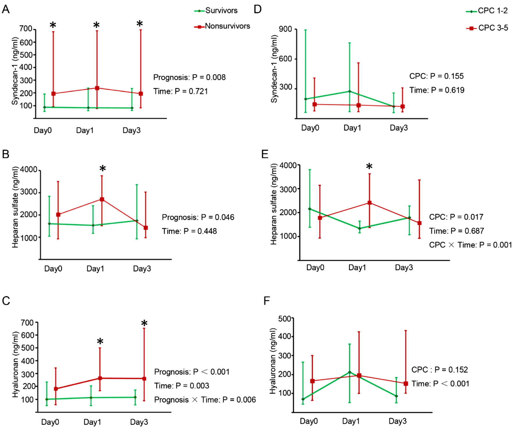
Figure 2

Circulating syndecan-1, heparan sulfate and hyaluronan expression in patients with OHCA in the first three days after ROSC. (A–C) Time course of serum concentrations of syndecan-1, heparan sulfate, and hyaluronan by 28-day survival status. (D–F): Time course of serum concentrations of syndecan-1, heparan sulfate and hyaluronan by favorable neurological outcome. * P < 0.05 compared with survivors or patients with CPC 1–2. CPC: cerebral performance category; OHCA: out-of-hospital cardiac arrest; ROSC: after return of spontaneous circulation.