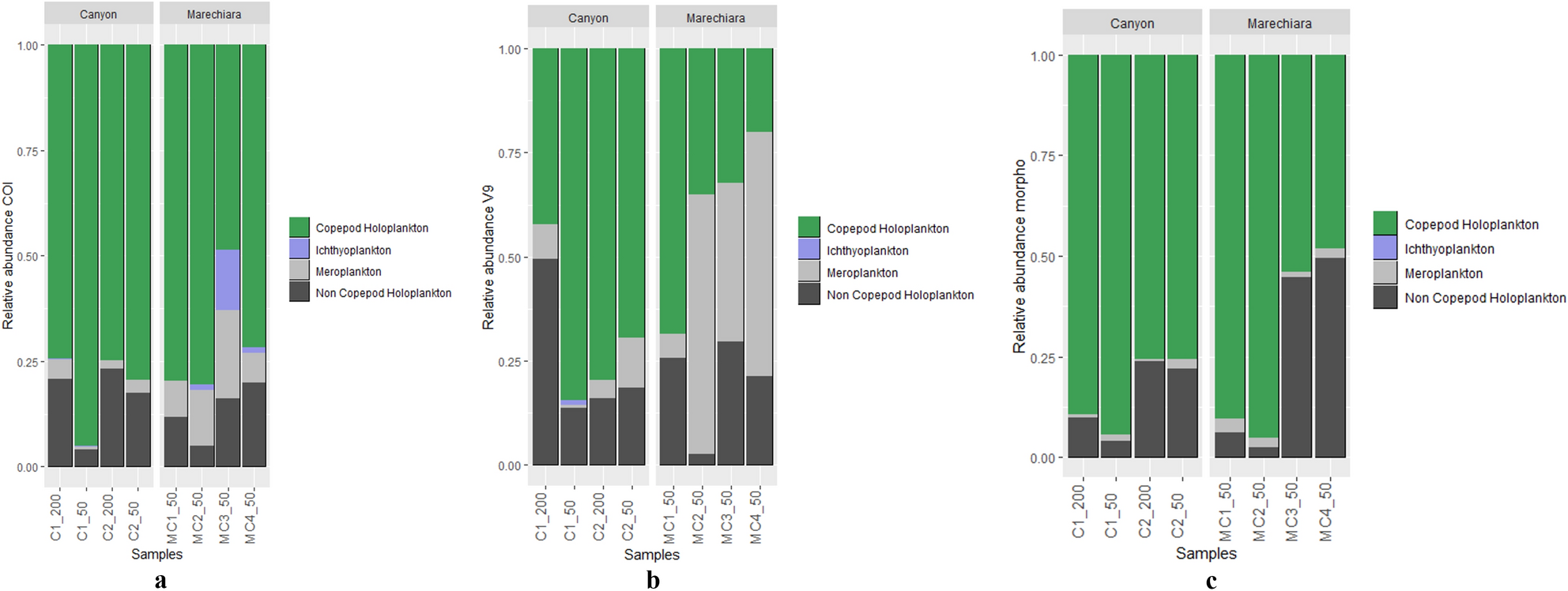
Figure 3

Barplots of relative abundances of the taxonomic groups colored based on four plankton type in the three datasets: COI gene (a), 18S V9 region (b) and morphology (c).

Barplots of relative abundances of the taxonomic groups colored based on four plankton type in the three datasets: COI gene (a), 18S V9 region (b) and morphology (c).