Abstract
This paper presents a novel design of a low-loss, reconfigurable broadband phase shifter based on groove gap waveguide (GGW) technology. The proposed phase shifter consists of a folded GGW and three bends with a few pins forming the GGW and one bend attached to a movable plate. This movable plate allows for adjustments to the folded waveguide length, consequently altering the phase of electromagnetic waves. The advantage of GGW technology is that it does not require electrical contact between different parts of a structure. Therefore, it enables the moving parts to slide freely without electromagnetic energy leakage, resulting in improved insertion loss in high-power applications. In addition, in the proposed design, the position of the input and output waveguide ports of the phase shifter remains fixed, which is advantageous from a practical point of view. As shown by measurement and simulation results, there is nearly 37% impedance bandwidth with the highest insertion loss of 0.6 dB, and the developed device has a maximum phase shift of 770° at the center frequency of 13 GHz. The phase shifter can be used for various radar and satellite applications that require phase control, such as beamforming networks and phased array antennas.
Similar content being viewed by others
Introduction
Phase control of electromagnetic waves is essential for radio frequency applications. Reconfigurable phase shifters are needed to control the phase of electromagnetic waves during the operation of microwave devices. These shifters have several applications in various microwave devices, such as phased array antennas, mode conversion circuits, and beamforming networks1,2. The phase can be altered mechanically or electronically. Mechanically and electronically tunable phase shifters have been compared in3. In short, electronically tunable phase shifters fabricated based on solid-state devices, PIN diodes, ferrite materials, and Faraday rotators offer very fast switching4,5,6,7,8,9,10,11. However, they face challenges due to their limited power-handling capability and high insertion loss. In contrast, mechanically tunable phase shifters are constrained primarily by their comparatively long switching time, rendering them unsuitable for rapid military or airborne operations. Nevertheless, the advantageous characteristics of mechanically based phase shifters, including low loss, wide-band performance, high linearity, and the ability to handle high-power, render them a promising option for a range of applications.
Beamforming systems are gaining popularity due to the increasing demand for portable and mobile communication links, radars, and satellite-on-the-move (SOTM) communication systems, highlighting the importance of reconfigurable phase shifters as a research topic12. Various technologies have been used to design reconfigurable phase shifters, including microstrip and substrate integrated waveguide (SIW) which are cost-effective and easy to manufacture but suffer from dielectric losses and low power handling13,14,15. High power can be handled by hollow waveguide phase shifters, which use mechanical movement or rotation of some metallic plates to achieve phase shift16,17,18,19,20. However, since achieving flawless contact between various components is crucial for hollow waveguides, any imperfections result in electromagnetic energy leakage in moving parts, leading to significant insertion loss.
Gap waveguide (GW) technology offers a novel solution to address the limitations of the previous technologies21. It has recently found extensive applications in antenna and microwave device design22,23,24,25,26,27. GW technology utilizes the bandgap due to a periodic pin structure for confining electromagnetic waves within the waveguide eliminating the need for electrical contact between various design components. This feature makes the GW particularly suitable for reconfigurable devices like phase shifters, allowing moving parts to operate freely without contact while confining the electromagnetic waves within the waveguide structure.
In recent years, several gap waveguide-based tunable phase shifters have been proposed28,29,30,31,32,33,34,35. However, many of these designs suffer from high insertion loss, complex construction, relatively low power handling, or the use of lossy materials to control the phase shift within a narrow frequency bandwidth. For instance28, and29 suggest two mechanically variable phase shifters based on thin dielectric and liquid crystals inserted in the waveguide to control the phase. However, due to the material loading, these structures have high insertion loss. Low insertion loss has been reported for mechanically tunable phase shifters based on changing the width of the groove gap waveguide (GGW)30 and31. For example, the design in31 achieved a 34.5% bandwidth with 0.6 dB insertion loss in the Ku-band. However, this design faces significant challenges in achieving high phase shift values with appropriate impedance matching across a wide single-mode bandwidth. Additionally, the phase shift in devices where the width is altered is a non-linear function of the GGW width. Furthermore, this solution requires a long GGW for high phase shift values.
These shortcomings can be overcome if the guiding length of the GGW, rather than the width, is adjusted to control the phase. An example of such a solution is a low-loss phase shifter with 19.7% bandwidth, reported in33. A drawback of this design is that it uses coaxial probes for the input and output ports, limiting the phase shifter’s power handling and scalability to higher mmWave bands. In34, a 90° phase shifter was developed for a frequency range from 33 to 43 GHz (26.3% bandwidth) with a maximum insertion loss of 0.7 dB. More recently, low-loss mechanically reconfigurable phase shifters at E-band based on GGW are discussed in35, with an insertion loss of about 0.4 dB and a frequency bandwidth of 19%. Despite all these efforts, the capability of gap waveguide technology in designing and implementing compact and high-power phase shifters that meet practical application requirements has not been fully exploited in the literature. In this contribution, we propose a new, simple, compact, and wide-band reconfigurable phase shifter based on GGW for Ku-band applications and high-power handling. Our phase shifter comprises GGW bends with movable pins that can change the waveguide length and, thus, the phase of the electromagnetic waves. As a result, the phase shift is a linear function of the adjustable length, which is advantageous from a practical point of view. In this aspect, our design resembles the phase shifter proposed in33. However, unlike in33, the input and output ports are designed as waveguides to overcome limitations associated with coaxial connectors, such as low power handling and difficulty scaling the design to high frequencies. Additionally, compared to33, the positions of the input and output waveguide ports remain fixed when the waveguide length is changed and can be paced in one plane, which are very desirable features from a practical viewpoint.
The structure of this paper is outlined as follows: Sect “GGW structure” explains the process for determining the dimensions of the groove gap waveguide structure. Sect “Non-planar and planar variants of reconfigurable phase shifters” explores the design of the phase shifter based on simulation findings. Finally, Sect “Fabrication and measurement” presents the fabricated device along with the measured results.
GGW structure
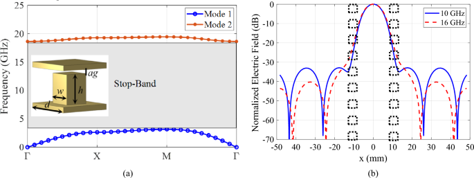
Figure 1a illustrates the geometry of periodic pins, along with the dimensions and the simulated dispersion diagram. In GW technology, a periodic arrangement of metallic pins is employed to create a perfect magnetic conductor (PMC) surface. Also, the bandgap is established by placing a metallic plate on top of it. The frequency range of the bandgap is determined by selecting appropriate dimensions for the pins. A guiding structure can be achieved by inserting a groove or ridge into the pin layer, and electromagnetic wave propagation can be controlled in the air gap between the layers. The main advantage of this technology is that it can realize hollow guiding structures without any physical contact between the top and bottom metallic layers.
The first step in the gap waveguide design is to select the period pin dimensions such that the bandgap covers the desirable frequency range. The pin dimensions in the proposed design are 4.5 × 4.5 × 7.8 mm3, the periodicity of pins is d = 10.25 mm and the GGW width is Wg = 16 mm. The bandgap of the bed of pins completely covers the desired frequency range from 10to 16 GHz. As depicted in in Fig. 1a, the bandgap is from 4 to 18 GHz. In order to evaluate leakage energy from the GGW with one row of pins as the side wall, the normalized electric field intensity in the GGWstructure is plotted in Fig. 1b. Observe that the leakage is less than − 30 dB by employing one row of pins in the desired frequency band of 10–16 GHz.
Non-planar and planar variants of reconfigurable phase shifters
The general schematic of the reconfigurable phase shifter is illustrated in Fig. 2a. The primary objective is to use standard rectangular waveguide ports for high power handling and design scalability to higher frequencies, while ensuring that the positions of the input and output waveguide ports remain fixed as the waveguide length is varied. Figure 2b presents the geometry of the proposed phase shifter. The proposed concept is simple as the device only consists of two sections of GGW placed in parallel and three bends. The main idea of the design is to use a folded GGW and make one of these bends movable to alter the waveguide length and thus introduce a phase change of the electromagnetic waves. In gap waveguide technology, there is no distinction between the pins connected to the top or bottom plates. More interestingly, some of them can be fixed on the top plate and others on the bottom one. In this respect, the blue pins in Fig. 2 are connected to the bottom plate, while the red ones are fixed to the top plate. Consequently, the position of the red pins can be altered by moving the top layer, while the blue ones remain stationary. The red pins split the region between the blue pins on the bottom plate forming two parallel GGWs, and create a bend leading to folded configuration. This arrangement enables adjustment of the length of the folded GGW section by sliding the top layer, thereby altering the guiding path of the electromagnetic waves. Thanks to the gap waveguide technology, there is no electromagnetic wave leakage while sliding the structure’s top plate. This leakage cannot be prevented in other technologies such as hollow waveguide, microstrip line, or SIW. For better clarity Fig. 2c, d depict the phase shifter in two limit states. In state A, the guiding length is in the minimum state, while state B is in the maximum. We can tune the phase difference by sliding the top layer in the mid-range.
In the remainder of this section, two variants of the design are proposed and discussed depending on whether the output and input ports of reconfigurable phase shifter should be on the same plane or on two opposite planes.
First variant—non-planar
As illustrated in Fig. 3, in the first proposed configuration the input and output ports are located at the bottom plate. This implies that the entire construction is nonplanar, as the feeding waveguides are placed along the axis perpendicular to movable plate. The design consists of two rectangular-to-gap waveguide transitions and GGW with adjustable length. To achieve wideband impedance matching between the GGW and the Ku-band rectangular waveguide two broadband GGW to standard WR-62 rectangular waveguide transitions are employed. The transitions involve two-section brick impedance transformers that are placed near the waveguide opening to achieve an appropriate impedance matching in the ports. By adjusting the width, height, and length of this part, as well as the position of matching pins near the corners, wide-band impedance matching is attained. As depicted in Fig. 3, the effective length of GGW between the input and output ports is modified by sliding the middle plate. This adjustment allows for managing the phase shift.
The optimization and simulation of the proposed structure are performed by employing the Trust Region Framework algorithm in CST Microwave Studio for finding the optimum values of the tuning parameters. The assumed error function to reach the desired input reflection and low insertion loss is as follows:
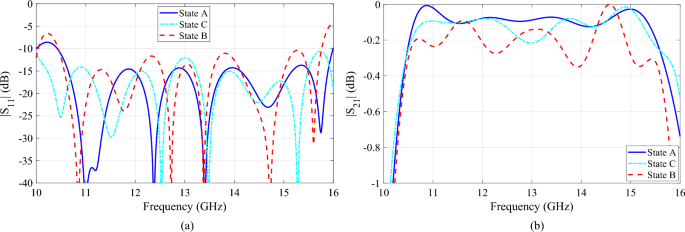
The optimum values in mm are lt1 = 6.37, lt2 = 7.26, wt1 = 7.84, wt2 = 0.31 ht = 1.08, wg1 = 16.00, wg2 = 14.44, wg3 = 16.00 and wg4 = 36.50. According to the proposed design, the maximum displacement of the middle layer to reach state A to B is about 35 mm. The simulation results for the scattering parameters of the proposed phase shifter in states A (ΔL = − 17.5 mm) and B (ΔL = + 17.5 mm) and a reference central state C (ΔL = 0) are displayed in Fig. 4. It is noteworthy that the input reflection coefficient is below − 10 dB over the frequency range from 10.4 to 15.7 GHz.
The resemblance between the groove gap waveguide and the conventional hollow rectangular waveguide has been discussed in detail in36. Based on that study, if the width of groove gap waveguide is appropriately chosen to allow the propagation of the TE10 dominant mode, the propagation constant is given by:
where c is the speed of electromagnetic wave in vacuum and Weff is the effective width of groove is given by
The phase shift (Δϕ) at frequency f is expressed as the phase difference between the current state and some reference state C, which can be expressed by the following equation:
According to Eq. (4), the phase shift is a linear function of the adjustable length which is a key feature from the practical point of view. It is important to note that the zero-phase reference is assumed when sliding plate is at state C. Figure 5 shows the phase variation of the reconfigurable phase shifter versus frequency and for different values of ΔL from − 17.5 to + 17.5 mm with steps of 2.5 mm. The phase variations occur relative to state C by sliding the middle layer. The maximum phase shift at the center frequency of 13 GHz is around 770° while the maximum achievable phase shift at 16 GHz is about 1100°.
Second variant—planar
Figure 6a exhibits the second proposed structure for the phase shifter. The overall structure of this design is similar to the previous one, except that the input and output ports are located on the opposite side walls of the phase shifter leading to a planar structure which is a benefit in constructing larger structures. Similar to the previous configuration, the phase shift of the electromagnetic waves is obtained by changing the waveguide length by moving the sliding plate. In configuration 1, the design ensures that wave leakage is not possible, as the input and output ports are placed on the bottom plate and completely surrounded by the pins. In the present case, there is a possibility of wave leakage from the contact edges of the sliding plate with the side walls of the structure. The wave leakage can be suppressed using GW technology. As illustrated in Fig. 6b, one row pins are placed on the edges of the sliding plate to prevent the wave leakage.
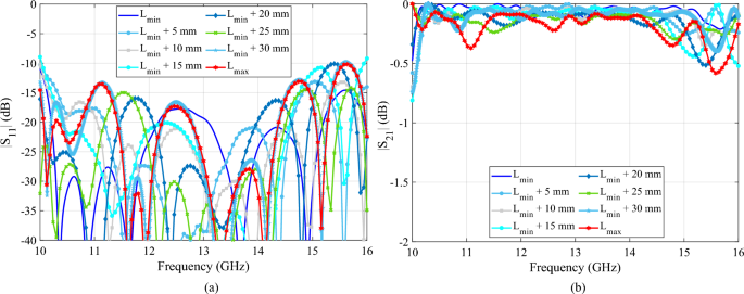
Figure 7 depicts the simulation results for the scattering parameters of the proposed phase shifter in different states. The input reflection coefficient is below − 10 dB and the insertion loss is less than 0.4 dB over the frequency range from 10.15 to 15.25 GHz. The phase variation of the reconfigurable phase shifter versus frequency and for different GGW length values is the same as the first configuration.
Figure 8a, b illustrate the simulated E-filed distributions for states A and B. The excellent operation of the phase shifter is obvious in these figures as there is no electromagnetic wave leakage for different position of the sliding plate. The power handling capacity of the proposed reconfigurable phase shifter can be determined by
where Ed is the air breakdown (3 MV/m), Emax is the simulated maximum electric field intensity inside the structure (6964 V/m) and Pexc is the of excitation wave (1 W). From this data it can be estimated that the phase shifter’s power handling capacity can reach up to 185.6 kW.
Fabrication and measurement
The concept and electromagnetic performance of the design is proved by fabricating the proposed reconfigurable phase shifter in the second configuration. It is worth mentioning that the second design is selected for prototyping due to its applicability in planar structures and to prove the leakage suppression by the edge pins. The prototype is made of aluminum by a standard CNC milling approach. The photographs of disassembled and under test fabricated phase shifter are displayed in Fig. 9. The size of the fabricated prototype including the screws and side support is 110 × 90 × 30 mm.
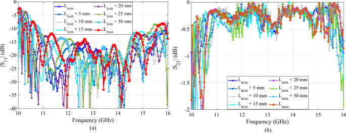
The assembled phase shifter is measured using the Agilent N5230A vector network analyzer. The simulated and measured S-parameters are compared in Fig. 10. The phase shifter’s measured reflection coefficient is below − 10 dB in the frequency range of 10.75–15.6 GHz for different states, representing a 37% frequency bandwidth. The maximum insertion loss is approximately 0.58 dB for all states. Some variations are observed at the beginning of the frequency band due to the measurement errors and cut-off frequency of WR-62 flanges. In order to ensure desired performance in different states, the measured |S11| and |S21| of the fabricated phase shifter for different states is depicted in Fig. 11. Furthermore, Fig. 12 illustrates the measured phase variation of the fabricated phase shifter for different states from A to B in 5 mm steps. As can be noticed, adjusting the middle plate alters the output phase, with a maximum phase shift reaching approximately 770º at 13 GHz.
Finally, the proposed reconfigurable phase shifter is evaluated by comparing its performance with those of various similar structures previously reported in the literature, as detailed in Table 1. To compare the size of the proposed structures, the required lengths for achieving a 360° phase shift are given in the last column (for the designs where tb the reported phase shift exceeds 360°). Please note that low loss tunable phase shifters based on changing the width of the groove gap waveguide reported31 is rather long. Also in the designs and in the solution reported in30, it is also challenging to achieve single-mode bandwidth, and the phase shift is a non-linear function of waveguide width. In summary, the comparison table highlights that the proposed phase shifter offers superior bandwidth, compact size, and maximum phase shift, with relatively low insertion loss, demonstrating the exceptional performance of the device. It should be noted that the maximum phase shift of 770° at the center frequency of 13 GHz corresponds to the fabricated sample and can be increased by extending the length of the structure, up to the limit based on maximum acceptable insertion loss. Other noteworthy features of this proposed design, which are very important from a practical point of view, include the fixed position of the input and output waveguide ports, that can be conveniently located in the same plane simplifying integration, along with the linear relationship between phase shift. Finally, the use of waveguide ports rather than coaxial probes implies that the design is scalable to higher mmWave bands and is capable of high power handling. These characteristics make the reconfigurable phase shifter well-suited for radar, satellite, and high-frequency applications.
Conclusion
The present study focuses on designing and fabricating a novel reconfigurable phase shifter utilizing GGW technology. The phase shifter has a simple structure and a low insertion loss, and it can control the phase of the EM waves by adjusting the waveguide length. The GGW technology allows the phase shifter to have no electrical contact between different parts of the structure, effectively eliminating the electromagnetic leakage problem and enhancing the design’s reliability and flexibility. Measurement results demonstrate that the proposed reconfigurable phase shifter achieves a 37% impedance bandwidth in Ku-band with a maximum insertion loss of 0.58 dB. This proposed phase shifter is well-suited for various high-power radar and satellite applications requiring precise phase control, including beamforming networks and phased array antennas.
Data availability
All data generated or analysed during this study are included in this published article.
References
Reed, R. H. Modified magic tee phase-shifter. Trans. IRE Prof. Gr. Antennas Propag. 1(1), 126–134 (1952).
Pozar, D. M. Microwave Engineering 4th edn. (Wiley, 2011).
Chakraborty, A. & Gupta, B. Paradigm phase shift: RF MEMS phase shifters: An overview. IEEE Microw. Mag. 18(1), 22–41 (2017).
Hord, W. E., Rosenbaum, F. J. & Benet, J. A. Theory and operation of a reciprocal Faraday-rotation phase shifter. IEEE Trans. Microw. Theory Tech. 20(2), 112–119 (1972).
Campbell, C. F. & Brown, S. A. A compact 5-bit phase-shifter MMIC for K-band satellite communication systems. IEEE Trans. Microw. Theory Tech. 48(12), 2652–2656 (2000).
Zhao, Z., Wang, X., Choi, K., Lugo, C. & Hunt, A. T. Ferroelectric phase shifters at 20 and 30 GHz. IEEE Trans. Microw. Theory Tech. 55(2), 430–437 (2007).
Yang, X. et al. Compact and low loss phase shifter with low bias field using partially magnetized ferrite. IEEE Trans. Magn. 49(7), 3882–3885 (2013).
Liu, W. J., Zheng, S. Y., Pan, Y. M., Li, Y. X. & Long, Y. L. A wideband tunable reflection-type phase shifter with wide relative phase shift. IEEE Trans. Circuits Syst. II Express Briefs 64(12), 1442–1446 (2017).
Trinh, K. T., Feng, J., Shehab, S. H. & Karmakar, N. C. 1.4 GHz low-cost PIN diode phase shifter for L-band radiometer antenna. IEEE Access 7, 95274–95284 (2019).
Singh, A. & Mandal, M. K. Electronically tunable reflection type phase shifters. IEEE Trans. Circuits Syst. II Express Briefs 67(3), 425–429 (2020).
Singh, T. & Mansour, R. R. Loss compensated PCM GeTe-based latching wideband 3-bit switched true-time-delay phase shifters for mmWave phased arrays. IEEE Trans. Microw. Theory Tech. 68(9), 3745–3755 (2020).
Fenech, H., Amos, S., Tomatis, A. & Soumpholphakdy, V. High throughput satellite systems: An analytical approach. IEEE Trans. Aerosp. Electron. Syst. 51(1), 192–202 (2015).
Rahimian Omam, Z. et al. Tunable substrate integrated waveguide phase shifter using high dielectric constant slab. IEEE Microw. Wirel. Compon. Lett. 30(5), 485–488 (2020).
Peng, Y. & Sun, L. A compact broadband phase shifter based on HMSIW evanescent mode. IEEE Microw. Wirel. Compon. Lett. 31(7), 857–860 (2021).
Alkaraki, S., Qu, Z. & Kelly, J. R. mm-wave low insertion loss SIW phase shifter based on liquid metal technology. IEEE Microw. Wirel. Technol. Lett. 34(2), 155–158 (2024).
Yang, Y.-M., Yuan, C.-W. & Qian, B.-L. A novel phase shifter for Ku-band high-power microwave applications. IEEE Trans. Plasma Sci. 42(1), 51–54 (2014).
Yang, Y.-M., Yuan, C.-W., Cheng, G.-X. & Qian, B.-L. Ku-band rectangular waveguide wide side dimension adjustable phase shifter. IEEE Trans. Plasma Sci. 43(5), 1666–1669 (2015).
Villa, E., Aja, B., Cagigas, J., Artal, E. & de la Fuente, L. Four-state full Q-band phase shifter using smooth-ridged waveguides. IEEE Microw. Wirel. Compon. Lett. 27(11), 995–997 (2017).
Polo-López, L. et al. Mechanically reconfigurable linear phased array antenna based on single-block waveguide reflective phase shifters with tuning screws. IEEE Access 8, 113487–113497 (2020).
Deng, J., Burasa, P. & Wu, K. Compact 140–220 GHz E/H waveguide phase shifter and its application to terahertz multiport circuits. IEEE Trans. Terahertz Sci. Technol. 13(5), 511–525 (2023).
Kildal, P.-S., Zaman, A. U., Rajo-Iglesias, E., Alfonso, E. & Valero-Nogueira, A. Design and experimental verification of ridge gap waveguides in bed of nails for parallel plate mode suppression. IET Microw. Antennas Propag. 5(3), 262–270 (2011).
Memeletzoglou, N. & Rajo-Iglesias, E. Array of stacked leaky-wave antennas in groove gap waveguide technology. Sci. Rep. 11, 2260 (2021).
Herrán, L. F., Brazalez, A. A. & Rajo-Iglesias, E. Ka-band planar slotted waveguide array based on groove gap waveguide technology with a glide-symmetric holey metasurface. Sci. Rep. 11(1), 1–9 (2021).
Peng, S., Pu, Y., Wu, Z. & Luo, Y. High-isolation power divider based on ridge gap waveguide for broadband millimeter-wave applications. IEEE Trans. Microw. Theory Tech. 70(6), 3029–3039 (2022).
Horestani, A. K. & Mrozowski, M. A wideband rotary-joint-free H-plane horn antenna With 360° steerable radiation pattern using gap waveguide technology. IEEE Trans. Antennas Propag. 71(7), 5717–5728 (2023).
Herranz-Herruzo, J. I., Ferrando-Rocher, M., Valero-Nogueira, A. & Bernardo-Clemente, B. Wideband circularly polarized mm-wave array antenna using H-shaped low-axial-ratio apertures. IEEE Trans. Antennas Propag. 71(5), 4564–4569 (2023).
Salehian, K. & Tayarani, M. A novel SIGGW dual post band-pass filter for 5G millimeter-wave band applications with a transmission zero. Sci. Rep. 13(1), 1–9 (2023).
Rajo-Iglesias, E., Ebrahimpouri, M. & Quevedo-Teruel, O. Wideband phase shifter in groove gap waveguide technology implemented with glide-symmetric holey EBG. IEEE Microw. Wirel. Compon. Lett. 28(6), 476–478 (2018).
Nickel, M. et al. Ridge gap waveguide based liquid crystal phase shifter. IEEE Access 8, 77833–77842 (2020).
Palomares-Caballero, Á., Alex-Amor, A., Escobedo, P., Valenzuela-Valdés, J. & Padilla, P. Low-loss reconfigurable phase shifter in gap-waveguide technology for mm-wave applications. IEEE Trans. Circuits Syst. II Express Briefs 67(12), 3058–3062 (2020).
Abdollahy, H., Farahbakhsh, A. & Ostovarzadeh, M. H. Mechanical reconfigurable phase shifter based on gap waveguide technology. AEU Int. J. Electron. Commun. 132, 153655 (2021).
Sánchez-Escuderos, D., Herranz-Herruzo, J. I., Ferrando-Rocher, M. & Valero-Nogueira, A. True-time-delay mechanical phase shifter in gap waveguide technology for slotted waveguide arrays in Ka-band. IEEE Trans. Antennas Propag. 69(5), 2727–2740 (2021).
Karami Horestani, A., Shaterian, Z. & Mrozowski, M. Low-loss mechanically tunable resonator and phase shifters in groove gap waveguide technology. IEEE Access 10, 70964–70970 (2022).
Palomares-Caballero, Á., Megías, C., Molero, C., Alex-Amor, A. & Padilla, P. Wideband gap-waveguide phase shifter based on a glide-symmetric ridge. IEEE Microw. Wirel. Technol. Lett. 33(1), 27–30 (2023).
Wang, E. et al. E-band low-loss reconfigurable phase shifters. IEEE Microw. Wirel. Technol. Lett. 33(7), 999–1002 (2023).
Berenguer, A. et al. Propagation characteristics of groove gap waveguide below and above cutoff. IEEE Trans. Microw. Theory Tech. 64(1), 27–36 (2016).
Acknowledgements
This work was supported by the Gdańsk University of Technology via NOBELIUM under grants DEC-49/2023/IDUB/l.1 and DEC-50/2023/IDUB/l.1 through the “Excellence Initiative-Research University” program.
Author information
Authors and Affiliations
Contributions
A. F. contributed to the conceptualization and design of the study and was involved in the drafting and revision of the manuscript. D. Z. contributed to the conceptualization and design of the study and was involved in the drafting and revision of the manuscript. M. M. supervised the design and was involved in the drafting and revision of the manuscript. All authors have revised the paper.
Corresponding author
Ethics declarations
Competing interests
The authors declare no competing interests.
Additional information
Publisher's note
Springer Nature remains neutral with regard to jurisdictional claims in published maps and institutional affiliations.
Rights and permissions
Open Access This article is licensed under a Creative Commons Attribution-NonCommercial-NoDerivatives 4.0 International License, which permits any non-commercial use, sharing, distribution and reproduction in any medium or format, as long as you give appropriate credit to the original author(s) and the source, provide a link to the Creative Commons licence, and indicate if you modified the licensed material. You do not have permission under this licence to share adapted material derived from this article or parts of it. The images or other third party material in this article are included in the article’s Creative Commons licence, unless indicated otherwise in a credit line to the material. If material is not included in the article’s Creative Commons licence and your intended use is not permitted by statutory regulation or exceeds the permitted use, you will need to obtain permission directly from the copyright holder. To view a copy of this licence, visit http://creativecommons.org/licenses/by-nc-nd/4.0/.
About this article
Cite this article
Farahbakhsh, A., Zarifi, D. & Mrozowski, M. A gap waveguide-based mechanically reconfigurable phase shifter for high-power Ku-band applications. Sci Rep 14, 17358 (2024). https://doi.org/10.1038/s41598-024-68221-0
Received:
Accepted:
Published:
Version of record:
DOI: https://doi.org/10.1038/s41598-024-68221-0














