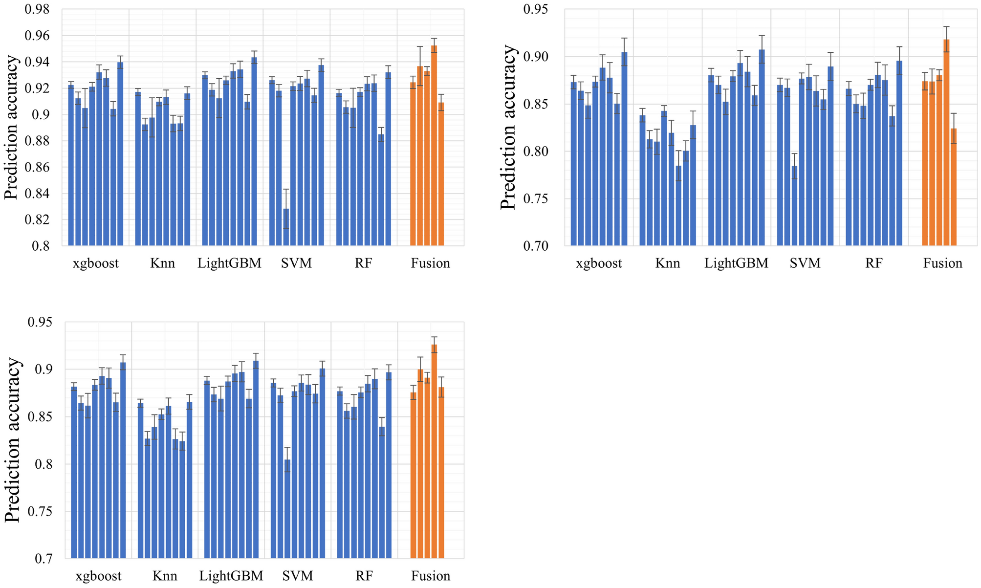
Figure 4
From: Hybrid framework for membrane protein type prediction based on the PSSM

Prediction performance of different feature extraction methods under different classifiers.
From: Hybrid framework for membrane protein type prediction based on the PSSM

Prediction performance of different feature extraction methods under different classifiers.