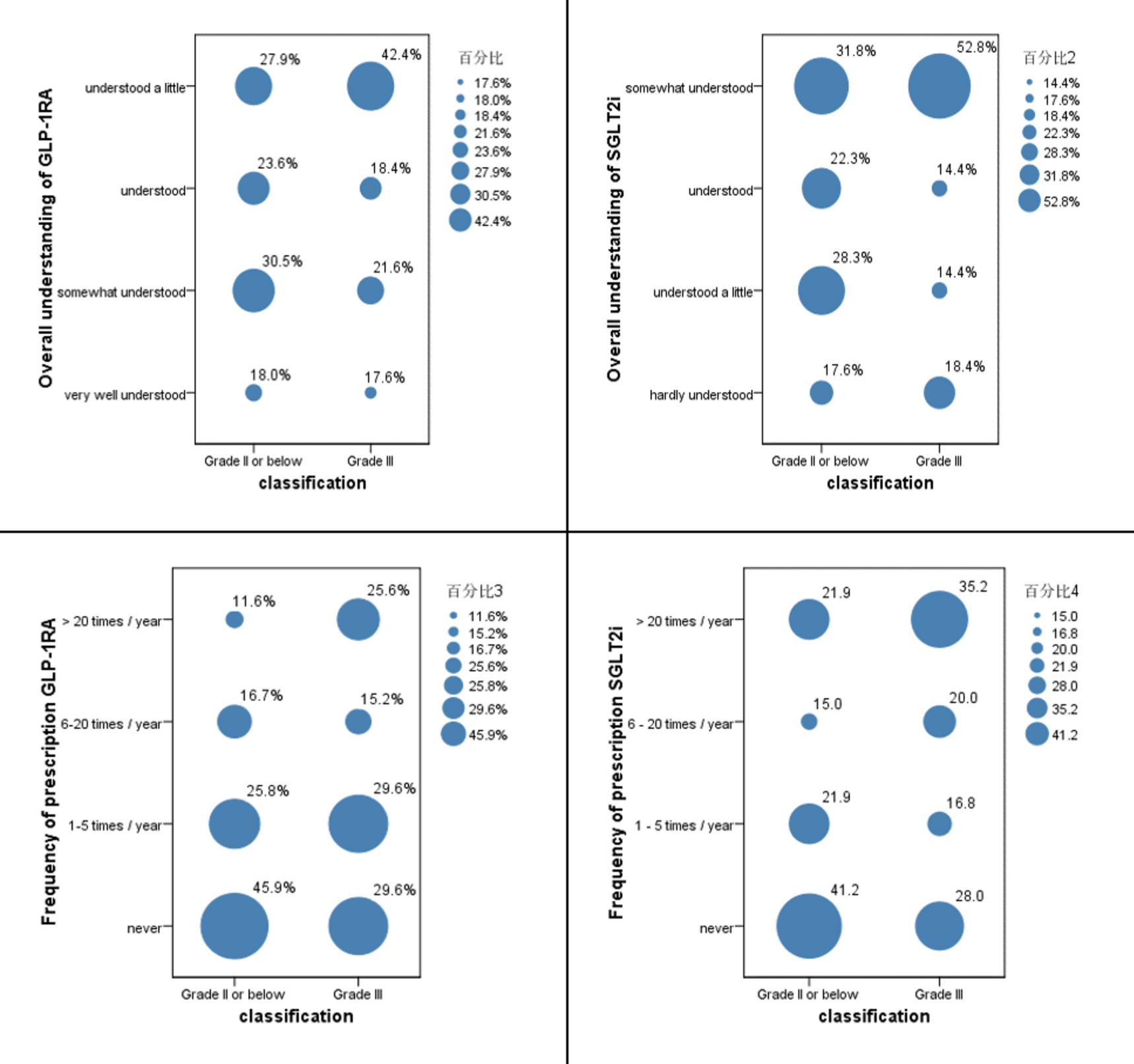
Figure 4

The overall understanding and the prescription frequency of GLP-1RA and SGLT2i among doctors of different hospitals. GLP-1RA glucagon-like peptide-1 receptor agonists, Grade II secondary hospital, Grade III tertiary hospital, SGLT2i sodium-glucose cotransporter 2 inhibitors.