on the properties of heat transmission and liquid flow brought on by normal convection in the air about heated rectangular cylinders of various sizes privileged a cold square field. At the same time, the boundaries of the rectangular cylinder at a constant hot temperature were explored by Olayemi et al.20. The Galerkin finite element method was used to resolve the constructed model. Manna et al.21 conducted a theoretical study on nanofluid flow with mixed convection in a W-shaped porous system. The stream of nanoliquid across a permeable disk using a neural network scheme was investigated by Srilatha et al.22.
For better novelty, an inclined magnetic field is considered in this study. The transmission of heat due to a fluid's motion, whether a liquid or a gas, is referred to as convective heat transport. This process is an essential part of fluid dynamics and thermodynamics. It is an essential component in a wide variety of natural and artificial systems, as it helps to regulate temperature and facilitate the movement of energy. The convective heat transfer of a Cu/water nanofluid was studied by Alqaed et al.23. The convection nanofluid stream past a surface was examined by Gowda et al.24,25. The enclosure features three protected walls and a low-temperature moveable wall (top wall). A transient numerical simulation is used in the work by Kim and Yeom26 to examine the effects of a piezoelectric fan operating under various circumstances and positions on the convection heat transmission of a heated apparent in an airflow station. The convection significance on the nanofluid flow across an inclined plate was examined by Raza et al.27. Jagadeesha et al.28 inspected the convection heat transport in an annular extended surface with variable thermal attributes. Using the neural network approach, Hussain et al.29 probed the influence of mixed convection on fluid flow past a cylinder. Majeed et al.30 used a higher-order Finite Element method to simulate the standard represented by coupled non-linear partial differential equations without an analytical solution. Tayebi et al.31 investigated the numerical analysis of magneto convection generated by double-diffusion of a nanofluid within a cavity fitted with a crimped porous cylinder using the finite volume approach. The fin energy model with form features is the subject of Adnan et al.32. The effects of viscid dissipative nanofluid flow through a perpendicular cone with iso-thermal surface concentration and temperature are deliberated by Ragulkumar et al.33 using a finite difference method. The convection flow of nanofluid via a moving needle was examined by Song et al.34. The influence of activation energy on the convection stream of nanofluid past a stretchy surface was inspected by Shi et al.35. Sowmya et al.36 explored the significance of convection on the thermal dispersal of the fin using the collocation approach.
In fluid dynamics, double diffusion is an interesting and complicated phenomenon. The co-diffusion characterizes it as a fluid of heat and mass, which results in complex patterns and behaviours. Due to the interaction of many different components, understanding double diffusion is a challenging effort. Researchers use various methods to investigate this phenomenon and its repercussions in various contexts, including mathematical models, laboratory tests, and numerical simulations. Islam et al.37 studied the boundary layer flow of nanofluids in an unstable double-diffusive variable convection flow across an erect area near an inertia point movement using the Keller-Box method. Nandeppanavar et al.38 examined how the nonlinear thermal radiation and convective boundary limitations affect the mass and heat transmission of a permitted convective Casson fluid inertia point stream across a moving vertical plate. The effects of a stretched convectively heated surface on radiative and reactive Prandtl nanofluid cross-diffusion are examined by Patil et al.39. Quantitative research on the effects of double-diffusive nonlinear free convective flow of liquids flowing over different surfaces was swotted by Mandal et al.40,41. Biswas et al.42 aims to explore the mixed thermo-bioconvection of magnetically susceptible fluid containing copper nanoparticles and oxytactic bacteria in a novel W-shaped porous cavity. Chatterjee et al.43 aimed at understanding the positional effect of discrete heaters and coolers on a cylindrical thermal system.
The current work systematically emphasizes mass and heat exchange in a slanted long rectangular cavity by using thermal radiation, where the walls on two sides are unbending and likely to uniform mass and heat stream, and the lower and upper limits of the cavity are insulating and impermeable. The synchronous mass and heat exchange impacts are proved to characterize a uniform stream (\(q^{\prime\prime},\,j^{\prime\prime}\)), as predicted by the overall engineering purpose of this review. This study will look at an analytical process that uses the Oseen linearization approach and boundary layer calculation. These scientific arrangements are suitable for determining mass and heat exchange in this slanted cavity and showing movement and temperature dispersion nuances. It is useful for successfully protecting many reactors, such as thermal, atomic, and compound. The primary goal of this work was to close a research gap by performing heat and mass transport analyses by applying thermal radiation.
Mathematical formulation
The physical formation well–thought in this investigation consists of a liquid of width \(\text{L}\) and height \(\text{H}\) located in an inclined long rectangular cavity (Fig. 1). The two-dimensional enclosure of the lower and upper walls is insulating and impermeable, while the inclined walls are covered by uniform distribution of mass flux \(\text{j}^{\prime\prime}\) and heat flux \(\text{q}^{\prime\prime}\) by applying thermal radiation. This assumption has several advantages in certain thermodynamic and fluid dynamics analyses. Here are some of the advantages: such as isolation from external heat transfer, simplified mathematical models, focus on internal processes conservation of energy, idealization of certain physical systems, facilitation of certain calculations and study of reversible process.
Schematic illustration of an inclined rectangular enclosure filled with fluid and subjected to heat and mass transfer from the side bounded by porous lining and by applying thermal radiation.
Assumptions and conditions
The following are the conditions and assumptions of the current model (see refs. Jawali et al.16, Trevisan and Bejan1).
-
Two-dimensional inclined rectangular with impermeable and adiabatic bottom and top walls.
-
Uniform distribution of heat and mass flux by thermal radiation on the inclined walls
-
The dual analyses presented in this segment are boundary layer analyses.
-
The Boussinesq-incompressible fluid model (Trevisan and Bejan1).
-
Ossen-Linearized Solution
-
Beavers and Joseph (BJ) Slip Parameter
-
Constant width of the boundary layer
-
A stratified and stationary core region
-
Rosseland approximation
Boundary conditions
-
The boundary conditions which must be satisfied by the temperature \({T}^{*}\) within the fluid are:
-
That the temperature takes on the imposed values \({T}^{*} = {T}_{a}\) and \({T}^{*} = {T}_{b}\) on the two inclined walls, \({x}^{*}= 0\) and \({x}^{*}= L\) respectively.
-
That there is no transfer of heat across the horizontal boundaries; that is, \(\frac{\partial {T}^{*}}{\partial {y}^{*}} = 0\) on \({y}^{*}=\pm \frac{H}{2}\) .
-
The boundary conditions on \({\psi }^{*}\) and \({T}^{*}\) are
-
\({\psi }^{*}=\frac{\partial {\psi }^{*}}{\partial {x}^{*}}=0\), \({T}^{*} = {T}_{a}\), on \({x}^{*}= 0\)
-
\({\psi }^{*}=\frac{\partial {\psi }^{*}}{\partial {x}^{*}}=0\), \({T}^{*} = {T}_{b}\), on \({x}^{*}= L\)
-
\({\psi }^{*}=\frac{\partial {\psi }^{*}}{\partial {y}^{*}}=\frac{\partial {T}^{*}}{\partial {y}^{*}}=0\), on \({y}^{*}=\pm \frac{H}{2}\)
Model equation
The radiative heat flux term is simplified using the Rosseland approximation is specified by \({q}_{r}=-\frac{4{\sigma }_{0}}{3{k}^{*}}\frac{\partial {T}^{4}}{\partial x}\), where \({k}^{*}\) is the absorption coefficient and \({\sigma }_{0}\) is the Stefan–Boltzman constant. \({T}^{4}\) may be linearly extended in Taylor’s series about ambient temperature, \({T}_{1}\) to get \({T}^{4}=4{T}_{1}^{3}T-3{T}_{1}^{4}\). The governing equations are
where \(R=\frac{16{\sigma }_{0}{T}_{1}^{3}}{3{\alpha k}^{* }}\) is the radiation parameter. These conditions are additionally assessed by applying the Boussinesq–incompressible liquid model. The idleness terms ordinarily showing up on the LHS of condition (2) have been disregarded, dependent on the understanding that fluids have more than one Prandtl number.
Oseen–Linearized Solution
To solve (1)–(4) analytically, we make use of the following features by Trevisan and Bejan1. The resultant transformation would, therefore, have the following temperature and concentration fields, respectively:
Outside the boundary layer region, the velocity \(v\) as well as functions \(t\) and \(c\) satisfies the condition on the left wall
Subject to the transformation (5) & (6) of the governing Eqs. (2) to (4) yields,
On removing \(t\) and \(c\) between Eqs. (8)–(10) we get
with the notation
where \(n = \frac{{\beta_{c } b\alpha }}{\beta aD}\), is the buoyancy ratio. The results which fulfil the Eq. (11), at \(x = 0\), the no-slip boundary condition and Eq. (7) using BJ Condition: \(\frac{dv}{dx} = -Nv,\) where \(N = \frac{\alpha }{\sqrt k } H Ra^{{ - \frac{1}{5}}}\) is the slip parameter, is
The resultant terminologies for \(t(x)\) and \(c(x)\) are attained instantaneously by integrating Eqs. (9) and (10) by using (7). The consequential terms for \(t\left(x\right)\) and \(c\left(x\right)\) have \({D}_{1}\) as a factor, an unknown constant. Two different terminologies for \({D}_{1}\) are found by imperilling \(t\left(x\right)\) and \(c\left(x\right)\) to the transfer of heat and mass.
The outcomes of this exhaustive investigation can be summarized as:
where the (–) and ( +) signs differentiate between the boundary layer solutions on the RHS and LHS.
It was shown in (5), (6) that the perpendicular enthalpy flux at any y should be well steady by thermal diffusion down through the core with regard to the indivisible core gradients \(a\) and \(b\).
The Condition (19), which is conceptually similar to the overall (thermal and liquid flow) final state, is offered as an enhancement to the original Oseen-linearized solution, gives
The integral condition corresponding to nil net mass transference in the perpendicular direction
yields
The directly above study is a compacted formulation for the overall Sherwood number \((\overline{Sh })\) and overall Nusselt number \((\overline{Nu })\)
Where \(\Delta\) T is the temperature difference from one side to the other and \(\Delta\) C is the concentration difference from one side to the other. Recollecting the explanation of \(\gamma\), Eqs. (23) and (24) can be rephrased as.
where \({m}_{1}=(1+R)\left({\gamma }^{2}-{2}^\frac{3}{2}\gamma N+{N}^{2}\right){\left({2}^\frac{1}{2} \gamma -N\right)}^{7}{\left({2}^{- \frac{1}{2}} \gamma -N\right)}^{-9}\) and the Rayleigh number \(Ra = \frac{{g \beta q^{\prime\prime}H^{4} }}{{\alpha { } \nu k}}\) and \(R\) is the radiation parameter.
Valialidation
For the angle of inclination \(\emptyset = 90^\circ\) and the radiation parameter \(\text{R}=0\), Eq. (25) diminish to
which is the same as given by Trevisan and Bejan1.
For the radiation parameter \(\text{R}=0\), Eq. (25) diminish to
which is the same as given by Jawali et al.16.
For the radiation parameter \(\text{R}=0\), equations and the slip parameter \(N\to \infty ,\) (25) diminish to
which is the same as Jawali et al.15. Moreover, we have compared our results with published results in Table 1 and obtained a good agreement.
Results and discussions
An analytical analysis of natural convection in the presence of heat radiation in a rectangular cavity that is inclined and perpendicular to gravity is provided. There is an porous lining all around the cavity. The top and bottom walls are thermally insulated, while the two side walls are kept at constant mass and heat flux conditions. The non-dimensional parameters are the tilt angle \(\varnothing\), the Rayleigh number Ra, the Radiation parameter R, Slip parameter N and the aspect ratio H/L. In the present study, the computations are carried out for the \({30}^\circ-{150}^\circ\), Ra ranging from 10 to \(1{0}^{6}\), the slip parameter from \(\text{N}=40 \;\text{to}\; 60\), the radiation parameter from \(R=0\) to \(5\). Results are presented in tabular form and graphically to illustrate the effect of the angle of inclination, slip parameter and applied thermal radiation on the flow pattern and the thermal and concentration features. By calculating the average Sherwood and Nusselt numbers, the rate of heat and mass transmission is determined. The variations of the overall Sherwood number \(\overline{Sh }\) and Nusselt number \(\overline{Nu }\) with the angle of inclinations, radiation parameter and slip parameter are also shown.
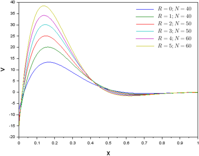
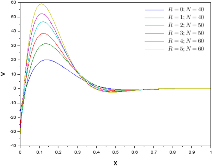
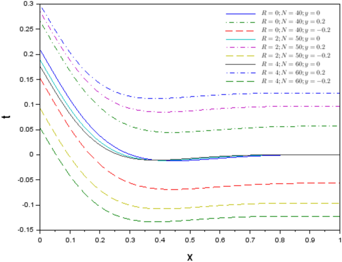
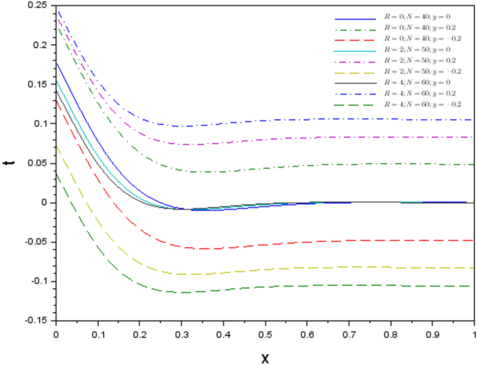
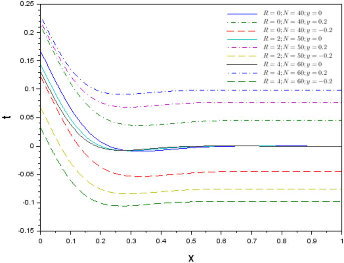
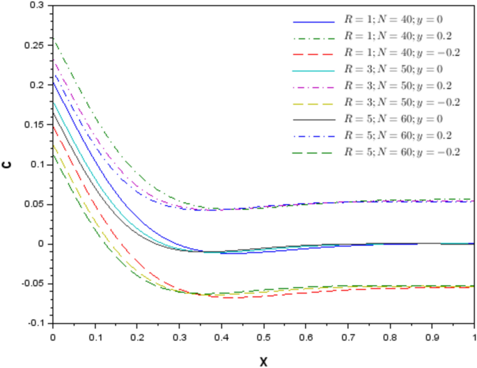
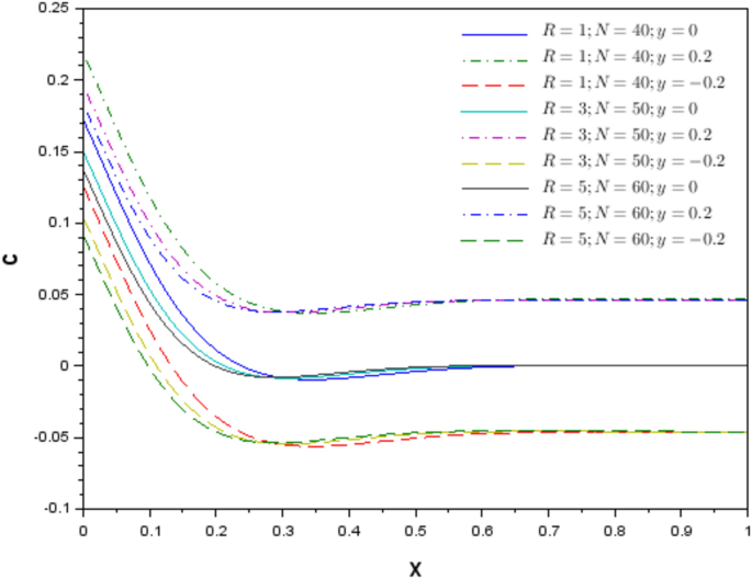
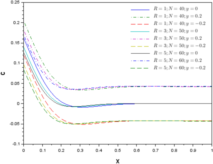
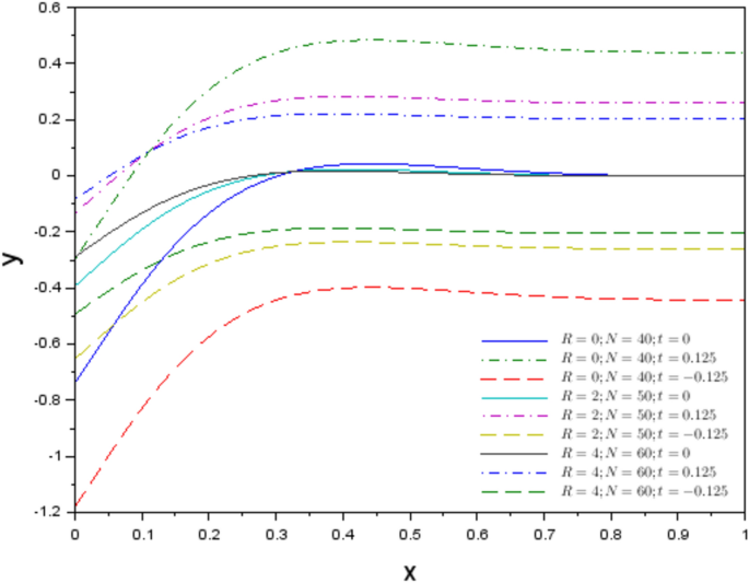
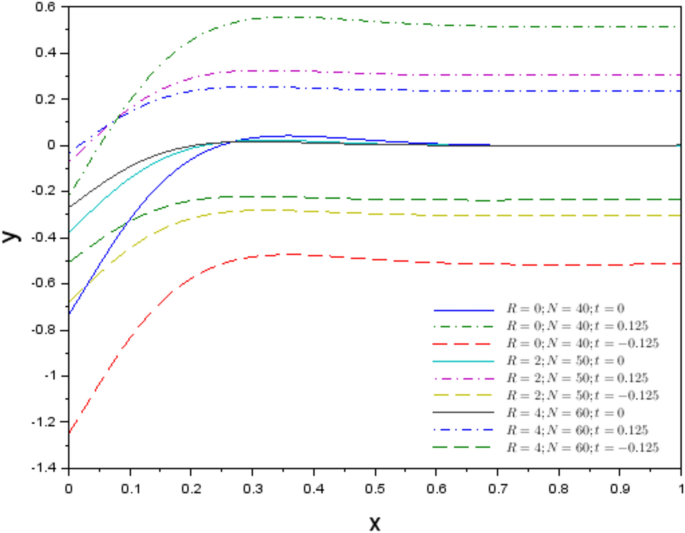
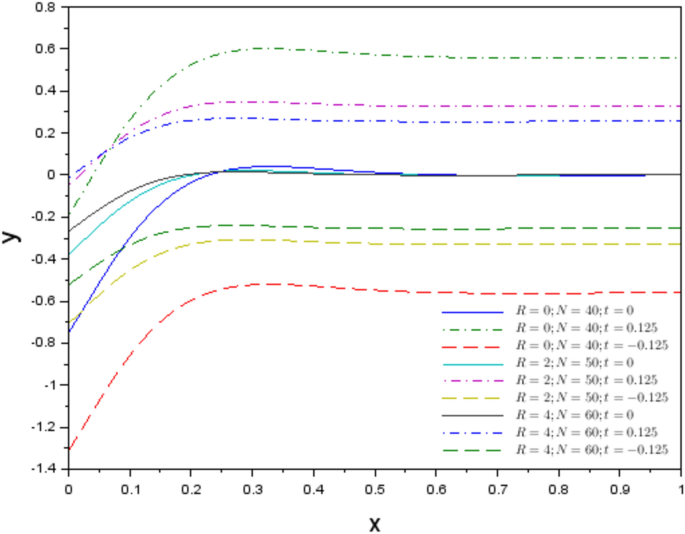
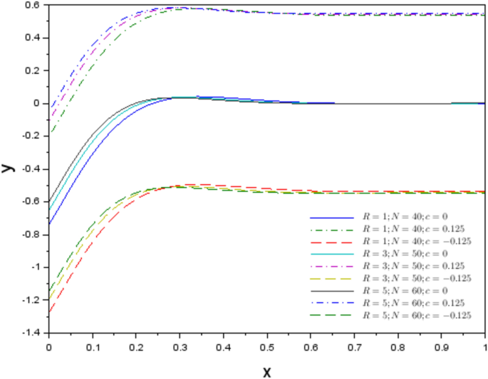
Figures 2, 3 and 4 shows the behaviour of non–dimension velocity verses the \(x\) for various values of \(n, N, R\) and ∅. The velocity increases with increasing values of \(n = 2 \;\text{to}\; 6 ,\) slip parameter (\(N = 40 \;\text{to}\; 60\)), inclined angles (\(\varnothing ={30}^\circ , {90}^\circ , {120}^\circ\)), and the radiation parameter \(R=0 \;\text{to}\; 5\). Thus, we conclude that the effect of slip and radiation is to increase the flow rate because of the surface's decreased friction. Slippage lowers the friction between the fluid and the boundary surface at the edges of a rectangular enclosure. Higher flow rates inside the enclosure result from the fluid particles close to the boundary being able to move more freely due to the decreased friction. Figures 5, 6 and 7 are plots of horizontal coordinates \(x\) versus non–dimensional temperature profiles at a different position (\(y=0, \pm 0.2)\) for several values of the tilt angle (\(\varnothing ={30}^\circ , {90}^\circ , {120}^\circ\)), slip parameter (\(N = 40 to 60\)), \(R=0 \;\text{to}\; 4\) and \(n = 2 \;\text{to}\; 6\). It shows how the temperature is dropping dramatically. As it approaches the core area, the temperature stabilises at that point. A straight vertical stratification was seen in the temperature field at the internal core. This is a defining feature of the Oseen linearized solution. Figures 8, 9 and 10 are plots of horizontal coordinates \(x\) versus non–dimensional concentration profiles at different positions (\(y=0, \pm 0.2)\) for various values of tilt angle (\(\varnothing ={30}^\circ , {90}^\circ , {120}^\circ\)), slip parameter (\(N = 40 to 60\)), \(R=1 to 5,\) and \(n = -3 \;\text{to}\;-7\). It illustrates how the concentration is falling rapidly. As it approaches the core area, the concentration approaches a constant value. At the interior core, the concentration field revealed a linear vertical stratification. This is a defining feature of the Oseen linearized solution.
Velocity profiles at \(\varnothing ={30}^\circ\) and for different values of \(R\) and N when \(n=2\).
Velocity profiles at \(\varnothing ={120}^\circ\) and for different values of \(R\) and N when \(n=4\).
Velocity profiles at \(\varnothing ={90}^\circ\) and for different values of \(R\) and N when \(n=6\).
Temperature profiles at \(\varnothing ={30}^\circ\) and for different values of \(R\) and N at the level \(y=0, \pm 0.2\).
Temperature profiles at \(\varnothing ={120}^\circ\) and for different values of \(R\) and N at the level \(y=0, \pm 0.2\).
Temperature profiles at \(\varnothing ={90}^\circ\) and for different values of \(R\) and N at the level \(y=0, \pm 0.2\).
Concentration profiles at \(\varnothing ={30}^\circ\) and for different values of \(R\) and N at the level \(y=0, \pm 0.2\).
Concentration profiles at \(\varnothing ={120}^\circ\) and for different values of \(R\) and N at the level \(y=0, \pm 0.2\).
Concentration profiles at \(\varnothing ={90}^\circ\) and for different values of \(R\) and N at the level \(y=0, \pm 0.2\).
Figures 11, 12 and 13 show the isotherms for \(\varnothing ={30}^\circ , {90}^\circ , {120}^\circ\) and for different values of buoyancy ratio (\(n = 0 \;\text{to}\; 4\)), \(R=0 to 4,\) slip parameter (\(N = 40 to 60\)) respectively. As \(N\) and \(R\) increases, the temperature decreases because of the increase in velocity. Except for the very small thermal boundary layer close to the stiff plates, isotherms are parallel to the x-axis throughout most of the design. The thermal fields, in this case, are similar to those of a conductive dispersion. The boundary layer of thermal energy encloses the viscous boundary in these conditions. It establishes the boundary layer's thermal radiation near inclined walls, which is advantageous for regulating heat movement throughout the enclosure by stifling convection for all inclination points. Figures 14, 15 and 16 show isolines for \(\varnothing ={30}^\circ , {90}^\circ , {120}^\circ\) and for different values of negative buoyancy ratio (\(n = -3 \;\text{to}\;-7\)), \(R=1 to 5 ,\) slip parameter (\(N = 40 to 60\)) respectively. As \(N\) and \(R\) increases, the concentration decreases because of the increase in velocity. Except for the very small concentration boundary layer next to the stiff plates, the isohallines are parallel to the x-axis throughout the majority of the arrangement. The concentration fields in this case approximate a conductive distribution. Under these conditions, a concentration boundary layer encloses the viscous boundary. It finds that the boundary layer that exists close to the inclined walls is particularly beneficial to limit the transfer of mass across the enclosure by inhibiting convection, for all characteristic points in the thermal radiation.
Isotherms at \(\varnothing = {30}^\circ\).
Isotherms at \(\varnothing = 12{0}^\circ\).
Isotherms at \(\varnothing = {90}^\circ\).
Isohalines at \(\varnothing = {30}^\circ\).
Isohalines at \(\varnothing = {120}^\circ\).
Isohalines at \(\varnothing = {90}^\circ\).
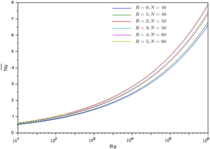
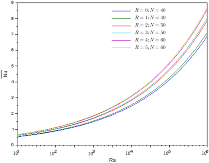
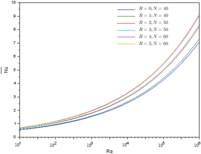
The Nusselt number \(\overline{Nu }\) along the inclined sides of the cavity is used to calculate the overall rate of heat transfer across it. Figures 17, 18, 19 and 23 give the variation of mean \(\overline{Nu }\) for various values of \(n= 0 \;\text{to}\; 4,\) \(\varnothing ={30}^\circ , {90}^\circ , {120}^\circ\), \(R=1 to 5,\) slip parameter (\(N = 40 to 60\)) and \(\text{Ra}={10}^{1}\text{ to }{10}^{6}\). As the slip parameter \(N\), and radiation parameter \(R\) increases, the Nusselt number increases because of the increase in the velocity. The region where the cavity is heated from the top is where most changes in heat transfer take place: \(\varnothing <\frac{\pi }{2}\). A scenario where the enclosure gets heated from the bottom arises when the inclination angle ∅ is extended beyond \(\frac{\pi }{2}\). The Nusselt number continues to increase with increasing \(\varnothing\) passes through a peak and then begins to decrease. The effect of heating the cavity from the top \(0< \varnothing <\frac{\pi }{2}\), the Nusselt number \(\overline{Nu }\) is seen to be large in comparison with that of the heating from the bottom \(\frac{\pi }{2}< \varnothing < \pi\). It is also notice that the effect of inclination angle, thermal radiation with slip parameter on \(\overline{Nu }\) is more pronounced as the Rayleigh number is increased. On increasing the Rayleigh number, the peak of the \(\overline{Nu }\) receipts place at lower inclination angle when the Rayleigh number, radiation parameter are increased. As \(n\) increases, it shows that the temperature effects are dominant. The analysis is capable of revealing the role played by BJ–slip at the interface. The effect of BJ–slip and thermal radiation is to rise the heat transfer rate. The value of Nusselt number increases with different Rayleigh number ranging from \({10}^{1} \;\text{to}\; {10}^{5}\), for radiation parameter \(R=0 \text{and} R=5\), Slip parameter \(N=40 \text{and} N=60\) and the inclination angle \(\varnothing ={30}^\circ , {90}^\circ , {120}^\circ\) are seen in Table 2 and The value of Nusselt number increases gradually increase from \({30}^\circ\) to \({90}^\circ\) and then its suddenly start decreasing from \(9{0}^\circ\) to \(18{0}^\circ\) when different radiation parameter ranging from \(R=0 \;\text{to}\; R=5\) and the inclination angle \(\varnothing ={30}^\circ \;\text{to}\; {180}^\circ\) in Table 4.
\(\overline{Nu }\) Vs Ra for different values of \(R\) and N when \(\varnothing = {30}^\circ\).
\(\overline{Nu }\) Vs Ra for different values of \(R\) and N when \(\varnothing = {120}^\circ\).
\(\overline{Nu }\) Vs Ra for different values of \(R\) and N when \(\varnothing = {90}^\circ\).
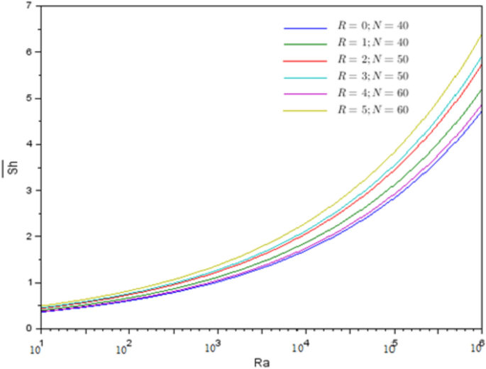
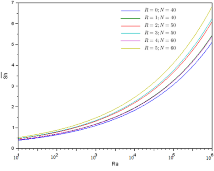
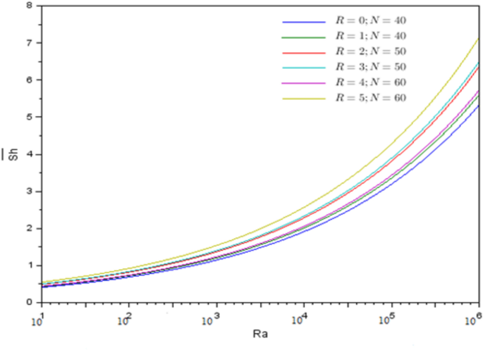
The total mass transfer rate across the cavity is obtained by calculating the \(\overline{Sh }\) along the inclined walls. Figures 20, 21, 22 and 24 give the variation of mean \(\overline{Sh }\) for various values of \(n= -3 \;\text{to}\;-7,\) \(\varnothing ={30}^\circ , {90}^\circ , {120}^\circ\), \(R=0 to 5,\) slip parameter (\(N = 40-60\)) and \(\text{Ra}={10}^{1}\text{ to }{10}^{6}\). As the slip parameter \(N\), and radiation parameter \(R\) increases, the Sherwood number increases because of the increase in the velocity. Most of the changes in the mass transfer occur in the range \(\varnothing <\frac{\pi }{2}\) where the cavity is heated form the top. As the inclination angle \(\varnothing\) is increased above \(\frac{\pi }{2}\), this yields a situation where in the enclosure is heated from the bottom. The Sherwood number continues to increase with increasing \(\varnothing\) passes through a peak and then begins to decrease. The effect of heating the cavity from the top \(0< \varnothing <\frac{\pi }{2}\), the Sherwood number \(\overline{Sh }\) is seen to be large in comparison with that of the heating from the bottom \(\frac{\pi }{2}< \varnothing < \pi\). It is also noticed that the effect of inclination angle, thermal radiation with slip parameter on Sherwood number \(\overline{Sh }\) is more pronounced as the Rayleigh number is increased. On increasing the Rayleigh number, the peak of the \(\overline{Sh }\) takes place at a lower inclination angle when the Rayleigh number and radiation parameter is increased. As \(n\) increases, it shows that the concentration effects are dominant. The analysis can reveal the role played by BJ–slip at the interface. BJ–slip and thermal radiation's effect is to increase the mass transfer rate. The value of the Sherwood number increases with different Rayleigh number ranging from \({10}^{1} \;\text{to}\; {10}^{5}\), for radiation parameter \(R=0 \text{and} R=5\), Slip parameter \(N=40 \text{and} N=60\) and the inclination angle \(\emptyset = 30^\circ ,\;90^\circ ,\;120^\circ\) are seen in Tables 3 and 4. The value of the Sherwood number increases gradually from \({0}^\circ\) to \({90}^\circ\) and then its suddenly starts decreasing from \(9{0}^\circ\) to \(18{0}^\circ\) when different radiation parameter ranging from \(R=0 \;\text{to}\; R=5\) and the inclination angle \(\varnothing ={0}^\circ \;\text{to}\; {180}^\circ\) in Table 5 (see Figs. 23 and 24).
\(\overline{Sh }\) Vs Ra for different values of \(R\) and N when \(\varnothing = {30}^\circ\).
\(\overline{Sh }\) Vs Ra for different values of \(R\) and N when \(\varnothing = {120}^\circ\).
\(\overline{Sh }\) Vs Ra for different values of \(R\) and N when \(\varnothing = {90}^\circ\).
\(\overline{Nu }\) Vs \(\varnothing\) for different values of \(R\) and Ra.
\(\overline{Sh }\) Vs \(\varnothing\) for different values of \(R\) and Ra.
Conclusion
In this work, analytical techniques for estimating the double-diffusive convection driven by concentration and temperature gradients in an inclined rectangular cavity bounded by porous lining by applying thermal radiation is explored. The study focused on the boundary layer domain, where heat and mass transfer rates are faster than predicted by pure diffusion. It effectively demonstrated the role of dimensionless groups like the buoyancy ratio and Rayleigh number in closed form. The major conclusions drawn are as follows:
-
The effect of slip and radiation is to increase the flow rate because of the reduction in friction at the surface.
-
The velocity increases as the Rayleigh number increases. The temperature and concentration field in the inner core showed a linear vertical stratification. This is a characteristic of the Oseen-linearized solution.
-
As the slip and radiation parameters increase, the temperature and concentration decreases. Thermal radiation considerably influences the boundary layers near the vertical walls that suppress convection to control the cavity of heat and mass movement.
-
The consequence of BJ–slip and thermal radiation is to raise the mass and heat transfer rate.
-
The Nusselt and Sherwood numbers reach their maximum when the Rayleigh number, radiation parameter and slip parameter are increased.
-
When the thermal radiation strength is high enough, the steady-state Nusslet and Sherwood numbers approach the conduction value from all angles.
The achieved solution for the proposed problem is obtained using the analytical technique, and these results hold good with earlier literatures with the limiting cases. This theoretical study highlights the effects of parameters on the two-dimensional flow phases. It is evident that the two-hybrid phase results in viscous fluids. This research could be expanded to include fluid flow models to identify the most effective among them in the future.
Data availability
The datasets used and/or analysed during the current study are available from the corresponding author on reasonable request.
Abbreviations
- \(a\) :
-
Core temperature gradient
- \(b\) :
-
Core concentration gradient
- \(c\left(x\right)\) :
-
Concentration boundary layer profile
- \(C\) :
-
Concentration of constituent
- \(\Delta C\) :
-
Average side-to-side concentration difference
- \({C}_{0}\) :
-
Core concentration
- \({c}_{p}\) :
-
Specific heat
- \(D\) :
-
Mass diffusivity of constituent through the fluid mixture
- \({D}_{1}\) :
-
Constant
- \(g\) :
-
Gravitational acceleration
- \(H\) :
-
Enclosure height
- \(j ^{\prime\prime}\) :
-
Mass flux from the side
- \(\text{t}(\text{x})\) :
-
Temperature boundary layer profile
- \({k}^{*}\) :
-
Absorption coefficient
- \(l\) :
-
Thermal boundary layer thickness
- \(L\) :
-
Enclosure thickness
- \(n\) :
-
Buoyancy ratio
- \(N\) :
-
\({\text{Slip parameter }} = { }\frac{\alpha }{\sqrt k }{ }H{ }Ra^{{ - { }\frac{1}{5}}}\)
- \(Nu\) :
-
Nusselt number
- \(P\) :
-
Pressure
- \(Pr\) :
-
Prandtl number
- \(\overrightarrow{q}\) :
-
Velocity vector
- \(\text{u},\text{ v l}\) :
-
Horizontal and vertical velocity components
- \(Ra\) :
-
Rayleigh number \(g\beta q^{\prime\prime}H4/ (\alpha \nu k)\)
- \(R{e}_{x}\) :
-
Reynold number
- \(R\) :
-
Radiation parameter
- \(\text{Sh}\) :
-
Sherwood number
- \(k\) :
-
Thermal conductivity
- \(\text{T}\) :
-
Temperature
- \({T}_{0}\) :
-
Core temperature
- \(\Delta \text{T}\) :
-
Average side-to-side temperature difference
- \(q^{\prime\prime}\) :
-
Heat flux from the side
- \(\nu\) :
-
Kinematic viscosity
- \(\alpha\) :
-
Thermal diffusivity
- \(\beta\) :
-
Thermal expansion coefficient
- \({\beta }_{c}\) :
-
Coefficient of concentration expansion
- \(\gamma\) :
-
\(\left\{ {g\beta a\left( {\frac{1}{1 + R} + n} \right)\frac{sin\emptyset }{{\nu \alpha }}} \right\}^{1/4} = {\text{ parameter}}\)
- \(\text{x},\text{ y}\) :
-
Horizontal and vertical coordinates
- \({\mu }_{f}\) :
-
Viscosity of the fluid
- \({\rho }_{0}\) :
-
Reference density
- \(\psi\) :
-
Stream function
- \(\xi\) :
-
Vorticity function
- \({\sigma }_{0}\) :
-
Stefan-Boltzmann constant
- \(\emptyset\) :
-
Inclination angle
References
Trevisan, O. V. & Bejan, A. Combined heat and mass transfer by natural convection in a vertical enclosure. J. Heat Transf. 109, 104–112 (1987).
Kopp, M. & Yanovsky, V. MHD ternary hybrid nanofluid flow over a porous stretching sheet with various effects of Boussinesq and Rosseland approximations. Funct. Mater. 30, 243–254 (2023).
Dolui, S., Bhaumik, B. & De, S. Combined effect of induced magnetic field and thermal radiation on ternary hybrid nanofluid flow through an inclined catheterized artery with multiple stenosis. Chem. Phys. Lett. 811, 140209 (2023).
Dharmaiah, G., Mebarek-Oudina, F., Sreenivasa Kumar, M. & Chandra Kala, K. Nuclear reactor application on Jeffrey fluid flow with Falkner-skan factor, Brownian and thermophoresis, non linear thermal radiation impacts past a wedge. J. Indian Chem. Soc. 100, 100907 (2023).
Suresh Kumar, Y. et al. Numerical analysis of magnetohydrodynamics Casson nanofluid flow with activation energy, Hall current and thermal radiation. Sci. Rep. 13, 4021 (2023).
Hamid, A. et al. Impact of hall current and homogenous–heterogenous reactions on MHD flow of GO-MoS2/water (H2O)-ethylene glycol (C2H6O2) hybrid nanofluid past a vertical stretching surface. Waves Random Complex Med https://doi.org/10.1080/17455030.2021.1985746 (2021).
Cyriac, T. et al. Performance of rough secant slider bearing lubricated with couple stress fluid in the presence of magnetic field. Mod. Phys. Lett. B https://doi.org/10.1142/S0217984924501409 (2023).
Raja, M. A. Z. et al. Intelligent computing for the dynamics of entropy optimized nanofluidic system under impacts of MHD along thick surface. Int. J. Mod. Phys. B 35, 2150269 (2021).
Wang, Y. et al. A three-dimensional flow of an Oldroyd-B liquid with magnetic field and radiation effects: an application of thermophoretic particle deposition. Int. Commun. Heat Mass Transf. 134, 106007 (2022).
Oke, A. S. et al. Exploration of the effects of Coriolis force and thermal radiation on water-based hybrid nanofluid flow over an exponentially stretching plate. Sci. Rep. 12, 21733 (2022).
Nimmy, P. et al. Implication of radiation on the thermal behavior of a partially wetted dovetail fin using an artificial neural network. Case Stud. Thermal Eng. 51, 103552 (2023).
Prakash, S. B. et al. Investigation of the thermal analysis of a wavy fin with radiation impact: an application of extreme learning machine. Phys. Scr. 99, 015225 (2023).
Karthik, K. et al. Impacts of thermophoretic deposition and thermal radiation on heat and mass transfer analysis of ternary nanofluid flow across a wedge. Int. J. Modell. Simulat. https://doi.org/10.1080/02286203.2023.2298234 (2024).
Adnan, et al. Numerical study of thermal enhancement in ZnO-SAE50 nanolubricant over a spherical magnetized surface influenced by Newtonian heating and thermal radiation. Case Stud. Thermal Eng. 45, 102917 (2023).
Jawali, D. V. & Rekha, D. R. S. Double diffusive convection in an inclined rectangular cavity. IJMTT 53, 380–396 (2018).
Jawali, D. V. & Rekha, D. R. S. Double diffusive convection in an inclined rectangular cavity bounded by porous lining. Int. J. Math. Trends Technol. 53, 285–301 (2020).
Rekha, D. R. S. & Jawali, D. V. The boundary layer convection with uniform heat flux from the side walls of an inclined rectangular enclosure. Int. J. Eng. 7(3), 302–313 (2018).
Zhang, J., Cheng, Z., Zhou, Y., Lu, B. & Zhang, Y. Numerical study using lattice Boltzmann method on melting and solidification of NEPCM placed inside a rectangular cavity with a new double-fin arrangement. Appl. Thermal Eng. 219, 119619 (2023).
Li, S., Fang, H. & Zhang, Y. Determination of the leaf inclination angle (LIA) through field and remote sensing methods: Current status and future prospects. Remote Sens. 15, 946 (2023).
Olayemi, O. A. et al. Parametric study of natural convection heat transfer from an inclined rectangular cylinder embedded in a square enclosure. Aust. J. Mech. Eng. 21, 668–681 (2023).
Manna, N. K. et al. Impacts of heater-cooler position and Lorentz force on heat transfer and entropy generation of hybrid nanofluid convection in quarter-circular cavity. Int. J. Num. Methods Heat Fluid Flow 33, 1249–1286 (2023).
Srilatha, P. et al. Designing a solid–fluid interface layer and artificial neural network in a nanofluid flow due to rotating rough and porous disk. J. Therm. Anal. Calorim. 149, 867–878 (2024).
Alqaed, S., Mustafa, J., Almehmadi, F. A. & Sharifpur, M. Impact of cavity tilt angle and magnetic field on the entropy generation of Cu/water nanofluid in a rectangular cavity in the presence of several constant-temperature obstacles. Eng. Anal. Bound. Elements 150, 127–138 (2023).
Gowda, R. J. P., Mallikarjuna, H. B., Prasannakumara, B. C., Kumar, R. N. & Manjunatha, P. T. Dynamics of thermal Marangoni stagnation point flow in dusty Casson nanofluid. Int. J. Modell. Simulat. 42, 707–715 (2022).
Punith Gowda, R. J., Chandrappa Prasannakumara, B., Shehzad, S. A. & Sahar, F. Blasius and Sakiadis flow of titania-copper-water based hybrid nanofluid flow: An artificial neural network modeling. Scientia Iranica https://doi.org/10.24200/sci.2023.61937.7566 (2023).
Kim, K. & Yeom, T. Numerical study on channel-flow convection heat transfer enhancement with piezoelectric fans under various operating conditions. Appl. Therm. Eng. 219, 119674 (2023).
Raza, A. et al. Significance of free convection flow over an oscillating inclined plate induced by nanofluid with porous medium: The case of the prabhakar fractional approach. Micromachines 13, 2019 (2022).
Jagadeesha, K. C. et al. Physical significance of rectangular and hyperbolic annular fin with radiation, convection and nonlinear variable properties. Int. J. Mod. Phys. B 37, 2350029 (2023).
Hussain, S. M. et al. Artificial neural network modeling of mixed convection viscoelastic hybrid nanofluid across a circular cylinder with radiation effect: Case study. Case Stud. Therm. Eng. 50, 103487 (2023).
Majeed, A. H. et al. Heat and mass transfer characteristics in MHD Casson fluid flow over a cylinder in a wavy channel: Higher-order FEM computations. Case Stud. Therm. Eng. 42, 102730 (2023).
Tayebi, T. et al. Double-diffusive magneto-natural convection of nanofluid in an enclosure equipped with a wavy porous cylinder in the local thermal non-equilibrium situation. Case Stud. Therm. Eng. 43, 102785 (2023).
Adnan, et al. Numerical analysis of magneto-radiated annular fin natural-convective heat transfer performance using advanced ternary nanofluid considering shape factors with heating source. Case Stud. Therm. Eng. 44, 102825 (2023).
Ragulkumar, E., Sambath, P. & Chamkha, A. J. Natural convective dissipative different nanofluid flow past a vertical cone with heat and mass transfer. Waves Random Complex Med. https://doi.org/10.1080/17455030.2023.2226225 (2023).
Song, Y.-Q. et al. Solar energy aspects of gyrotactic mixed bioconvection flow of nanofluid past a vertical thin moving needle influenced by variable Prandtl number. Chaos Soli. Fract. 151, 111244 (2021).
Shi, Q.-H. et al. Numerical study of bio-convection flow of magneto-cross nanofluid containing gyrotactic microorganisms with activation energy. Sci. Rep. 11, 16030 (2021).
Sowmya, G. et al. Significance of convection and internal heat generation on the thermal distribution of a porous dovetail fin with radiative heat transfer by spectral collocation method. Micromachines 13, 1336 (2022).
Islam, A., Mahmood, Z. & Khan, U. Double-diffusive stagnation point flow over a vertical surface with thermal radiation: Assisting and opposing flows. Sci. Progr. 106, 00368504221149798 (2023).
Nandeppanavar, M. M., Kemparaju, M. C. & Raveendra, N. Effect of non-linear thermal radiation on the stagnation point flow of double diffusive free convection due to movingvertical plate. J. Eng. Design Technol. 21(1), 150–166. https://doi.org/10.1108/JEDT-10-2020-0430 (2021).
Patil, A. B., Patil, V. S., Humane, P. P., Shamshuddin, M. D. & Jadhav, M. A. Double diffusive time-dependent MHD Prandtl nanofluid flow due to linear stretching sheet with convective boundary conditions. Int. J. Modell. Simulat. 43(1), 34–48. https://doi.org/10.1080/02286203.2022.2033499 (2023).
Mandal, D. K., Biswas, N., Manna, N. K., Gorla, R. S. R. & Chamkha, A. J. Hybrid nanofluid magnetohydrodynamic mixed convection in a novel W-shaped porous system. Int. J. Num. Methods Heat Fluid Flow 33, 510–544 (2023).
Mandal, D. K. et al. Thermo-fluidic transport process in a novel M-shaped cavity packed with non-Darcian porous medium and hybrid nanofluid: Application of artificial neural network (ANN). Phys. Fluids https://doi.org/10.1063/5.0082942 (2022).
Biswas, N., Mandal, D. K., Manna, N. K. & Benim, A. C. Magneto-hydrothermal triple-convection in a W-shaped porous cavity containing oxytactic bacteria. Sci. Rep. 12, 18053 (2022).
Chatterjee, D., Biswas, N., Manna, N. K. & Sarkar, S. Effect of discrete heating-cooling on magneto-thermal-hybrid nanofluidic convection in cylindrical system. Int. J. Mech. Sci. 238, 107852 (2023).
Khezzar, L., Siginer, D. & Vinogradov, I. Natural convection in inclined two dimensional rectangular cavities. Heat Mass Transf. 48, 227–239 (2012).
Acknowledgements
This project was supported by Researchers Supporting Project number (RSP2024R411), King Saud University, Riyadh, Saudi Arabia. This work was supported by the Technology Innovation Program (20018869, Development of Waste Heat and Waste Cold Recovery Bus Air-conditioning System to Reduce Heating and Cooling Load by 10%) funded By the Ministry of Trade, Industry & Energy(MOTIE, Korea).
Author information
Authors and Affiliations
Contributions
D.R.S.; V.J.; R.N.K.; M.B.T.: Conceptualization, Methodology, Software, Formal analysis, Validation; Writing—original draft. V.J.; R.N.K.; N.A.S.; J.D.C.: Writing–original draft, Data curation, Investigation, Visualization, Validation. P.S.V.; A.V.; G.V.: Conceptualization, Writing–original draft, Writing–review & editing, Supervision, Resources. A.V.: Validation, Investigation, Writing–review & editing, Formal analysis; Project administration; Funding acquisition. D.R.S.; M.A.; J.D.C.; M.B.T.; D.R.S.: Writing–review & editing, software; Data curation, Validation, Resources and provided significant feedback and assisted in the revised version of the manuscript. Further, they have also supported in revising the manuscript critically for important intellectuals.
Corresponding author
Ethics declarations
Competing interests
The authors declare no competing interests.
Additional information
Publisher's note
Springer Nature remains neutral with regard to jurisdictional claims in published maps and institutional affiliations.
Rights and permissions
Open Access This article is licensed under a Creative Commons Attribution-NonCommercial-NoDerivatives 4.0 International License, which permits any non-commercial use, sharing, distribution and reproduction in any medium or format, as long as you give appropriate credit to the original author(s) and the source, provide a link to the Creative Commons licence, and indicate if you modified the licensed material. You do not have permission under this licence to share adapted material derived from this article or parts of it. The images or other third party material in this article are included in the article’s Creative Commons licence, unless indicated otherwise in a credit line to the material. If material is not included in the article’s Creative Commons licence and your intended use is not permitted by statutory regulation or exceeds the permitted use, you will need to obtain permission directly from the copyright holder. To view a copy of this licence, visit http://creativecommons.org/licenses/by-nc-nd/4.0/.
About this article
Cite this article
Sasi Rekha, D.R., Jawali, V., Alshehri, M. et al. The analytical study of double diffusive convection in a rectangular enclosure bounded by porous lining with thermal radiation. Sci Rep 14, 17095 (2024). https://doi.org/10.1038/s41598-024-67998-4
Received:
Accepted:
Published:
Version of record:
DOI: https://doi.org/10.1038/s41598-024-67998-4
Keywords
This article is cited by
-
Effects of Temperature-Dependent Viscosity on Double-Diffusive Convection in a Fluid Layer
International Journal of Applied and Computational Mathematics (2025)
-
Physics-informed neural network approach to analyze the onset of oscillatory and stationary convections in chemically triggered Navier-Stokes-Voigt fluid layer heated and salted from below
Applied Mathematics and Mechanics (2025)


























