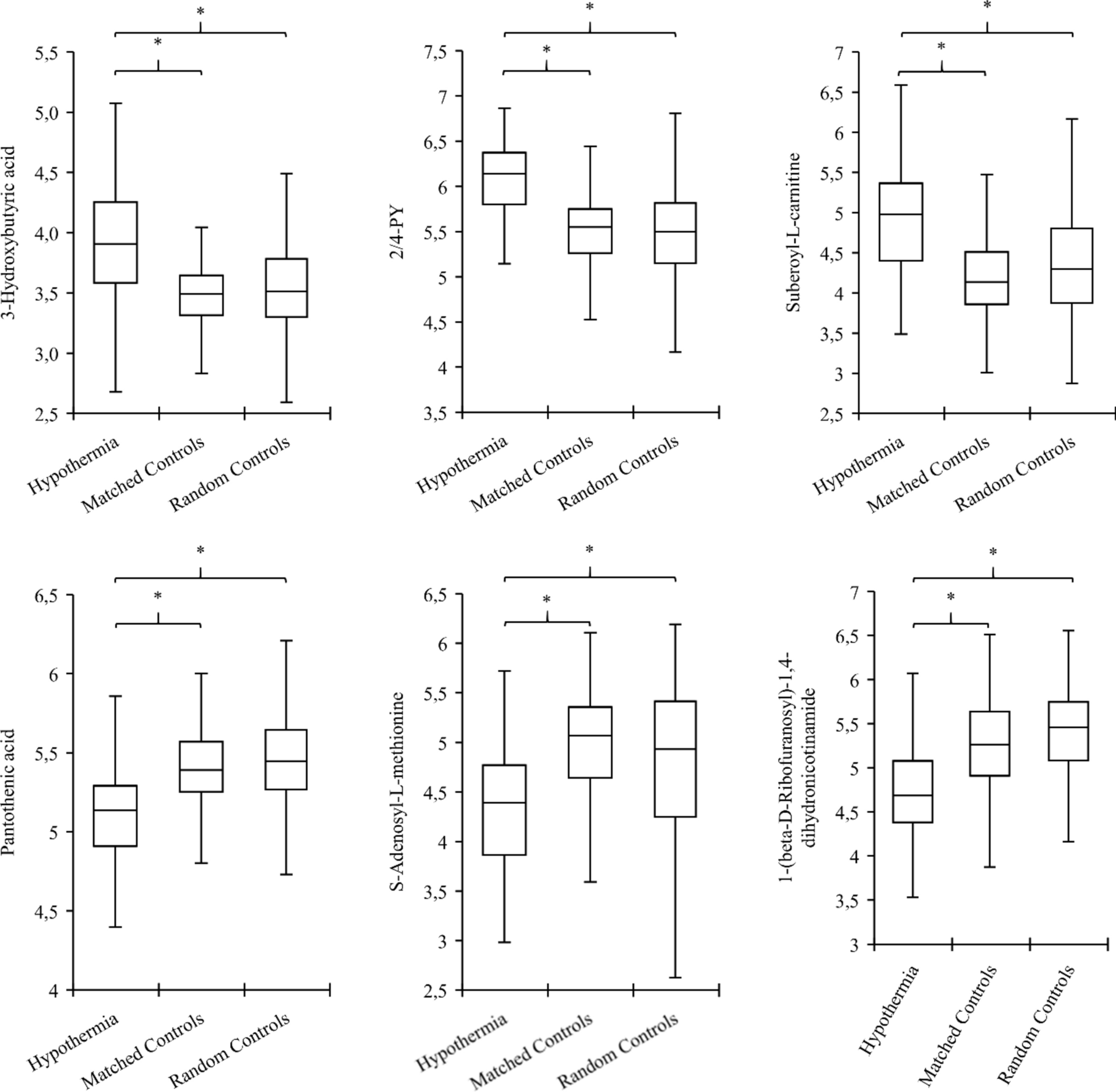
Figure 2

Boxplots depicting the logarithmic absolute intensities of 6 selected metabolites . Outliers and extreme values have been excluded to visualize differences between group. * indicates p-value < 0.001 between groups.

Boxplots depicting the logarithmic absolute intensities of 6 selected metabolites . Outliers and extreme values have been excluded to visualize differences between group. * indicates p-value < 0.001 between groups.