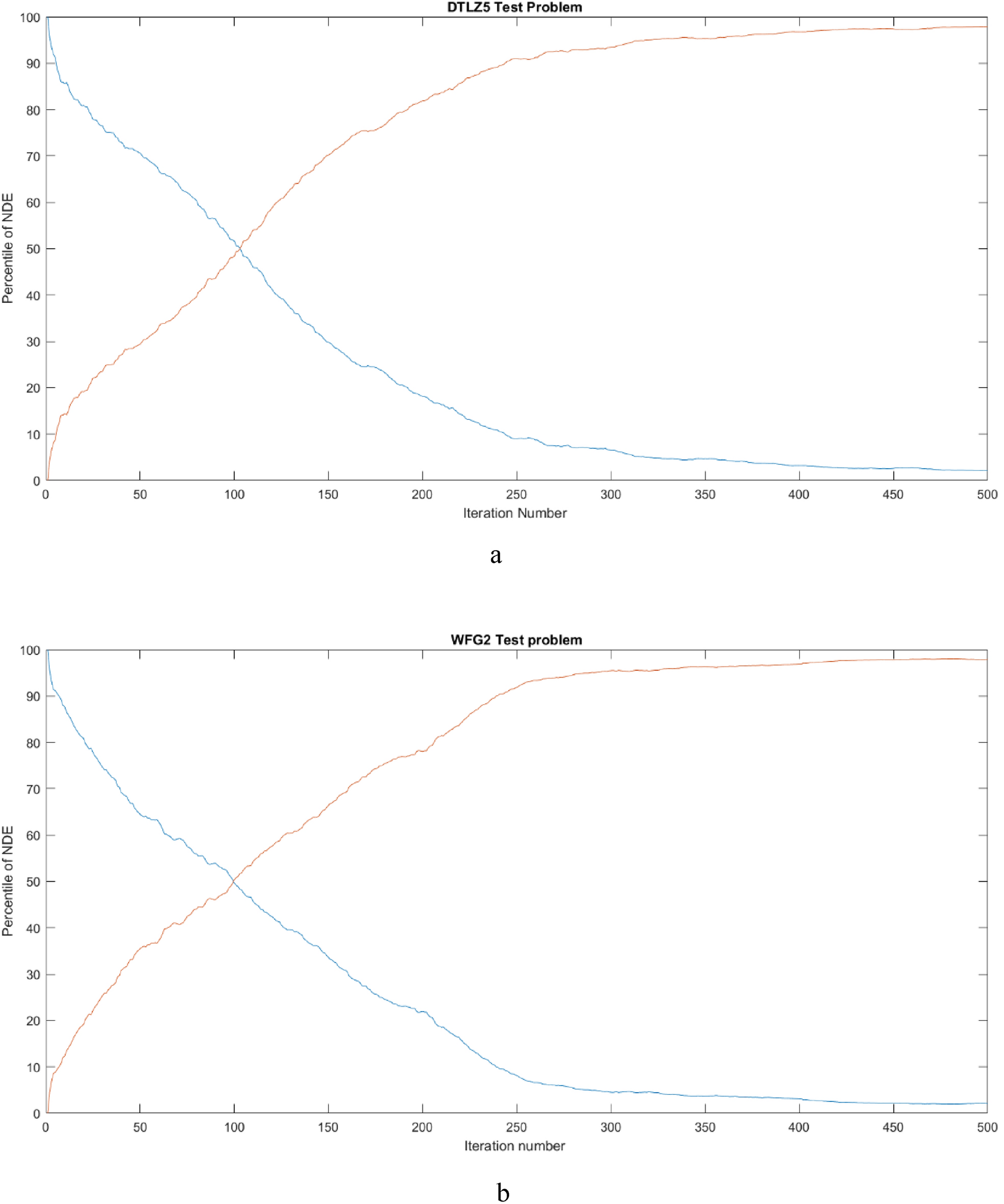
Figure 7

(a) Exploration–exploitation graph for DTLZ5 test problem. (b) Exploration–exploitation graph for WFG2 test problem.

(a) Exploration–exploitation graph for DTLZ5 test problem. (b) Exploration–exploitation graph for WFG2 test problem.