Abstract
Eye tracking technology is a high-potential tool for different mathematic cognition research areas. Moreover, there is a dire need for more studies that provide detailed information on the quality of registered eye data. This study aimed to illustrate the applicability of eye tracking in the examination of mathematical cognition, focusing specifically on primary school students completing a computerized mental arithmetic task. Results suggested that the eye tracking device effectively captured high-quality eye movement data when primary school children engaged in this specific task. Furthermore, significant negative correlations have been found between task performance and number of eye fixations. Finally, eye movements distinctions between “Areas of Interest” have been found, indicating different visual tracking associated with different components of arithmetic calculations. This study underscores the extensive possibilities for future research employing eye tracking devices during computerized calculation tasks as assessment tools to explore the complex visual and cognitive processes.
Similar content being viewed by others
Introduction
Eye tracking technology has been used in areas such as marketing and advertising1, and in other specific research areas such as reading2, economics3, childhood development4, learning5, etc. The theoretical framework for these eye tracking studies is provided by Just & Carpenter's6 Eye Mind Assumption Hypothesis (EMA), i.e., when we fix our gaze on a specific object, we are processing it at the cognitive level. This assumption is not always fulfilled as eye tracking only provides the projections of cognitive processes onto eye movements7. Furthermore, foveal and parafoveal information interact in a variety of ways. If there is no foveal information to process, it is possible to extract information from the parafovea only with some limitations, but if foveal information is complex, parafoveal processing is very limited. Either way, most tasks involve foveal and parafoveal processing at the same time, which should be considered to interpret the results on eye tracking parameters with caution8. Nevertheless, this doesn't provide sufficient grounds to dismiss the hypothesis outright; instead, it necessitates researchers to acknowledge the constraints of their interpretations7. Despite these limitations, eye tracking remains a potent tool for exploring mathematic cognition, particularly in controlled contexts such as computerized tasks9.
Two principal forms of eye movements can be identified: (1) fixations, which refer to the point between two saccades, during which the eyes are relatively stationary and virtually all visual input occurs and (2) saccades, denoting swift eye movements between fixations, enabling the transition of eye-gaze from one point to another5. Different research on eye tracking area focuses on diverse parameters, including average fixation duration, time to first fixation, saccade length, total number of fixations or saccades, pupil size, blink frequency, etc.5,10. According to scientific literature, number of fixations and average duration of fixations indicate the level of overt visual attention that a participant invests in a stimulus, i.e., the level of “cognitive effort”11,12,13,14,15.
Regarding eye data quality, it is usual to carry out a calibration process prior to the study task. Typically, the participant fixes gaze on a series of target-stimuli (crosses, dots, etc.), so that the software can produce an individualized eye model ensuring accuracy and precision of the data recorded afterwards16. Accuracy of eye tracking data is the mean difference between gaze positions identified near a target stimulus and the actual position of that target (e.g., a cross); Precision of eye tracking data is defined as the dispersion, measured either by the standard deviation between data samples or the root mean square of the distance between samples17. The greater accuracy and precision values, the poorer eye data quality. Finally, data loss is an additional measure of eye tracking data quality. Data loss can be defined as the percentage or proportion of eye data samples that lack coordinates for gaze localization18. Finding a data loss of 0 is extremely challenging, given that some samples are always lost due to participants blinking or shifting their gaze away from the monitor, particularly using screen-based eye trackers19.
Moreover, in eye tracking research, it is standard practice to identify Areas of Interest (AoIs): specific regions within stimuli that are of particular significance and contribute key information to the analysis10. For example, in a math operation, AoIs could be the numbers and the operator. It is important to consider that size of AoIs influences many eye tracking measures. The number of fixations tends to rise in larger AoIs, potentially leading to misinterpretations of the data. This problem could be avoided by setting AoIs with the same size10.
In the systematic review by Strohmaier et al.10, a total of 161 studies employing eye tracking devices are included to investigate different aspects related to mathematics. Some of them focus on arithmetic, numbers, and their representation on the number line20,21, others on the visual perception of geometric Figs.22,23, or on written arithmetic problems solving12,24, and studies focus on the relationship between eye movements and math anxiety25, etc. Most studies employing eye tracking technology to analyze aspects of children's mathematics focused on abilities such as estimating on the number line or the mental representation of numbers and operations in space. For example, some studies have explored the relationship between gaze direction and mathematical operations, such as addition or subtraction, with findings suggesting a correlation between visualization and gaze direction to the right or left, respectively20,26. Additionally, other studies have investigated differences in eye tracking strategies during number line estimation tasks between students with and without mathematics learning difficulties27.
Thus, there are limited studies that specifically analyze visual tracking during visually presented mental arithmetic calculations, differentiating between the number and duration of eye fixations across various AoIs. Moreover, the Strohmaier’s10 systematic review disclosed that most eye tracking studies reported little data on eye movements data quality. That is, 29% of the studies did not mention a calibration procedure and only 12% of these studies reported their study specific data quality, i.e., accuracy, precision, and data loss. Both manufacturer-specified accuracy and study-specific data quality are quite relevant, because depending on the stimulus design and the required precision, this can negatively affect data quality10. This highlights the necessity for additional studies in this research field, which should also include the reporting of results regarding eye movements data quality.
Considering the theoretical framework outlined, there are still several unresolved scientific questions in the field of eye tracking research on mathematical cognition, especially regarding eye tracking specific studies on mental arithmetic in children. In this study, the primary focus was on demonstrating the utility of eye tracking in exploring mathematical cognition, specifically in fifth and sixth-grade students undertaking a computerized mental arithmetic task. Given the broader purpose of the study, we have identified the subsequent specific objectives:
-
1.
To analyze the quality of eye movements data captured while fifth and sixth-grade primary school students sample engage in a computerized mental arithmetic task.
-
2.
To explore the disparities in visual tracking between several AoIs concerning mental arithmetic operations in fifth and sixth-grade primary school students.
-
3.
To examine the correlation between the performance of mental arithmetic tasks and the recorded eye tracking parameters.
Methods
Participants
Participants were 18 fifth and sixth graders of Primary School, 11 male and 7 female students with an age range of 10 to 12 years. Participants attended two schools located in Cadiz province (Andalusia, Spain), in two cities from 95.000 to 117.000 inhabitants with a medium–low socioeconomic level. Within the group of 18 participants, 6 had low mathematical performance rate, below 78 points (after the TEDIMATH-Grands28), 6 average rate (88 to 121 points), and 6 high rate (over 132 points). Students sample correlated with classrooms diversity in mathematic achievement. The limited sample size is attributed to the scope of this research, which aims to assess within this specific population the usefulness of eye tracking in the study of mathematical cognition, specifically mental arithmetic using a computerized calculation task, and thus lay the groundwork for initiating a larger-scale project in this specific research area.
School administrators and teachers were updated about the whole current research procedure and informed consent. Then, written informed consent from participants' families was required. All of them were informed that the eye tracking device is non-invasive, and the participants are not even aware that their eye movements are being recorded. The study was conducted in accordance with the Declaration of Helsinki and approved by the University of Cadiz Ethics Committee (Ref. 003-2022; 29/07/2022).
Instruments
Computer task. A computerized test composed of 27 mathematical operations, with three difficulty levels, was used in this study. The easy level was composed by 12 items, medium level by 9 items and difficult level by 6 items. Math facts included additions (8 tasks), subtractions (8 tasks), multiplications (6 tasks), and divisions (5 tasks). Participants first read the math-facts stimuli on the computer screen; second, they pressed the space key when they knew the answer; Finally, they spoke out their responses, allowing the examiner to capture them in writing. The computer task was designed using the Tobii Studio software. Different AoIs were defined for each item, including numbers, operator, and unknown quantity (answer space). Each of the AoIs spanned 4º of visual angle (164 px). Within them, numbers spanned 3º of visual angle (124 px) and operators 2º (86 px). Answer space spanned the AoI size. We aimed to maintain a consistent size for the AoIs to prevent potential data distortions arising from this factor. This approach enabled the analysis of fixation count and average fixation duration within each AoI, as well as comparisons of these eye tracking parameters across the four defined AoIs.
Eye tracking device. A non-invasive Eye tracking device (Tobii Pro Fusion Eye Tracker, Tobii Pro AB, Stockholm) was used. This is a sensor placed on the computer screen that does not require glasses or other external tools to record the participants' eye movements. Specifically, it is a sensor fixed beneath a computer screen, featuring two eye tracking cameras for recording eye movements at a sampling rate of 250 Hz, the maximum sampling rate allowed by this eye tracker. The device takes up to 250 images per second and it delivers high-quality gaze data. To connect the eye tracker to the computer it is only necessary an easy USB or USB-C connectivity. The laptop screen where the sensor was attached was 15.6 inches and had the maximum resolution allowed by the device (1366 × 768 pixels). Eye tracking device allows record number of fixations and average fixation duration in AoIs.
Math assessment. TEDI-MATH Grands. Diagnostic Test of Basic Math Skills for Children in Grades 2–528 was used to assess participants’ math competency in a larger sample and select from it the participants of the present study. The TEDI-MATH Grands battery assesses basic mathematical skills in children from the third year of Primary Education (8–9 years old) to the first year of Secondary Education (12–13 years old). It is a standardized and theoretically grounded battery, designed by Noël and Grégoire28, that proves useful for identifying students' difficulties in basic mathematical competencies. It consists of four main task-blocks: number processing (including decimals and fractions), calculation, problem-solving, and geometry. All the information provided by this battery allows the identification of the strengths and weaknesses of the student, facilitating the design of a specific and individualized intervention29. The TEDIMATH was only used to select 18 participants from a larger sample and distribute them in equal-sized groups according to their test scores: high score (33.3 \(3\)%), medium score (33.3\(3\)%), and low score (\(33.33\text{\%}).\)
Procedure
The computer task was individually administered, in an empty and silent room, during school time. A team member, trained specifically in eye tracking, conducted the experiment with the participants. The task administration protocol followed strict rules, taking into account the following recommendations from literature: maintaining constant light conditions in all participants (same room, seat, time slot and blind placement), using the same brightness and color for all stimuli so as not to affect pupillary dilation (black background and white stimuli), excluding participants with glasses, contact lenses or other visual problems, as well as participants with obvious signs of sleepiness or fatigue, and maintaining the same distance between all participants and the screen, i.e., 60 cm17,30.
Participants were seated at a comfortable table facing the computer, at approximately 60 cm to the screen. The eye-tracker used calculate the distance at which the participant looks at the screen based on the gaze vectors intersection of the two eyes, adjusting for small variations in distance during recording. It has a valid distance range from 50 to 80 cm for the participant position to the tracker19. During the first 5 min, focus was on reducing student behavioral activation and then initiating calibration. The calibration procedure was binocular and consisted of a 5 dot presentation. Each participant performed it just before the mental arithmetic task, as many times as necessary until proper calibration is achieved. First, participants had to stare at 5 targets that were sequentially displayed on the screen. Then, the software used the collected data to optimize the ocular model and, finally, they fixed their gaze on 5 static targets. The eye model obtained compensated for drift, so the calibration was done only before starting to collect data. Just before the task, the student received instructions to remain still, avoid hand movements in front of the face, and solve the operations by observing the screen. No control device such as headrest was used, so the participants’ head was free. Participants followed these guidelines and engaged in the task.
Quantification and statistical analysis
Firstly, the metrics recorded in this research are highlighted below. Concerning the first specific objective, three metrics were examined: accuracy, precision, and data loss. Regarding the second specific objective, two eye tracking metrics were opted for: number of fixations and average fixation duration in AoIs. About the third objective, three metrics were considered: success rate in the mental arithmetic task, number of fixations and average fixation duration in AoIs. In tables that involve these metrics, “M” means “Mean”, “SD” means Standard Deviation, “Md” means “Median” and “Range” refers to “Range” literally.
Students' results on those metrics were recorded in a SPSS software data base. Due to the sample size (n = 18) and the normality and homoscedasticity tests results, statistics calculated were nonparametric ones, including descriptive statistics, means comparison, and differences significance contrast. Specifically, to answer the first research question, descriptive statistics were reported. Mean and standard deviation were calculated for three eye movements data quality measures: accuracy, precision, and data loss.
To answer the second research question, nonparametric analyses were performed. To examinate eye movements differences between AoIs, descriptive statistics and Friedman test were performed. Wilcoxon test was calculated to examinate where these differences were found. Finally, the effect size was calculated for all significant differences.
In response to the research question, additional nonparametric analyses were conducted. The Spearman test was used to examine the correlation between task performance (behavioral level) and eye tracking parameters (eye movements level). This test was utilized to assess the correlation between success rate and number of fixations in the four defined AoIs, as well as to examine the correlation between success rate and average fixation duration in the four defined AoIs.
Results
Eye movements data quality
Manufacturer's specifications for the eye tracking device used (Tobii Pro Fusion Eye Tracker, Tobii Pro AB, Stockholm) specify that, under optimal assessment conditions, the accuracy should be 0.3°, while the precision should be 0.2° (RMS).
The values for calibration and validation accuracy and precision, measured in degrees, for each of the 18 participants in this study, can be found in Table 1. Calibration accuracy and precision data refer to the first phase of the calibration task, while validation accuracy and precision data refer to the third phase. In the second phase, the calibration task is performed again to ultimately validate the ocular model data. Finally, validation data represent an estimate of accuracy and precision that can be expected during recording. Rather than displaying participants' personal data, the code assigned to them in the database is presented. Every value reflects accuracy and precision data that meet the manufacturer’s standards. [accuracy around 0.3° or lower, and precision around 0.2° or lower (RMS)]. The average calibration validation accuracy for all participants was 0.27º (SD = 0.04) and the average calibration validation precision for all participants was 0.15º (SD = 0.04). These data also meet the manufacturer’s standards.
The measure of data loss is defined as the percentage or proportion of eye data samples without coordinates for gaze localization18. In this study, we calculated the percentage of data samples where the export files indicated that the participant's gaze coordinates were not detected ('eyes not found'). This was performed for each of the 18 participants. The average data loss for the total sample was 16.84% (SD = 4.71), a fully expected data loss according to study and participant’s characteristics, since they were school-age children, and no eye tracking glasses or other eye movement control device such as headrest were used.
Correlation between task performance and eye tracking parameters
This section reports the relationship between the task success rate and two eye tracking parameters: number of fixations and average fixation duration. The eye tracking parameters are reported for each of the four defined AoIs. The success rate represents the proportion of correct responses for the entire task. Table 2 shows the direction and magnitude of the correlations between variables.
NF Number of fixations; AFD Average fixation duration; **. p < 0.01.
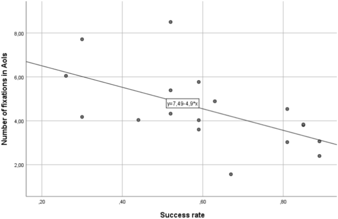
Spearman’s Rho coefficient indicated negative and significant correlation between task success rate and number of fixations. Specifically, such correlation has been observed between success rate and number of fixations in two of the defined AoIs: the first and the second number (rs = − 0.727; p < 0.01; rs = − 0.629; p < 0.01). Non-significant negative correlations were also observed between success rate and number of fixations in the operator and in the answer space. Regarding average fixation duration, negative correlations were found between success rate and fixation duration in all AoIs, however, none of these correlations were found to be significant.
Therefore, considering number of fixations in all AoIs together, a negative correlation has been observed between number of fixations and success rate (see Fig. 1). The higher success rate, the lower number of fixations in the four AoIs defined.
Correlation between number of fixations in AoIs and success rate.
Eye movements differences between AoIs
Below we reported the eye movements differences between the four AoIs established for each of the 27 math operations. Descriptive statistics in number of fixations and average fixation duration between AoIs are displayed in Table 3.
Chi-square analyses indicated significant differences between AoIs on number of fixations and average fixation duration (p < 0.001, see Table 3). The first number involved in the mental arithmetic operations has both the highest number of fixations and the longest average fixation duration, followed by the second number, the operator, and finally the answer space.
With respect to number of fixations, Table 4 shows that the differences were significant between the answer space and the second number; between the answer space and the first number; between the answer space and the operator; between the two numbers; between the operator and the second number; and between the operator and the first number. In all cases, the effect sizes were large, except for the differences between the two numbers.
Regarding average fixation duration, Table 5 shows that the differences were significant between the answer space and the second number; between the answer space and the first number; between the answer space and the operator; between the two numbers; between the operator and the second number and between the operator and the first number. The effect sizes were large in all cases, except for the differences between the two numbers and for the differences between the operator and the second number where the effect size was small. All these differences above about number of fixations and average fixation duration can be observed in Fig. 2.
Differences in number of fixations and average fixation duration between Areas of Interest: graphical representation.
Discussion
On eye tracking data quality, current literature does not offer concrete cut-off points to consider whether eye tracking data quality is acceptable or not. Indeed, it is a decision that the researcher needs to make, considering various factors such as the scope of the study, the size of stimuli, and so on30. Some studies using screen-based eye tracking devices reported extremely different accuracy values, between 1° and 2° or even higher, as well as precision values, between 0.1° and 0.2º17,18,31. Regarding data loss, it is extremely unlikely to find values of 0, as some samples are consistently lost due to participants blinking or diverting their gaze away from the monitor, especially with screen-based eye trackers19. Data loss, like accuracy and precision, differs between eye trackers. According to Holmqvist's18 revision, some screen-based eye trackers such as the Tobii T60 XL or Tobii TX300 showed 15% or more data loss. However, other studies have found different values even for the same eye tracker, e.g. 10% data loss for the Tobii TX3004.
Accuracy and precision of the eye tracking data are particularly relevant in this study, as the AoIs for the task span 4° of visual angle (165 px) and could not be considered large enough. Literature indicates that AoIs occupying less than 8º of visual angle or not considerably distanced from each other may require accuracy results below that of 0.5º, i.e., in this type of stimulus even values from 0.5º to 1º can be critical in the correct analysis of eye tracking data31. This is an important issue for this study that further supports the quality of the data. That is, although the AoIs’ size is small, precision and accuracy data have always been shown even below 0.5º.
This study results regarding eye movements data quality reflected accuracy and precision values that were around or below the manufacturer-specified values and the reference literature ones. This finding extends to data loss as well. All eye tracking quality data were noted for each participant, corroborating that all participants met the acceptable criteria for data quality. Furthermore, results on data quality are particularly encouraging considering that participants were school-age children. That is, for teachers and researchers it’s hard to make children report their way of carrying out some automatic processes such as reading or solving mathematical calculations. Children find it difficult to answer question on how or what they did, and eye tracking can helps understand their learning process32.
Finally, as indicated in theorical framework, eye tracking data should be treated with caution because EMA hypothesis is not always fulfilled7. Consequently, there is a demand to increase the number of studies using controlled contexts such as computerized visually presented cognitive tasks that allow inferences to be made with greater certainty9, and studies that offer in-depth information on the quality of recorded eye data. The present study meets these characteristics, which allows us to discuss and interpret the results below.
On the other side, the relationship between task performance and eye tracking parameters is valuable because it can provide insights into the underlying cognitive processes involved in completing the task. Additionally, we can analyze how participants allocate their attention while performing a task, helping to identify which aspects of the task are most salient or demanding for participants.
According to the data gathered in this study, task performance correlates negatively and significantly with number of fixations on the elements of the calculations that contain the numerical information necessary for their resolution. On the other hand, regarding the correlation between task performance and average fixation duration, a similar tendency has been observed, but it has not been substantiated to be significant in any case.
These results are consistent with previous literature, as number of fixations is an indicator of the level of overt visual attention or depth in information processing12,14. Essentially, participants who demonstrated greater proficiency and performed well on the task required fewer attentional resources in the calculations AoIs to complete the task33. In addition, there is general agreement in interpreting longer fixations as indicators of greater cognitive effort25, or greater task difficulty34. However, some research suggests that more skilled individuals show lower fixation durations than other participants because they extract relevant information more efficiently35 while other research suggest that more skilled individuals may exhibit higher fixation durations because they can identify which elements require more attentional resources to reach the correct solution36. As indicated, the literature relating eye tracking parameters to task performance is more consistent with respect to the number of fixations than with respect to fixation duration. This could explain why the correlation is only significant for the number of fixations. These inconsistencies in the literature, together with the sample size, may explain the finding of a tendency towards a negative correlation between fixation duration and task performance that is not significant. Future studies could investigate whether there really is such a negative correlation between fixation duration and task performance, or whether it is positive or does not exist at all. The former can be explained by the fact that effective parafoveal processing can reduce the need for prolonged fixation on a single point, thereby making the process of visual scanning more efficient8. Hence, it is reasonable to assume that conclusive findings on fixation duration have not yet been obtained, indicating the necessity for further studies, also studying the influence of parafoveal processing in solving arithmetic task, since most studies on parafoveal processing are focused on reading37,38. A possible explanation for the correlation between performance and duration of fixations not being significant may be the inconsistency in the fixation duration tendency. In other words, longer fixations afford the visual system additional time to process information from the parafoveal region, potentially improving recognition of remaining stimuli, so that longer fixation duration may result likewise in reduced fixation durations on these other Areas of Interest. Either way, these results show eye tracking technology as a very promising tool for exploring mathematical cognition and its wide range of scientific questions.
Finally, the rationale for studying eye movements differences between AoIs lies in understanding how individuals visually process and allocate attention during tasks. Understanding how individuals distribute their gaze across different elements of a calculation can provide valuable information about task complexity, cognitive load, and efficiency. In this study, the results reflected significant differences in both number of fixations and average fixation duration between the four defined AoIs. Specifically, the highest number of fixations and the highest average fixation duration were found in the first operand (located on the left), followed by the second operand (located on the right), the operator, and finally the answer space.
This is consistent with previous studies that registered their participants' eye movements during performance of a computerized task. Ganor-Stern and Weiss39 used multiplication calculations presented horizontally and found longer eye fixation duration on the first number (located on the left), followed by the second number (located on the right), and finally shorter eye fixation duration on other stimulus features such as the reference number or the multiplication symbol.
Curtis et al.40 used an arithmetic task composed of additions, subtractions, multiplications, and divisions, with some calculations categorized as "large" and others as "small" based on the result magnitude. They established three AoIs: first number, operator, and second number. These authors found that, in "small" calculations, participants showed a greater number and fixation duration on the operator, followed by the second number and finally the first number; while in "large" calculations, participants showed a higher number and fixation duration on the two numbers in a similar way, and a smaller number and fixation duration on the operator.
Huebner and LeFevre41 used a subtraction calculations task, also categorized into "large", if at least one of their operands was higher than 10, or "small", if both operands were less than 10. They found a greater number of fixations and longer fixation duration on the operator for "small" or simple subtraction calculations, and a similarly greater number of fixations and fixation duration on the two operands for "large" or more complex subtraction calculations. In short, in straightforward calculations fixating on the operator suffices, whereas, in more intricate calculations, numbers demand a more extensive visual processing. So, all these studies interpreted differences in number or duration of fixations as variations in the level of overt visual attention and cognitive effort between different areas of a mathematical operation.
Ultimately, this study has aimed to demonstrate the usefulness of eye tracking in mathematical cognition analysis, with a specific focus on fifth and sixth-grade students performing a computerized mental arithmetic task. The study was structured to present not only the eye tracking results but also a thorough evaluation of the quality of eye movements data. The following is a summary of the study's findings. Considering the evaluation process conditions, the manufacturer's specifications and the literature data on accuracy, precision, and data loss, the eye tracking data quality in this study can be considered sufficient to report the results found. These results reflect that using an eye tracking device allows register quality eye movements data when evaluating fifth and sixth primary school graders during the performance of a computerized mental arithmetic task. In addition, a significant negative correlation between performance results and number of fixations in AOIs has been found. Finally, the eye movements differences found between AoIs reflect that different areas of arithmetic calculations involve different visual tracking, resulting in varying levels of overt visual attention and cognitive effort.
All mentioned earlier, far from constituting a decisive conclusion on mathematical cognition, establishes evidence of the usefulness of eye tracking as an assessment tool in this area. In other words, this study results suggest that it is possible to use an eye tracker to record the fifth and sixth primary school graders’ eye movements and to find significant eye movements differences between the different AoIs of the calculations, as well as a correlation between performance and eye tracking measures. This has important implications for educational practice because eye tracking technology make it possible to identify which elements involve more attentional resources when solving an arithmetic calculation and therefore which ones should be given priority in teaching. Furthermore, the eye movements assessment opens up multiple possibilities, including the comparison of students with different educational needs and difficulties or different teaching methodologies. Specifically, eye tracking assessment could be used to analyze visual and cognitive strategies for solving mental arithmetic tasks, and thus identify which students have difficulties and where in the solving sequence those difficulties are located. This supports the potentiality of using computerized calculation tasks and an eye tracking device as an evaluation tool in future research.
Some limitations can be put forward. First, the sample of students is small which means results are less generalizable to the population at large. However, this allowed for viewing accuracy and precision at an individual level. Additionally, we accounted for the smaller sample size by means of non-parametric testing. Secondly, only one type of eye-tracker was used, which limited the generatability to this type of apparatus. Future research could include and compare different types, to determine whether certain features or qualities allow for better eye tracking data in children. Finally, the possibility of conducting similar but larger studies with participants who have severe difficulties in learning mathematics is highlighted, in order to verify that the data maintain their quality in this population and that it is possible to find differences between these participants and participants without difficulties. These studies could be carried out considering different groups of participants of different educational level, as well as taking into account the influence of cognitive variables such as memory or mental load to discuss and interpret the results. It would also be appropriate to include other eye tracking parameters such as regressions42, pupil size43, velocity peak44, etc., since they are a critical indicator of cognitive processes and problem-solving difficulties during math tasks. This kind of analysis could enrich the understanding of participants' cognitive processes and strategies during the math tasks. In any case, the research possibilities using eye tracking devices are very wide-ranging.
Data availability
Relevant raw data on which the conclusions of the paper rely will be freely available to any researcher wishing to use them for non-commercial purposes, without breaching participant confidentiality. The database with participant codes and eye data will be presented as additional supporting file if necessary.
References
Al-Azawai, M. The application of eye tracking in consumer behaviour. Int. J. Eng. Technol. 8(1.12), 83–86 (2019).
Schroeder, S., Hyönä, J. & Liversedge, S. P. Developmental eye tracking research in reading: Introduction to the special issue. J. Cognitive Psychol. 27(5), 500–510. https://doi.org/10.1080/20445911.2015.1046877 (2015).
Lahey, J. N. & Oxley, D. The power of eye tracking in economics experiments. Am. Econ. Rev. 106(5), 309–313. https://doi.org/10.1257/aer.p20161009 (2016).
Hessels, R. S. & Hooge, I. T. Eye tracking in developmental cognitive neuroscience-The good, the bad and the ugly. Dev. Cognitive Neurosci. 40, 100710. https://doi.org/10.1016/j.dcn.2019.100710 (2019).
Alemdag, E. & Cagiltay, K. A systematic review of eye tracking research on multimedia learning. Comput. Edu. 125, 413–428. https://doi.org/10.1016/j.compedu.2018.06.023 (2018).
Just, M. A. & Carpenter, P. A. Eye fixations and cognitive processes. Cognitive Psychol. 8(4), 441–480. https://doi.org/10.1016/0010-0285(76)90015-3 (1976).
Schindler, M. & Lilienthal, A. Eye tracking for studying mathematical difficulties: Also in inclusive settings. Proc. Annu. Meet. Int. Gr. Psychol. Math. Edu. (PME-42) 4, 115–122 (2018).
Schotter, E. R., Angele, B. & Rayner, K. Parafoveal processing in reading. Atten. Percept. Psychophys. 74, 5–35. https://doi.org/10.3758/s13414-011-0219-2 (2012).
Obersteiner, A. & Tumpek, C. Measuring fraction comparison strategies with eye tracking. ZDM-Math. Edu. 48(3), 255–266. https://doi.org/10.1007/s11858-015-0742-z (2015).
Strohmaier, A. R., MacKay, K. J., Obersteiner, A. & Reiss, K. M. Eye tracking methodology in mathematics education research: A systematic literature review. Edu. Stud. Math. 104, 147–200. https://doi.org/10.1007/s10649-020-09948-1 (2020).
Behe, B. K., Bae, M., Huddleston, P. T. & Sage, L. The effect of involvement on visual attention and product choice. J. Retail. Consum. Serv. 24, 10–21. https://doi.org/10.1016/j.jretconser.2015.01.002 (2015).
Dewolf, T., Van Dooren, W., Hermens, F. & Verschaffel, L. Do students attend to representational illustrations of non-standard mathematical word problems, and if so, how helpful are they?. Instr. Sci. 43(1), 147–171. https://doi.org/10.1007/s11251-014-9332-7 (2015).
Hodds, M., Alcock, L. & Inglis, M. Self-explanation training improves proof comprehension. J. Res. Math. Edu. 45(1), 62–101. https://doi.org/10.5951/jresematheduc.45.1.0062 (2014).
Sillero-Rejon, C., Maynard, O. & Ibanez-Zapata, J. A. Visual attention towards alcoholic beverage labeling: An exploratory study based on eye tracking. Addictions 32(3), 202–207. https://doi.org/10.20882/adicciones.1207 (2019).
Van der Laan, L. N., Papies, E. K., Hooge, I. T. & Smeets, P. A. Goal-directed visual attention drives health goal priming: An eye tracking experiment. Health Psychol. 36(1), 82. https://doi.org/10.1037/hea0000410 (2017).
Rosengren, W., Nyström, M., Hammar, B. & Stridh, M. A robust method for calibration of eye tracking data recorded during nystagmus. Behav. Res. Methods 52, 36–50. https://doi.org/10.3758/s13428-019-01199-0 (2020).
Nyström, M., Andersson, R., Holmqvist, K. & Van De Weijer, J. The influence of calibration method and eye physiology on eye tracking data quality. Behav. Res. Methods 45, 272–288. https://doi.org/10.3758/s13428-012-0247-4 (2013).
Holmqvist, K. (2017). Common predictors of accuracy, precision, and data loss in 12 eye-trackers. In The 7th Scandinavian workshop on eye tracking (pp. 1–25). https://doi.org/10.13140/RG.2.2.16805.22246
Tobii Pro, A. B. Tobii Pro Lab User Manual (Version 1.232) (Tobii Pro AB, 2023).
Klein, E., Huber, S., Nuerk, H.-C. & Moeller, K. Operational momentum affects eye fixation behavior. Q. J. Exp. Psychol. 67(8), 1614–1625. https://doi.org/10.1080/17470218.2014.902976 (2014).
Salvaggio, S., Masson, N. & Andres, M. Eye position reflects the spatial coding of numbers during magnitude comparison. J. Exp. Psychol. Learn. Mem. Cognit. 45(10), 1910–1921. https://doi.org/10.1037/xlm0000681 (2018).
Chen, Q. & Li, J. Association between individual differences in non-symbolic number acuity and math performance: A meta-analysis. Acta Psychologica 148, 163–172. https://doi.org/10.1016/j.actpsy.2014.01.016 (2014).
Lee, W. K. & Wu, C. J. Eye movements in integrating geometric text and figure: Scanpaths and givennew effects. Int. J. Sci. Math. Edu. 16, 699–714. https://doi.org/10.1007/s10763-016-9790-2 (2018).
Albarracín, L. & Hernández-Sabaté, A. The potential of the eye-tracker as a tool to study mathematical reasoning: An experience using video games. Res. Technol. Environ. Math. Edu. 1, 1–8. https://doi.org/10.7203/ietem.1.16285 (2020).
Hunt, T. E., Clark-Carter, D. & Sheffield, D. Exploring the relationship between mathematics anxiety and performance: An eye tracking approach. Appl. Cognitive Psychol. 29(2), 226–231. https://doi.org/10.1002/acp.3099 (2015).
Hartmann, M., Mast, F. W. & Fischer, M. H. Spatial biases during mental arithmetic: Evidence from eye movements on a blank screen. Front. Psychol. 6, 12. https://doi.org/10.3389/fpsyg.2015.00012 (2015).
Van’t Noordende, J. E., van Hoogmoed, A. H., Schot, W. D. & Kroesbergen, E. H. Number line estimation strategies in children with mathematical learning difficulties measured by eye tracking. Psychol. Res. 80, 368–378. https://doi.org/10.1007/s00426-015-0736-z (2016).
Noël, M. P. & Grégoire, J. Test diagnostique des compétences de base en mathématiques pour les enfants du CE2 à la 5ème (Édition du Centre de Psychologie Appliquée, 2015).
Noël, M. P. L’évaluation des capacités numériques et arithmétiques chez les plus grands enfants: la batterie Tédimath Grands. Rééduc. Orthoph. 270(1), 129–143 (2017).
Dunn, M. J. et al. Minimal reporting guideline for research involving eye tracking (2023 edition) 1–7 (Behavior research methods, 2023). https://doi.org/10.3758/s13428-023-02187-1.
Blignaut, P., Holmqvist, K., Nyström, M. & Dewhurst, R. Improving the accuracy of video-based eye tracking in real time through post-calibration regression. Curr. Trends Eye Track. Res. https://doi.org/10.1007/978-3-319-02868-2_5 (2014).
Knoop-van Campen, C. A. et al. How teachers interpret displays of students’ gaze in reading comprehension assignments. Frontline Learn. Res. 9(4), 116–140. https://doi.org/10.14786/flr.v9i4.881 (2021).
Lin, J. J. H. & Lin, S. S. J. Tracking eye movements when solving geometry problems with handwriting devices. J. Eye Mov. Res. 7(1), 1–15. https://doi.org/10.16910/jemr.7.1.2 (2014).
Andrzejewska, M. & Stolinska, A. Comparing the difficulty of tasks using eye tracking combined with subjective and behavioural criteria. J. Eye Mov. Res. 9(3), 1–16. https://doi.org/10.16910/jemr.9.3.3 (2016).
Gegenfurtner, A., Lehtinen, E. & Säljö, R. Expertise differences in the comprehension of visualizations: A meta-analysis of eye-tracking research in professional domains. Edu. Psychol. Rev. 23(4), 523–552. https://doi.org/10.1007/s10648-011-9174-7 (2011).
Fleig, H., Meiser, T., Ettlin, F. & Rummel, J. Statistical numeracy as a moderator of (pseudo)contingency effects on decision behavior. Acta Psychologica 174, 68–79. https://doi.org/10.1016/j.actpsy.2017.01.002 (2017).
Andrews, S. & Veldre, A. What is the most plausible account of the role of parafoveal processing in reading?. Lang. Linguist. Compass 13(7), e12344. https://doi.org/10.1111/lnc3.12344 (2019).
Pan, Y., Frisson, S. & Jensen, O. Neural evidence for lexical parafoveal processing. Nat. Commun. 12(1), 5234. https://doi.org/10.1038/s41467-021-25571-x (2021).
Ganor-Stern, D. & Weiss, N. Tracking practice effects in computation estimation. Psychological Res. 80, 434–448. https://doi.org/10.1007/s00426-015-0720-7 (2016).
Curtis, E. T., Huebner, M. G. & LeFevre, J. A. The relationship between problem size and fixation patterns during addition, subtraction, multiplication, and division. J. Numer. Cogn. 2, 91–115. https://doi.org/10.5964/jnc.v2i2.17 (2016).
Huebner, M. G. & LeFevre, J. A. Selection of procedures in mental subtraction: Use of eye movements as a window on arithmetic processing. Can. J. Exp. Psychol. 72(3), 171–182. https://doi.org/10.1037/cep0000127 (2018).
Hyönä, J. The use of eye movements in the study of multimedia learning. Learn. Instr. 20(2), 172–176. https://doi.org/10.1016/j.learninstruc.2009.02.013 (2010).
Joshi, S. & Gold, J. I. Pupil size as a window on neural substrates of cognition. Trends Cognitive Sci. 24(6), 466–480. https://doi.org/10.1016/j.tics.2020.03.005 (2020).
Bachurina, V. & Arsalidou, M. Multiple levels of mental attentional demand modulate peak saccade velocity and blink rate. Heliyon 8(1), e08826. https://doi.org/10.1016/j.heliyon.2022.e08826 (2022).
Acknowledgements
We thank parents, tutors, school principals, teachers, and participating students for their collaboration.
Funding
This work was supported by the Ministry of Science and Innovation Spanish Government Grants (MCIN/AEI/FEDER Next Generation EU Reference: PID2019-105584 GB-I00 and PID2022-137441NB-I00).
Author information
Authors and Affiliations
Contributions
Conceptualization, M.M.P, J.J.G, and C.A.N.K; Methodology, F.L.S, M.M.P and J.J.G; Formal analysis, M.M.P, C.A.N.K, and F.L.S; Investigation, M.M.P and J.I.N.G; Resources, J.J.G; Writing the original draft, M.M.P; Writing the Editing manuscript, M.M.P, J.I.N.G, J.J.G, and C.A.N.K; Supervision, M.M.P; Project Administration, J.I.N.G.; Funding Acquistion J.I.N.G and J.J.G. All authors reviewed the manuscript.
Corresponding author
Ethics declarations
Competing interests
The authors declare no competing interests. The authors declare that the research was conducted in the absence of any commercial, financial, or non-financial relationships that could be construed as a potential conflict of interest.
Additional information
Publisher's note
Springer Nature remains neutral with regard to jurisdictional claims in published maps and institutional affiliations.
Rights and permissions
Open Access This article is licensed under a Creative Commons Attribution-NonCommercial-NoDerivatives 4.0 International License, which permits any non-commercial use, sharing, distribution and reproduction in any medium or format, as long as you give appropriate credit to the original author(s) and the source, provide a link to the Creative Commons licence, and indicate if you modified the licensed material. You do not have permission under this licence to share adapted material derived from this article or parts of it. The images or other third party material in this article are included in the article’s Creative Commons licence, unless indicated otherwise in a credit line to the material. If material is not included in the article’s Creative Commons licence and your intended use is not permitted by statutory regulation or exceeds the permitted use, you will need to obtain permission directly from the copyright holder. To view a copy of this licence, visit http://creativecommons.org/licenses/by-nc-nd/4.0/.
About this article
Cite this article
Porras, M.M., Campen, C.A.N.Kv., González-Rosa, J.J. et al. Eye tracking study in children to assess mental calculation and eye movements. Sci Rep 14, 18901 (2024). https://doi.org/10.1038/s41598-024-69800-x
Received:
Accepted:
Published:
Version of record:
DOI: https://doi.org/10.1038/s41598-024-69800-x




