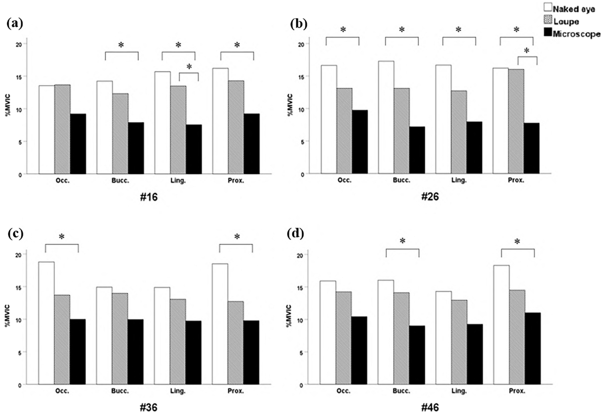
Figure 1

Mean %MVIC of the eight muscles using different visual aid according to tooth surface in each tooth. (a) #16, (b) #26, (c) #36, and (d) #46. Occ., Occlusal; Bucc., buccal; Ling., Lingual; Prox., Proximal. *Significant differences between visual aids with p < 0.05.