Abstract
New anti-diabetic medications, including glucagon-like peptide-1 receptor agonists (GLP-1RA) and sodium-glucose cotransporter 2 (SGLT2) inhibitors are recommended in guidelines to reduce cardio-renal events in type 2 diabetes mellitus (T2DM), independent of glucose control. Yet they might be underused in real world. This study aims to address the knowledge gap, prescription patterns and barriers faced by Chinese doctors. Cardio-Metabolic Survey was a cross-sectional study conducted among doctors managing diabetic patients in clinical practice, via a designated online questionnaire from May 1st, to Dec. 31th, 2022. A total of 358 doctors from 57 hospitals across Beijing participated in this survey, 34.9% from tertiary hospitals. Only 30–40% doctors demonstrated somewhat understanding of the mechanism and clinical applications of GLP-1RA or SGLT2 inhibitors. There is no difference in understanding of these two medications overall (p = 0.336). However, doctors in tertiary hospitals have a higher understanding of GLP-1RA and SGLT2 inhibitors compared to those in non-tertiary hospitals (p = 0.049, and 0.008, respectively). 40.2% doctors have never prescribed GLP-1RA, and 36.6% for SGLT2 inhibitors. The frequency of prescribing SGLT2 inhibitors was significantly higher than prescribing GLP-1RA (p = 0.005). The main barriers on prescription include high cost, poor adherence, side effects concern, and insufficient knowledge about these medications. Chinese doctors currently have limited understanding and low prescription frequency for GLP-1RA and SGLT2 inhibitors. Multifaceted approaches are needed to improve doctors' knowledge and strengthen their ability to manage T2DM effectively.
Similar content being viewed by others
Introduction
With population aging and social transition, the prevalence of diabetes and atherosclerotic cardiovascular disease (ASCVD) are gradually increasing in China1,2. Adults with diabetes have a 2 to 4 times higher risk of cardiovascular (CV) events compared to those without diabetes3. In a multinational cross-sectional study across 13 countries, approximately one-third of adults with type 2 diabetes mellitus (T2DM) were diagnosed with CV diseases, which were the leading causes of global mortality among patients with diabetes4.
Recently, some new anti-diabetic medications, such as glucagon-like peptide-1 receptor agonists (GLP-1RA) and sodium-glucose cotransporter 2 (SGLT2) inhibitors have been proven for reduction of CV and renal events in large-scale randomized controlled clinical trials (RCT). As a result, guidelines and consensus statements now recommend the use of GLP-1RA or SGLT2 inhibitors with proven benefits for patients with diabetes and established ASCVD or at high CV risk5,6,7,8.
However, previous studies have indicated that there is still tremendous room for improvement in the clinical utilization of GLP-1RA and SGLT2 inhibitors9,10,11. The aim of this study is to investigate the knowledge gap and prescription willingness and patterns of GLP-1RA and SGLT2 inhibitors among Chinese physicians. Furthermore, it seeks to explore the barriers faced by clinical physicians when prescribing GLP-1RA and SGLT2 inhibitors, with the ultimate goal of promoting standardized treatment for patients with diabetes and CV diseases.
Methods
Cardio-Metabolic Survey (CMS) was a cross-sectional study, designed as a questionnaire to explore the doctor’s knowledge and prescription modality of anti-diabetic medications on behalf of Cardiometabolic Medicine Committee of Beijing Hypertension Association (CMC-BHA), and was conducted among doctors who managed patients with diabetes in clinical practice between May 1, 2022 and December 31, 2022. The protocol was approved by the ethics committee of Peking University People’s Hospital (2022PHB126-001), and informed consent was obtained from each participant.
Participants
CMS was conducted within the frame of CMC-BHA. All the committee members and their colleagues volunteered to participate in this investigation. The inclusion criteria for the participating doctors were: (1) holding a valid medical practitioner’s license, (2) having prescription authority, and (3) actively engaged in management of patients with diabetes in clinical practice.
Contents of the survey
This survey was conducted using the online survey platform, SurveyStar. Each survey was designed to be completed within 10–15 min and consisted of three sections: (1) Basic information, (2) Knowledge and prescription patterns regarding GLP-1RA and SGLT2 inhibitors, and (3) Prescription willingness for GLP-1RA and SGLT2 inhibitors based on virtual case scenarios. For specific details, please refer to the "Questionnaire for Assessment of Glucose Management” in Supplementary Materials.
Statistical analysis
Basic information, knowledge, and prescription willingness and patterns of participating doctors regarding GLP-1RA and SGLT2 inhibitors were analyzed descriptively using frequencies and percentages. Group comparisons for the afore-mentioned parameters were conducted using chi-square tests. The comparison between doctors at different hospital levels was assessed using the Mantel–Haenszel chi-square test. Data compilation, cleaning, and statistical analysis was performed using SPSS 24.0 for Windows, with a significance level of α = 0.05.
Results
Demographic characteristics of the participants
A total of 358 doctors from 57 hospitals across Beijing participated in this survey, with males accounting for 31.6% (113 individuals) and females accounting for 65.4% (245 individuals). Doctors below the age of 35, between the ages of 35 and 44, and aged 45 and above each accounted for approximately one-third of the participants (30.7%, 36.3%, and 33.0% respectively). 42.2% (151 individuals) of the doctors held a postgraduate degree. 34.9% (125 individuals) of the doctors were from tertiary (grade III) hospitals and the others from secondary hospitals or community healthcare centers (grade II or below). Among the participants, 16.8% (60 individuals) were chief physicians, 23.7% (85 individuals) were associate chief physicians, and 30.4% (109 individuals) were attending physicians. Among these doctors, 33.8% (121 individuals) were general practitioners, 16.8% (60 individuals) were cardiologists, 5.6% (20 individuals) were endocrinologists, and 9.2% (33 individuals) were from other internal medicine specialties. Approximately two-third of the doctors were experienced in their specialties, 36% (127 individuals) had been working for 10 to 20 years, and 30.2% (108 individuals) working for more than 20 years (Fig. 1).
Knowledge about GLP-1RA and SGLT2 inhibitors
Only 10.9% (39 individuals) reported very familiar with the mechanism of GLP-1RA, while over one-third of doctors believed they only understood a little or hardly understood of the mechanism of anti-diabetic effects of GLP-1RA (understood a little: 94 individuals, 26.3%; hardly understood: 41 individuals, 11.5%). The same is true of understanding of indications and when to initiate GLP-1RA in diabetes. Approximately 10% of the doctors considered themselves very knowledgeable about the indications and when to initiate GLP-1RA, while over 40% doctors believed they understood a little or hardly understood when to initiate GLP-1RA (Fig. 2A).
Overall, 33.0% (118 individuals) of doctors demonstrated a somewhat understanding of the mechanism and clinical applications of GLP-1RA. 27.4% (98) had a little understanding and 17.9% (64) of participants had almost no knowledge regarding the mechanism and clinical applications of GLP-1RA (Fig. 2A).
As for SGLT2 inhibitors, approximately 14.2% (51 individuals) of doctors believe they have a well understanding of the anti-diabetic mechanism. However, nearly 40% of respondents admit to having a little understanding or almost no understanding of the mechanism of SGLT2 inhibitors (understood a little: 81 individuals, 22.6%; hardly understood: 55 individuals, 15.4%). The level of understanding among the doctors regarding the indications and initiation timing of SGLT2 inhibitors is similar to their understanding of the mechanism of SGLT2 inhibitors (Fig. 2B).
In total, 39.1% (140 individuals) of doctors have somewhat understanding of the mechanism and clinical applications of SGLT2 inhibitors. While 23.5% (84 individuals) have a little understanding and 17.9% (64 individuals) hardly understand the mechanism and clinical applications of SGLT2 inhibitors (Fig. 2B).
When comparing the level of understanding between the doctors regarding GLP-1RA and SGLT2 inhibitors, the results indicated no statistically significant difference (χ2 = 3.385, p = 0.336) (refer to Supplementary Table 1 and Supplementary Fig. 1).
The prescription frequency of GLP-1RA and SGLT2 inhibitors
Only 16.5% (59 individuals) of the doctors prescribed GLP-1RA 20 times or more per year, while 26.5% of the doctors prescribed SGLT2 inhibitors 20 times or more. 40.2% (144 individuals) of participants have never prescribed GLP-1RA, and over 36.6% (131 individuals) have never prescribed SGLT2 inhibitors (Fig. 3A).
There is difference in prescription frequency between doctors for GLP-1RA and SGLT2 inhibitors. The frequency of prescribing SGLT2 inhibitors was significantly higher compared to prescribing GLP-1RA (χ2 = 7.735, p = 0.005) (see Supplementary Table 2 and Supplementary Fig. 2).
The understanding and prescription frequency of GLP-1RA and SGLT2 inhibitors among doctors at different hospitals
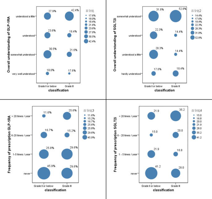
There are variations in the overall understanding of GLP-1RA and SGLT2 inhibitors among the doctors of different hospital levels (as shown in Table 1; Fig. 4). The overall understanding of GLP-1RA (χ2 = 8.551, p = 0.036) and SGLT2 inhibitors (χ2 = 18.572, p < 0.001) differs significantly. Furthermore, there is a linear relationship between the level of hospital and the understanding of GLP-1RA and SGLT2 inhibitors. The doctors in tertiary hospitals have a higher understanding of GLP-1RA and SGLT2 inhibitors compared to those in secondary and lower-level hospitals (understanding of GLP-1RA: Pearson's R = 0.104, p = 0.049, understanding of SGLT2 inhibitors: Pearson's R = 0.139, p = 0.008) (Table 1; Fig. 4).
Similarly, there are variations in the prescription frequency of GLP-1RA and SGLT2 inhibitors among doctors of different hospital levels (Table 2; Fig. 4). The prescription frequency of GLP-1RA (χ2 = 11.558, p = 0.009) and SGLT2 inhibitors (χ2 = 15.644, p = 0.001) differ significantly. However, there is no significant linear relationship between the prescription frequency of GLP-1RA and SGLT2 inhibitors and the hospital level (the prescription frequency of GLP-1RA: Pearson's R = −0.086, p = 0.105; the prescription frequency of SGLT2i: Pearson's R = −0.034, p = 0.527; Table 2 and Fig. 4).
Prescription willingness for GLP-1RA and SGLT2 inhibitors based on virtual case scenarios
We investigated the prescription willingness for GLP-1RA and SGLT2 inhibitors through providing virtual clinical scenarios to the doctors. For case 1, a 60-year-old female with T2DM and old myocardial infarction, currently on metformin with an HbA1c level of 8.5%, the prescribing preferences were as follows: 109 (30.4%) doctors chose SGLT2 inhibitors, 157 (43.9%) doctors chose GLP-1RA, and 92 (25.7%) doctors chose not to prescribe any medication. For case 2, a 55-year-old male with T2DM and old myocardial infarction, currently on metformin with an HbA1c level of 6.5%, and taking aspirin, statin, ACE inhibitors, and beta-blockers, 65 (18.2%) doctors opted to prescribe SGLT2 inhibitors, 76 (21.2%) doctors opted to prescribe GLP-1RA, and 217 (60.6%) doctors chose not to prescribe any medication. For case 3, a 55-year-old male newly diagnosed with diabetes, with old myocardial infarction, HbA1c level of 7.2%, currently taking aspirin, statin, ACE inhibitors, and beta-blockers, 84 (23.5%) doctors chose SGLT2 inhibitors, 64 (17.9%) doctors chose GLP-1RA, 66 (18.4%) doctors chose metformin, and 144 (40.2%) doctors chose not to prescribe any medication (Please refer to Supplementary Table 3).
Barriers to prescribing GLP-1RA and SGLT2 inhibitors
Further investigation into the barriers to prescribing GLP-1RA and SGLT2 inhibitors revealed that 153 doctors (42.7% of the total, 23.6% of all answers) cited high cost as a barrier to prescribing GLP-1RA. Additionally, 112 doctors (31.3% of the total, 17.3% of all answers) mentioned poor patient compliance as a hindrance to prescribing GLP-1RA. Furthermore, 101 doctors (28% of the total, 15.6% of all answers) indicated that insufficient knowledge about GLP-1RA hindered the prescription. In regards to SGLT2 inhibitors, the top three factors identified by the doctors as barriers were high cost (108 doctors, 30.2% of the total, 20.7% of all answers), limited understanding (102 doctors, 28.5% of the total, 19.5% of all answers), and significant side effects (85 doctors, 23.7% of the total, 16.3% of all answers) (Fig. 3B).
Discussion
In the past decade, GLP-1RA and SGLT2 inhibitors have been shown to impart significant CV and kidney benefits in large-scale RCTs7,12,13,14,15,16. Despite national and international guidelines and expert consensus6,8,17,18,19 indicate that GLP-1RA or SGLT2 inhibitors with proven CV benefits should be added in patients with T2DM and established ASCVD or at high risk for ASCVD, even if glucose is controlled, they are underused in real world clinical practice. This survey revealed a limited understanding of GLP-1RA and SGLT2 inhibitors among Chinese doctors, suggesting a lack of in-depth knowledge about diabetes and relevant guidelines and consensus, particularly among cardiologists and general practitioners. This may partially explain the relatively low prescribing willingness of GLP-1RA and SGLT2 inhibitors on virtual case scenarios, even in patient with T2DM and old myocardial infarction. Additionally, the low utilization of these medications might contribute to the unfamiliarity of these medication among doctors. Furthermore, the busy workload of the physicians results in limited time for self-improvement, decreased the motivation and capacity for proactive learning about GLP-1RA and SGLT2 inhibitors.
Regarding the prescription frequency of GLP-1RA and SGLT2 inhibitors, the findings of the survey are in line with previous research11. The prescription rate is relatively low. More than one-third of doctors have never prescribed GLP-1RA and SGLT2 inhibitors, with only about one-fifth of them prescribing these medications at a frequency exceeding 20 times per year. Furthermore, approximately one-third of patients with T2DM have comorbid CV diseases4. Hence, it can be inferred that the utilization rate of GLP-1RA and SGLT2 inhibitors among these eligible patients with T2DM is also likely to be low. This point has been validated in previous studies, which have shown that the usage rates of SGLT2 inhibitors and GLP-1RA are low20. Additionally, in this survey, the frequency of SGLT2 inhibitors prescription by doctors is higher than that of GLP-1RA, possibly due to factors such as drug formulation, cost, and patient compliance.
Further investigation into the barriers of doctors prescribing GLP-1RA and SGLT2 inhibitors reveals that cost is the greatest issue. The price was relatively high when these medications were initially introduced into clinic in China. For instance, the average cost was about 280 USD (2000 RMB) for each injection kit of semaglutide(2 mg) in 2021, not covered by medical insurance. It was not affordable for most as the per capita medical and health care expenditure reported by China National Bureau of Statistic was about 1843–2460 RMB/year in 2020–202321. It is not the case currently, as after several round of negotiation between the authority and relevant enterprises, the price has been downregulated and partially covered by medical insurance. It is now affordable for some but not all of subjects who have medical insurance, while it is still not affordable for most without medical insurance. Previous study11 also suggested that the relatively high cost of these new medications might account for the underutilization. Additionally, for GLP-1RA, patient compliance is affected by injection, which also a great concern that might limited the doctor’s prescription. However, with the successful development and launch of oral formulations of GLP-1RA22, the issue of low compliance with injectable GLP-1RA may be resolved. As for SGLT2 inhibitors, side effects hinder doctors from prescribing the medication. For instance, doctors have concerns regarding SGLT2 inhibitors-related urinary tract infections (UTIs). Nevertheless, in patients with T2DM, there is no compelling evidence to suggest an increased risk of UTIs associated with SGLT-2 inhibitors compared to placebo or other blood glucose-lowering agents23. This indirectly reflects insufficient understanding of CV benefits of GLP-1RA and SGLT2 inhibitors among doctors, which may be one of the major reasons limiting their prescription. Treatment inertia is also an important barrier that cannot be overlooked when prescribing SGLT2i and GLP1RA. Therefore, when faced with patients whose glucose are well-controlled with other anti-diabetic medications or insulin, doctors may hesitate to prescribe these new drugs that confer cardiac and renal protection. These indicate that there is a compelling need for cardiologists, general practitioners and doctors from specialties other than endocrinology to strengthen the capacity for T2DM management and further bridge the gap between guidelines and clinical practice. Multiple approaches including academic training courses, cases discussion and hands-on workshop, etc., will be of value to help doctor to improve the capacity on utilization of GLP-1RA and SGLT2 inhibitors and maximize their cardio-renal protection effects. In addition, there would be an improvement on doctor’s treatment inertia when a managed care system be introduced in the future. Those doctors who get with the guidelines, help to reduce the patients’ cardio-renal-metabolic risks and save money on healthcare expenditures should be rewarded.
We also found that doctors in the tertiary hospitals have a higher level of understanding of GLP-1RA and SGLT2 inhibitors, which is consistent with previous research20. On one hand, doctors in the tertiary hospitals tend to have more opportunities than the peers from other hospitals to read the updated guidelines or consensus statements through continuing medical education or other training activities. On the other hand, this may be related to the fact that the doctors in tertiary hospitals usually treat patients with more complications, providing them with more opportunities to actively adjust treatment plans and thus exposing them to new drugs and the chance to try them out. However, our study also discovered that the prescription rates of GLP-1RA and SGLT2 inhibitors in the tertiary hospitals are not significantly higher than those in other hospitals. This might be attributed to an increased awareness on GLP-1RA and SGLT2 inhibitors with more considerations on contradictions than indications of these two drugs. Furthermore, the use of GLP-1RA and SGLT2 inhibitors may be more restricted due to the complexity of patients’ conditions.
This study has several limitations. Firstly, it was a cross-sectional study that did not employ random sampling, inevitably leading to sampling errors. Additionally, the study was conducted through online surveys and limited to those smart phone users, might be of less representativeness although we have included doctors from different specialties. Moreover, despite the fact that the survey required participants to provide their real names and work institutions, the majority of the questionnaire consisted of subjective questions rather than objective prescription records or documents, which may introduce certain reporting bias. To further improve the reliability and reflex objectively the prescription of GLP-1RA and SGLT2 inhibitors, analysis of patients’ electronic health record (EHR) would be preferred in future investigation.
In summary, the current survey revealed that Chinese doctors currently have limited understanding and low prescription frequency for both GLP-1RA and SGLT2 inhibitors, despite their guideline-recommended use for reducing cardio-renal events in type 2 diabetes. Multifaceted approaches are needed to improve doctors' knowledge and strengthen their ability to manage type 2 diabetes effectively.
Data availability
The data support the findings of this article are available from the corresponding author, upon reasonable request.
References
Hu, S. Report on cardiovascular health and diseases in China 2022: An updated summary. Chin. J. Intervent. Cardiol. 31(7), 485–508 (2023).
Li, Y. et al. Prevalence of diabetes recorded in mainland China using 2018 diagnostic criteria from the American Diabetes Association: National cross sectional study. BMJ 369, m997 (2020).
Dal Canto, E. et al. Diabetes as a cardiovascular risk factor: An overview of global trends of macro and micro vascular complications. Eur. J. Prev. Cardiol. 26(2_suppl), 25–32 (2019).
Mosenzon, O. et al. CAPTURE: A multinational, cross-sectional study of cardiovascular disease prevalence in adults with type 2 diabetes across 13 countries. Cardiovasc. Diabetol. 20(1), 154 (2021).
Davies, M. J. et al. Management of hyperglycaemia in type 2 diabetes, 2022. A consensus report by the American Diabetes Association (ADA) and the European Association for the Study of Diabetes (EASD). Diabetologia 65(12), 1925–1966 (2022).
Ji, L., Guo, L., Guo, X. & Hong, T. Expert guidance on clinical practice of sodium glucose co-transporter 2 inhibitor in China. Chin. J. Diabet. 24(10), 865–870 (2023).
Zelniker, T. A. et al. SGLT2 inhibitors for primary and secondary prevention of cardiovascular and renal outcomes in type 2 diabetes: A systematic review and meta-analysis of cardiovascular outcome trials. Lancet 393(10166), 31–39 (2019).
Ji, L., Zou, D., Hong, T. & Chen, L. Expert guidance on clinical practice of glucagon-like peptide 1 receptor in China. Chin. J. Diabet. 26(5), 353–361 (2018).
Arnold, S. V. et al. Real-world use and modeled impact of glucose-lowering therapies evaluated in recent cardiovascular outcomes trials: An NCDR® Research to Practice project. Eur. J. Prev. Cardiol. 24(15), 1637–1645 (2017).
Johnston, S. S. et al. Retrospective study of adherence to glucagon-like peptide-1 receptor agonist therapy in patients with type 2 diabetes mellitus in the United States. Adv. Ther. 31(11), 1119–1133 (2014).
Vaduganathan, M. et al. Prescriber patterns of SGLT2i after expansions of u.s. food and drug administration labeling. J. Am. Coll. Cardiol. 72(25), 3370–3372 (2018).
Marso, S. P. et al. Liraglutide and cardiovascular outcomes in type 2 diabetes. N. Engl. J. Med. 375(4), 311–322 (2016).
Zinman, B. et al. Empagliflozin, cardiovascular outcomes, and mortality in type 2 diabetes. N. Engl. J. Med. 373(22), 2117–2128 (2015).
Neal, B. et al. Canagliflozin and cardiovascular and renal events in type 2 diabetes. N. Engl. J. Med. 377(7), 644–657 (2017).
Perkovic, V. et al. Canagliflozin and renal outcomes in type 2 diabetes and nephropathy. N. Engl. J. Med. 380(24), 2295–2306 (2019).
Kristensen, S. L. et al. Cardiovascular, mortality, and kidney outcomes with GLP-1 receptor agonists in patients with type 2 diabetes: A systematic review and meta-analysis of cardiovascular outcome trials. Lancet Diabet. Endocrinol. 7(10), 776–785 (2019).
American Diabetes Association. 9. Pharmacologic approaches to glycemic treatment: standards of medical care in diabetes-2020. Diabet. Care. 2020;43(Suppl 1):S98–S110.
Buse, J. B. et al. 2019 update to: Management of hyperglycaemia in type 2 diabetes, 2018. A consensus report by the American Diabetes Association (ADA) and the European Association for the Study of Diabetes (EASD). Diabetologia 63(2), 221–228 (2020).
Ge, J., Huo, Y., Li, Y. & Guo, X. Expert consensus on the use of new anti-hyperglycemic agents to improve cardiovacular and renal outcomes. Chin. Circ. J. 35(3), 231–238 (2020).
Mahtta, D. et al. Utilization rates of SGLT2 inhibitors and GLP-1 receptor agonists and their facility-level variation among patients with atherosclerotic cardiovascular disease and type 2 diabetes: Insights from the Department of Veterans Affairs. Diabet. Care 45(2), 372–380 (2022).
Husain, M. et al. Oral semaglutide and cardiovascular outcomes in patients with type 2 diabetes. N. Engl. J. Med. 381(9), 841–851 (2019).
Liew, A. et al. Practical considerations for the use of SGLT-2 inhibitors in the Asia-Pacific countries—An expert consensus statement. Nephrology 28(8), 415–424 (2023).
Acknowledgements
We gratefully acknowledge all the committee member of CMC-BHA and doctors involved for their contributions to this survey.
Funding
This work was partly supported by Beijing Health Technologies Promotion Program (BHTPP2022037). The funders had no role on study design, data collection and analysis, or preparation of the manuscript.
Author information
Authors and Affiliations
Consortia
Contributions
J.L. (first and co-corresponding author) conceived and presided over the survey. J.L. (first and co-corresponding author), Y.H. and J.L. (co-corresponding author) designed the questionnaire of the survey. J.L. and X.S. wrote the draft of the manuscript. All authors contributed to the submitted manuscript.
Corresponding authors
Ethics declarations
Competing interests
The authors declare no competing interests.
Additional information
Publisher's note
Springer Nature remains neutral with regard to jurisdictional claims in published maps and institutional affiliations.
Supplementary Information
Rights and permissions
Open Access This article is licensed under a Creative Commons Attribution-NonCommercial-NoDerivatives 4.0 International License, which permits any non-commercial use, sharing, distribution and reproduction in any medium or format, as long as you give appropriate credit to the original author(s) and the source, provide a link to the Creative Commons licence, and indicate if you modified the licensed material. You do not have permission under this licence to share adapted material derived from this article or parts of it. The images or other third party material in this article are included in the article’s Creative Commons licence, unless indicated otherwise in a credit line to the material. If material is not included in the article’s Creative Commons licence and your intended use is not permitted by statutory regulation or exceeds the permitted use, you will need to obtain permission directly from the copyright holder. To view a copy of this licence, visit http://creativecommons.org/licenses/by-nc-nd/4.0/.
About this article
Cite this article
Liu, J., Su, X., Hao, Y. et al. Knowledge gap and prescribing patterns of glucagon-like peptide-1 receptor agonists and sodium-glucose cotransporter 2 inhibitors among Chinese doctors. Sci Rep 14, 18290 (2024). https://doi.org/10.1038/s41598-024-69016-z
Received:
Accepted:
Published:
Version of record:
DOI: https://doi.org/10.1038/s41598-024-69016-z
Keywords
This article is cited by
-
Information pharmacists assist in the construction of GLP-1RA prescription review rules in a tertiary hospital in China
BMC Health Services Research (2025)
-
A cross-sectional survey of knowledge regarding sodium-glucose co-transporter 2 inhibitors (SGLT2is) among primary care physicians and pharmacists in China
Journal of Pharmaceutical Health Care and Sciences (2025)
-
Real-world prescriptions of GLP-1RAs and SGLT2is in type 2 diabetes prioritise BMI and age over cardiorenal risk: a machine learning-based large cohort analysis
Cardiovascular Diabetology – Endocrinology Reports (2025)






