Abstract
The aim of this study was to observe the effects of different conditioning regimens on fine immune indices after microtransplantation (MST) in patients with acute myeloid leukaemia (AML). This article discusses the possible immune mechanism of microtransplantation and describes a more optimized conditioning regimen. A total of 55 AML patients who received MST treatment at the Second Hospital of Lanzhou University from August 2015 to October 2023 were included in this study, and 13 AML patients who did not receive MST but directly received the maintenance therapy were included as the control group (C). The MST patients were divided into a conditioning regimen with venetoclax group (A) and a conditioning regimen without venetoclax group (B). The fine immune indices were detected by flow cytometry and cytometric bead array analysis. Changes in the immune indices before and after treatment were observed, and the progression-free survival (PFS) and overall survival (OS) of patients in the MST group were analysed. Compared with those in Group B, patients in Group A had better PFS and OS. The proportion of Treg cells and the expression level of IL-2 were increased, while TNF-α and IFN-α were decreased after MST (P < 0.05). In Group B, total T cells, CD4+T cells and CD4+/CD8+T cells decreased; NK cells and total B cells increased; and IL-17A first increased and then decreased during the MST (P < 0.05). There were significant differences in total B cells, IL-4 and IFN-γ between Group A and Group B during MST. Moreover, there were significant differences in total T cells, CD4+T cells, Treg cells, IL-17A, IFN-γ and IL-2 between the patients in the MST group and those in the control group (P < 0.05). The MST conditioning regimen containing venetoclax significantly changed the fine immune indices and showed improved efficacy, which is worthy of further study and clinical application.
Similar content being viewed by others
Introduction
Currently, the main treatment for acute myeloid leukaemia (AML) is chemotherapy and haematopoietic stem cell transplantation1,2,3. Although new chemotherapeutic drugs and targeted drugs have made good progress, they still cannot significantly prolong the survival of patients4,5. Although allogeneic haematopoietic stem cell transplantation (allo-HSCT) can prolong the survival of AML patients, this effect is often accompanied by severe graft-versus-host disease (GVHD) and infection6. After transplantation, patients receive GVHD prophylaxis6,7. Traditional bone marrow transplantation is not only highly toxic but also limited by many factors, such as economic status and age8,9. In recent years, microtransplantation (MST) technology has eliminated the toxicity of traditional transplantation, reduced the side effects of transplantation, and retained the graft-versus-leukaemia effect, making it highly efficient and minimally toxic. Haematopoietic stem cell transplantation is a treatment method that preserves the normal immune function of the recipient.
The first MST clinical trial study published in Blood in 2011 confirmed the efficacy and safety of MST in the treatment of AML10. The results of a multicentre study on MST in elderly AML patients in JAMA Oncology showed that MST reduced the recurrence rate and prolonged the survival time of elderly AML patients11. Guo et al.12 reported that MST also has a good therapeutic effect on young and middle-aged AML patients, with these treatment results characterized by rapid haematopoietic recovery, low nonrelapse mortality and no occurrence of GVHD during therapy. The main purpose of MST conditioning is to kill malignant cells and tumour cells while preserving the patient's immune system as much as possible. The traditional MST conditioning regimen mainly consists of medium- and high-dose cytarabine with or without decitabine. Venetoclax is a potent BCL-2 inhibitor with a good safety profile, a high response rate, and low haematologic toxicity when used to treat haematological malignancies13,14. Combining venetoclax with hypomethylating agents such as azacitidine and decitabine or cytarabine improves response rates and prolongs PFS in AML patients who are not suitable for intensive chemotherapy, as well as in elderly AML patients15,16.
The main focus of this study was to determine whether venetoclax can improve the efficacy of MST in the treatment of AML after the application of a conditioning regimen and whether there are changes in immune indices after the application of venetoclax. We optimized the treatment regimen for MST by reducing the dose of cytarabine and combining venetoclax and hypomethylating drugs. We observed the curative effect and changes in fine immune indices, explored the possible immune mechanism underlying the effect of MST, and screened for a better conditioning regimen.
Results
Patient characteristics
The clinical characteristics of the 55 patients treated with MST are shown in Table 1. The age distribution of the patients ranged from 8 to 69 years, with a median age of 45 years; 4 patients were aged ≥ 60 years, and 7 patients were aged ≤ 18 years. There were 31 females and 24 males. According to the FAB classification, there was 1 case of M0, 27 cases of M2, 4 cases of M4, 5 cases of M4EO, and 18 cases of M5 (Table 1).
There were 16 patients in Group A, whose age distribution ranged from 31 to 69 years, with a median age of 54.5 years; these patients included 6 males (37.5%) and 10 females (62.5%). The AML classification was as follows: M2: 5 patients, M4: 1 patient, M4EO: 4 patients, and M5: 6 patients. The risk stratification revealed 5 patients at low risk, 5 patients at medium risk and 6 patients at high risk.
There were 39 patients in Group B; the age distribution was 8–56 years, and the median age was 38 years. There were 17 males (42.9%) and 22 females (56.41%). The AML classification was as follows: M0, 1 patient; M2, 22 patients; M4, 3 patients; M4EO, 1 patient; and M5, 12 patients. The risk stratification revealed low risk in 20 patients, medium risk in 12 patients, and high risk in 7 patients.
Twenty-four patients achieved CR after one course of induction chemotherapy, 15 patients achieved CR after two courses of induction chemotherapy, 10 patients achieved CR after three or more courses of induction chemotherapy, 5 patients did not achieve CR, and 1 patient underwent MST directly without induction chemotherapy. A total of 49 patients achieved CR, and 6 patients did not achieve CR before MST.
Thirteen AML patients who did not receive MST and who received maintenance therapy after achieving CR were selected as the control group. The clinical characteristics of the patients in the control group are shown in Table 1; the age distribution ranged from 11 to 68 years, and the median age was 54 years. There was 1 female and 12 males. According to the FAB classification, 8 patients had M2, 2 patients had M4, and 3 patients had M5.
Safety analysis of MST
A total of 178 MSTs were performed in 55 patients. The overall safety was high, with no serious adverse reactions occurring, and no patient died during the MST. Three patients relapsed after the first course of MST and did not receive subsequent MST. One patient experienced an allergic reaction during the first course of MST and did not receive subsequent courses of MST. By the end of the follow-up, a total of 6 patients completed 1 course of MST, 8 patients completed 2 courses of MST, 8 patients completed 3 courses of MST, and 33 patients completed 4 courses of MST. In the process of MST, the most common complication was bone marrow suppression, which manifested as a reduction in three cell lineages. No acute or chronic GVHD, renal insufficiency, cardiac dysfunction, liver or kidney dysfunction, coagulation dysfunction, severe bleeding or other complications were observed during the treatment or follow-up period.
Efficacy and survival analysis
As of the follow-up date, 1 of the 55 patients dropped out, and 2 patients were lost to follow-up. The median PFS and OS of the 52 patients who were followed up were 20.5 (2-108) months and 28 (3-109) months, respectively. The estimated PFS rates for the entire cohort were 69% and 52% at Days 400 and 800, respectively, and the estimated OS rates were 77% and 60% at Days 400 and 800, respectively. In Group A, the estimated PFS rates at 400 and 800 days were 73% and 67%, respectively, and the estimated OS rates at 400 and 800 days were 80% and 73%, respectively (Fig. 1). In Group B, the estimated PFS rates at 400 and 800 days were 68% and 46%, respectively, and the estimated OS rates at 400 and 800 days were 77% and 54%, respectively (Fig. 1).
Kaplan‒Meier survival curve analysis. (a) PFS analysis of AML patients treated with MST. (b) OS analysis of AML patients treated with MST.
Comparison of lymphocyte subsets and Tregs at different times after stem cell infusion
Comparisons of lymphocyte subsets between Group A and Group B after the infusion of stem cells are shown in Fig. 2 and The proportions of CD4+T cells, NK cells and Tregs in Group A were greater than those in Group B (P < 0.05), and the proportions of CD8+T cells and total T cells were less than those in Group B (P < 0.05). The percentages of NK cells, Treg cells and total B cells in patients treated with MST (Group A and Group B) were greater than those in the control group (Group C) (P < 0.05).
Comparison of the lymphocyte subset analysis between groups at different times after microtransplantation.
In this study, there was no significant difference in the cytokine expression levels after different durations of stem cell infusion (Fig. 3).
Comparison of the cytokine levels between groups at different time points after microtransplantation.
Comparison of fine immune indices in different microtransplantation conditioning regimens
Analysis revealed that the proportion of Treg cells and the expression level of IL-2 in Group A (see Fig. 4 for details) increased, while the expression levels of TNF-α and IFN-α decreased after the infusion of stem cells. In Group B (Fig. 5), the proportions of total T cells, CD4+ cells and CD4+/CD8+ cells decreased, the proportions of NK cells and total B cells increased, and the expression level of IL-17 first increased and then decreased. All the above changes were statistically significant (P < 0.05).
Intragroup comparison of fine immune indices before and after microtransplantation in the venetoclax group.
Intragroup comparison of fine immune indices before and after microtransplantation in the cytarabine group.
We found that the proportions of total T cells, CD4+T cells, and Treg cells and the expression levels of IL-5, IL-6, IL-8, IL-10, and IL12p70 tended to decrease, while the proportion of CD8+T cells tended to increase in Group A after the infusion of stem cells. The proportion of Treg cells and the expression of IL-8 in Group B decreased, while the expression of IFN-α and IFN-γ increased. However, these differences were not statistically significant.
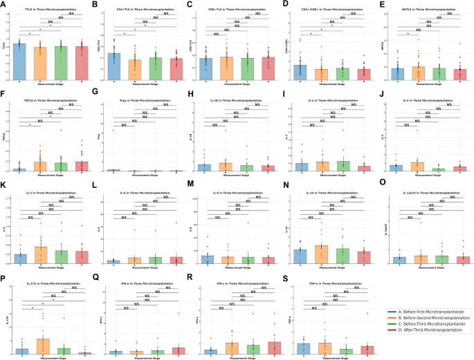
Comparison of the changes in fine immune indices of patients after different durations of stem cell infusion between groups
The results showed that the increase in the proportion of total B cells after the infusion of stem cells in MST patients (Groups A and B) was more significant than that in the control group (Group C). The proportion of Tregs increased in Group A and decreased negatively in Group C. The expression levels of IFN-γ and IL-17A in Group B showed positive changes, while those in Group C showed negative changes. The increase in IL-2 in Group C was more significant than that in Group A. All the above results were statistically significant (P < 0.05) (Figs. 6, 7, 8, and 9).
Changes in fine immune indices before and after the first microtransplantation were compared between the groups.
Changes in fine immune indices before and after the second microtransplantation were compared between the groups.
Changes in fine immune indices before and after the third microtransplantation were compared between the groups.
Changes in fine immune indices after three microtransplantation procedures were compared between the groups.
The percentage of total B cells in Group B increased more than that in Group A, and the changes in IL-4 and IFN-γ differed between Group A and Group B (P < 0.05).
Discussion
MST provides a new strategy for the treatment of AML. Several studies have confirmed that MST treatment of AML patients has good efficacy, improves quality of life and prolongs survival10,11,12. In this study, 52 AML patients who underwent MST were followed up to evaluate the efficacy of a high-dose cytarabine pretreatment regimen versus the combined application of a venetoclax pretreatment regimen. The results showed that patients with a venetoclax-containing pretreatment regimen after 400 days had better PFS and OS, suggesting that the optimized pretreatment regimen containing venetoclax has better efficacy in AML patients. In this study, one 8-year-old AML patient was followed up, and his PFS and OS were more than 9 years in duration after receiving MST, suggesting that MST has better efficacy in the treatment of AML in children, which in turn challenges the previous view that MST is not suitable for children and is worthy of further study. However, the P value of the survival curve between the two groups of microtransplanted patients was greater than 0.05 for two possible reasons: First, the optimized venetoclax-containing pretreatment regimen had not been clinically applied for a long time, which made it difficult to observe long-term PFS and OS. Second, the selection of a more suitable pretreatment regimen based on the individual patient's condition during the treatment process also caused the high-dose cytarabine regimen to be used more for nonelderly patients and patients with better tolerance, whereas the venetoclax-containing regimens are more often used in older or less tolerant patients. Larger sample sizes and continued patient follow-up are needed to more fully assess the efficacy of these treatments in the future.
This study revealed differences in CD4+ and CD8+T cells between patients who received the optimized conditioning regimen combined with venetoclax and patients who received the high-dose cytarabine conditioning regimen, suggesting that the better efficacy of the optimized conditioning regimen combined with venetoclax is related to the synergistic antileukaemic effect of CD4+ and CD8+T cells. Guo et al.12 reported that donor- and recipient-derived T cells and NK cells contribute to antileukaemic effects in MST. Wang et al.17 found that CD4+T cells play an important role in the antileukaemic effect of MST and that CD4+T cells and CD8+T cells synergize to exert antitumour effects in the MST. This study revealed that the proportion of NK cells in the venetoclax group was greater than that in the ara-C group and control group after stem cell infusion, suggesting that the greater efficacy of venetoclax was related to the antileukaemic effect of NK cells. The mechanism of NK cells in the MST is an important future research direction. Guo et al.12 demonstrated that NK cells can exert an antileukaemic effect through cytotoxic effects in MST therapy. Hu et al.18 reported that MST enhances the effect of donor-recipient NK cells and promotes inhibitory KIR activation and that loss of inhibitory KIR/HLA interactions leads to "self-deletion" recognition of HLA-deficient cells and triggers NK killing. A variety of cytokines also play important roles in MST-induced graft-versus-leukaemia (GVL) effects. Reagan et al.19 found that a variety of cytokines, such as IL-10, IFN-γ, and IL-2, play a role in MST treatment, and they suggested that a complex cytokine storm triggered by stem cell infusion destroys host tumour tolerance. Changes and differences in cytokine levels after stem cell infusion were also observed in the present study. The mechanisms by which MST reduces GVHD include reducing cellular damage caused by conditioning regimens, reducing the initiation of the proinflammatory cytokine cascade that drives GVHD, and preserving patient autoimmune function against the graft20,21. Sun et al.22 hypothesized that cytokines secreted by donor cells are the decisive factors for MST-mediated promotion of haematopoietic recovery. This study revealed that the proportion of Treg cells in the venetoclax group increased after the infusion of stem cells and was greater than that in the cytarabine group. We found that Treg cells from donors play an important role in the immune regulation of MST patients and promote the establishment of transplant tolerance in MST patients. Norifumi Sawamukai et al.23 found that donor Tregs as well as CD4+ and CD8+T-cell subsets effectively inhibited the occurrence of GVHD after transplantation and that CD4+Foxp3+ Tregs played a central role in establishing transplant tolerance. Therefore, in the future, the detection of fine immune indicators should be extended to subsets of lymphocytes, specific subsets of Treg cells should be identified, and the role of increased Treg cells in the venetoclax group in the MST should be further analysed.
In this study, the differences in fine immune indices before and after treatment in AML patients with or without MST were analysed, and the fine immune indices of patients with different conditioning regimens in the MST group were compared within the groups. Among the patients treated with MST, patients in the venetoclax group had better immune indices, which may be related to the better efficacy of the optimized treatment regimen containing venetoclax. MST can cause changes in the immune microenvironment to produce antileukaemic effects, promote haematopoietic recovery during treatment, help patients establish immune tolerance, and prevent complications such as GVHD. Moreover, there were some differences in fine immune indices between patients with MST and control patients without MST, which may be related to the immune mechanism underlying the antileukaemic effect of MST. The antileukaemic effect of MST may be related to the following immune mechanisms. (1) The direct cytotoxic effect is mediated by donor cells or tumour-killing specific cells, such as T cells and NK cells. (2) Donor CD4+T cells and CD8+T cells have synergistic antitumour effects. (3) A variety of immune cells cooperate to induce the production of a variety of cytokines, resulting in a recipient antileukaemic (GVL) effect. In this study, we found that more lymphocyte subsets were different after one infusion than after two or three infusions of stem cells. This result may be due to a more significant response of the patient's immune microenvironment after the initial infusion of stem cells, resulting in the most obvious antitumour effects. In the subsequent MST treatment process, the patient's immune indicators returned to the normal range, the immune microenvironment recovered, and the differences in lymphocyte subsets decreased. A study by Hu et al.24 reported that MST promoted the recovery of immune function in AML patients. In our study, no difference in cytokine expression levels between patients in different groups was observed after treatment, which may have been related to the insufficient amount of data included in the study. Therefore, the sample size needs to be further expanded for analysis in the future. After the infusion of stem cells, more fine immune indices changed in the cytarabine group than in the venetoclax group, which may have been related to the maintenance of the stability of the recipient’s immune microenvironment by the venetoclax-containing conditioning regimen, which can have an antileukaemic effect while preserving the normal immune function of the patients. This study also analysed the differences in changes in fine immune indicators, which can guide the selection of the most suitable pretreatment regimen before MST and improve the prognosis of patients according to immune indicators before MST in future clinical applications. A comparative analysis of the differences in the changes in cytokines revealed that cytokines play a role in the immune response of MST patients, although the cytokine expression levels after treatment did not differ between the early groups in the previous analysis. In our study, we found that other fine immune parameters also tended to change after MST in patients treated with the optimized venetoclax conditioning regimen and patients treated with the traditional high-dose cytarabine conditioning regimen, although some of these fine immune parameters were not significantly different. The lack of statistical significance may be related to the insufficient sample size of the included studies, and more data need to be collected for analysis in the future.
In this study, we investigated fine immune indices and investigated the cellular immunology of AML patients who underwent MST, which has better efficacy than chemotherapy. The modified pretreatment regimen reduced the dose of cytarabine, reduced side effects such as gastric mucosal irritation by cytarabine combined with BCL2 inhibitors, and improved the bone marrow microenvironment. This study provides a preliminary investigation of how the optimized vinblastine pretreatment regimen affects cellular immune function. However, since chimaerism analysis was not performed in this study, clinicians need to be more cautious in interpreting the conclusions, and the specific changes in immune cells and cytokines of donors and recipients are not yet known. In future studies, we will include microchimerism analysis and explore the specific changes and mechanisms of immune cells and cytokines in donors and recipients during MST therapy. Due to human ethical constraints and the complexity of clinical treatment regimens, we are unable to directly combine venetoclax alone under conditions with the same dosage of cytarabine pretreatment or without any cytarabine pretreatment. Our research focuses on comparing the efficacy and changes in immune indices of two comprehensive protocols, before and after optimization, rather than the direct effects of using venetoclax alone. In future animal experiments, we plan to systematically explore the role and mechanisms of venetoclax pretreatment, which will continue to guide our work moving forward.
In conclusion, this study is the first to evaluate the efficacy of a venetoclax-containing conditioning regimen optimized for MST in AML patients and to further elucidate the immune mechanism of MST. The results showed that the optimized conditioning regimen combined with venetoclax achieved better OS and PFS than did the traditional high-dose cytarabine conditioning regimen. Patients treated with an optimized venetoclax-containing conditioning regimen had better fine immune indices. This study also confirmed the ability of fine immune indicators to guide the selection and optimization of MSTs.
Conclusion
The optimized conditioning regimen with appropriate dose reduction of cytarabine combined with venetoclax and hypomethylating agents has better fine immune indices and shows superior efficacy, which makes it worthy of further research and application in the treatment of AML. The differences and changes in various fine immune indicators suggest that MST is essentially an immunotherapy. In the future, further studies on the combination of targeted drugs or other immunotherapies are needed to optimize MST treatment regimens and improve the efficacy of AML treatment. In addition, it is necessary to expand the detection of fine immune indicators for lymphocyte subsets and their secreted cytokines and further study the specific immune mechanism of MST.
Methods
Stem cell collection and infusion
For donor stem cell mobilization, two subcutaneous injections of granulocyte colony-stimulating factor (G-CSF) at doses ranging from 5 to 10 μg/(kg/d) were administered. On the morning of the fifth day after G-CSF injection, haematopoietic stem cell collection was performed. After collection, when the donor’s peripheral blood platelet count was > 80 × 109/L, collection on Day 2 could be started; otherwise, use was discontinued. Stem cells were collected by a COBE cell separator, and the numbers of mononuclear cells (MNCs), CD34+ cells and CD3+ cells were recorded. The volume of collection was 100–200 mL, and the number of cells collected was predicted to be MNCs ≥ (6–8) × 109/kg and CD34 + cells ≥ 2 × 106/kg. After removal of red blood cells, removal of plasma, separation of bags, and cryopreservation, one portion of fresh cells was used in the first course of MST, and the rest were frozen for subsequent courses of MST. The total collection was divided into 2–4 samples for use.
All patients were infused with mobilized and processed G-PBSCs within 48 h after conditioning. The optimal number of microtransplanted cells for a single infusion was 2.5 × 108/kg for MNCs or 1.0 × 108/kg for CD3+ cells, with a dose fluctuation of ± 25%. At the same time, the number of CD34+ cells did not exceed 2.0 × 106/kg. Patients were intravenously injected with 1 g of calcium gluconate and intramuscularly injected with 20 mg of diphenhydramine before infusion. Electrocardiograms (ECGs) were monitored during and after infusion. The interval between the two G-PBSC infusions was generally 3 months.
MST conditioning regimen and grouping
The MST conditioning regimen was divided into the following groups: (1) Optimized MST conditioning regimen group (Group A): venetoclax + demethylating agents (decitabine or azacitidine) + low- and medium-dose cytarabine; venetoclax + demethylating agents (decitabine or azacitidine) + low- and medium-dose cytarabine: venetoclax 100 mg day 1, 200 mg day 2, 300 mg day 3–14; DAC 20 mg/m2 day 1–5; azacitidine 75 mg/m2 day 1–7; low- and medium-dose cytarabine 0.5–2.0 g/m2 × 3 day. (2) Traditional MST conditioning regimen group (Group B): high-dose cytarabine with or without decitabine; 2.5 g/m2 × 3 day cytarabine; and 20 mg/m2 × 5 day decitabine. (3) Patients who did not undergo MST served as the control group (Group C). None of the patients received any GVHD prophylaxis, and none of the patients received dexamethasone during conditioning.
Observed indicators and efficacy evaluation
Fine immune indices, such as lymphocyte subsets, regulatory T cells and twelve cytokines, were monitored before and after MST. At the same time, the patients' routine blood indices, allergic reactions, GVHD, infection, cardiac function indices, liver and kidney function indices, coagulation function and other nonhaematological toxicities were monitored.
Bone marrow aspiration was performed before and after induction therapy and before and after MST. Bone marrow morphology and minimal residual disease (MRD) were detected, and the treatment efficacy was evaluated according to the NCCN guidelines.
Complete remission (CR) was defined as follows: ① disappearance of symptoms and signs of leukaemia, absence of blasts in peripheral blood, and absence of extramedullary leukaemia; ② bone marrow haematopoietic recovery, blasts < 5%; and ③ neutrophils > 1.0 × 109/L, platelets ≥ 100 × 109/L. Relapse was defined as the reappearance of leukaemia cells in peripheral blood or bone marrow blasts > 5% (excluding other causes such as bone marrow reconstitution after consolidation chemotherapy) or extramedullary infiltration of leukaemia cells after CR.
Fine immune index detection
Lymphocyte subsets and Treg cells were detected by flow cytometry
Early morning and fasting venous blood samples of 2 mL were collected from the microtransplant patients and the control group, and 50 μL was added to the flow tube. The corresponding fluorescent monoclonal antibodies, including CD3, CD4, CD8, CD16, CD56, CD19, CD25 and FOXP3+ , were added sequentially, and the data were collected on a flow cytometer (BD) and analysed using FACSDiva (BD, version 6.1). T-cell subsets were defined as follows: the corresponding cell population was studied with reference to the CD45 setting. The proportions of total T lymphocytes (CD3+CD19−), B lymphocytes (CD3−CDL9+), NK cells (CD16+CD56+), CD4+T cells (CD3+CD4+), and CD8+T cells (CD3+CD8+) in the lymphocyte population. The proportion of regulatory T cells (CD4+CD25+FOXP3+) among CD4+ cells. Experimental equipment and experimental reagents are shown in Tables 2 and 3.
The expression levels of twelve cytokines were detected by cytometric bead array (CBA)
A serum tube was used to collect 2 mL venous blood samples from the included microtransplant patients and the control patients in the morning and without eating. After centrifugation, the upper layer of serum was extracted, and the standard substance was diluted to prepare the capture pellet suspension, which was incubated in the dark after adding fluorescent reagent. Then, PBS was added, and the mixture was centrifuged. The supernatant was discarded, and then PBS was added to resuspend the cells. Experimental equipment and experimental reagents are shown in Tables 2 and 3.
Follow-up visit
The patients were followed up mainly by consulting inpatient and outpatient medical records and by communicating via telephone. The follow-up period ended on May 1, 2024. Progression-free survival (PFS) was defined as the time from the initiation of treatment to disease progression or death from any cause. Overall survival (OS) was defined as the overall time from randomization (i.e., disease diagnosis) to death from any cause or the last follow-up.
Statistical analysis
Python 3.11 was used for statistical analysis in this study. Lymphocyte subsets and twelve cytokines were used as measurement data, and the measurement data were normally distributed. One-way ANOVA was used for comparisons between groups. The Kaplan‒Meier method was used for survival analysis, mainly to observe OS and PFS, and the log-rank test was used for survival analysis. P < 0.05 was considered to indicate statistical significance.
Ethical approval
The present study was approved by the Ethics Committee of the Lanzhou University Second Hospital (No. 2024A-329), and the research process complied with the requirements of the committee. The study was conducted in accordance with the Declaration of Helsinki. Informed consent was obtained from all subjects or their legal guardians.
Data availability
The data that support the findings of this study are available from the corresponding author upon reasonable request.
References
El Chaer, F., Hourigan, C. S. & Zeidan, A. M. How I treat AML incorporating the updated classifications and guidelines. Blood 141, 2813–2823 (2023).
Pollyea, D. A. et al. Acute myeloid leukemia, version 3.2023, NCCN clinical practice guidelines in oncology. J. Natl. Compr. Cancer Netw. 21, 503–513 (2023).
Thol, F., Döhner, H. & Ganser, A. How I treat refractory and relapsed acute myeloid leukemia. Blood 143, 11–20 (2024).
Bhansali, R. S., Pratz, K. W. & Lai, C. Recent advances in targeted therapies in acute myeloid leukemia. J. Hematol. Oncol. 16, 29 (2023).
Newell, L. F. & Cook, R. J. Advances in acute myeloid leukemia. BMJ 375, n2026 (2021).
Penack, O. et al. Prophylaxis and management of graft-versus-host disease after stem-cell transplantation for haematological malignancies: Updated consensus recommendations of the European society for blood and marrow transplantation. Lancet Haematol. 11, e147–e159 (2024).
Malard, F., Holler, E., Sandmaier, B. M., Huang, H. & Mohty, M. Acute graft-versus-host disease. Nat. Rev. Dis. Primers 9, 27 (2023).
Chang, Y. J., Pei, X. Y. & Huang, X. J. Haematopoietic stem-cell transplantation in China in the era of targeted therapies: Current advances, challenges, and future directions. Lancet Haematol. 9, e919–e929 (2022).
Späth, C., Neumann, T., Schmidt, C. A., Heidel, F. H. & Krüger, W. H. Patients receiving allogeneic haematopoietic stem-cell transplantation and clinical outcomes after early access to palliative care. Lancet Haematol. 10, e777–e784 (2023).
Guo, M. et al. Infusion of HLA-mismatched peripheral blood stem cells improves the outcome of chemotherapy for acute myeloid leukemia in elderly patients. Blood 117, 936–941 (2011).
Guo, M. et al. HLA-mismatched microtransplant in older patients newly diagnosed with acute myeloid leukemia: Results from the microtransplantation interest group. JAMA Oncol. 4, 54–62 (2018).
Guo, M. et al. HLA-mismatched stem-cell microtransplantation as postremission therapy for acute myeloid leukemia: Long-term follow-up. J. Clin. Oncol. 30, 4084–4090 (2012).
Souers, A. J. et al. ABT-199, a potent and selective BCL-2 inhibitor, achieves antitumor activity while sparing platelets. Nat. Med. 19, 202–208 (2013).
Lachowiez, C. A. et al. Venetoclax combined with induction chemotherapy in patients with newly diagnosed acute myeloid leukaemia: A post-hoc, propensity score-matched, cohort study. Lancet Haematol. 9, e350–e360 (2022).
DiNardo, C. D. et al. Safety and preliminary efficacy of venetoclax with decitabine or azacitidine in elderly patients with previously untreated acute myeloid leukaemia: A non-randomised, open-label, phase 1b study. Lancet Oncol. 19, 216–228 (2018).
DiNardo, C. D. et al. Azacitidine and venetoclax in previously untreated acute myeloid leukemia. N. Engl. J. Med. 383, 617–629 (2020).
Wang, L., Du, F., Wang, H. & Xie, C. Cooperation of CD4(+) T cells and CD8(+) T cells and release of IFN-γ are critical for antileukemia responses of recipient mice treated by microtransplantation. Exp. Ther. Med. 15, 1532–1537 (2018).
Hu, K. X. et al. Donor selection in HLA-mismatched hematopoietic stem cell microtransplantation for acute myeloid leukemia. Stem Cells Dev. 29, 648–654 (2020).
Reagan, J. L. et al. Cellular immunotherapy for refractory hematological malignancies. J. Transl. Med. 11, 150 (2013).
Krakow, E. F. et al. Do we need full donor chimerism? How alloreactive cell therapies without substantial engraftment might treat hematologic cancers. Curr. Drug Targets 18, 281–295 (2017).
Couriel, D. R. et al. Acute and chronic graft-versus-host disease after ablative and nonmyeloablative conditioning for allogeneic hematopoietic transplantation. Biol. Blood Marrow Transplant. 10, 178–185 (2004).
Sun, X. et al. The existence and role of microchimerism after microtransplantion. Leuk. Res. 38, 1285–1290 (2014).
Sawamukai, N. et al. Cell-autonomous role of TGFβ and IL-2 receptors in CD4+ and CD8+ inducible regulatory T-cell generation during GVHD. Blood 119, 5575–5583 (2012).
Hu, K. X. et al. Hematopoietic stem cell microtransplantation in patients aged over 70 with acute myeloid leukemia: A multicenter study. Am. J. Cancer Res. 13, 1509–1521 (2023).
Acknowledgements
We are grateful to Xu Changhong for his effort in this study.
Funding
This work was supported by the National Natural Science Foundation of China (82360029), the Commissioned Project of National Clinical Medicine Research Center for Hematological System Diseases (2021WWA01), the Clinical Medical Research Center of Hematological Diseases in Gansu Province (21JR7RA435), the Natural Science Foundation of Science and Technology Program of Gansu Province (21JR7RA394) and the Natural Science Foundation of Science and Technology Program of Gansu Province (21JR11RA104).
Author information
Authors and Affiliations
Contributions
L.L.: Conceptualization. Z.H.: Writing—original draft. L.L., Z.L., M.Z.: Writing—review & editing. L.L. and Z.L.: Supervision. All authors have read and agreed to the published version of the manuscript.
Corresponding authors
Ethics declarations
Competing interests
The authors declare no competing interests.
Additional information
Publisher's note
Springer Nature remains neutral with regard to jurisdictional claims in published maps and institutional affiliations.
Rights and permissions
Open Access This article is licensed under a Creative Commons Attribution-NonCommercial-NoDerivatives 4.0 International License, which permits any non-commercial use, sharing, distribution and reproduction in any medium or format, as long as you give appropriate credit to the original author(s) and the source, provide a link to the Creative Commons licence, and indicate if you modified the licensed material. You do not have permission under this licence to share adapted material derived from this article or parts of it. The images or other third party material in this article are included in the article’s Creative Commons licence, unless indicated otherwise in a credit line to the material. If material is not included in the article’s Creative Commons licence and your intended use is not permitted by statutory regulation or exceeds the permitted use, you will need to obtain permission directly from the copyright holder. To view a copy of this licence, visit http://creativecommons.org/licenses/by-nc-nd/4.0/.
About this article
Cite this article
Hanxue, Z., Zilu, M., Liansheng, Z. et al. Effects of different conditioning regimens on HLA-mismatched microtransplantation and changes in fine immune indices in acute myeloid leukaemia. Sci Rep 14, 19301 (2024). https://doi.org/10.1038/s41598-024-70332-7
Received:
Accepted:
Published:
Version of record:
DOI: https://doi.org/10.1038/s41598-024-70332-7











