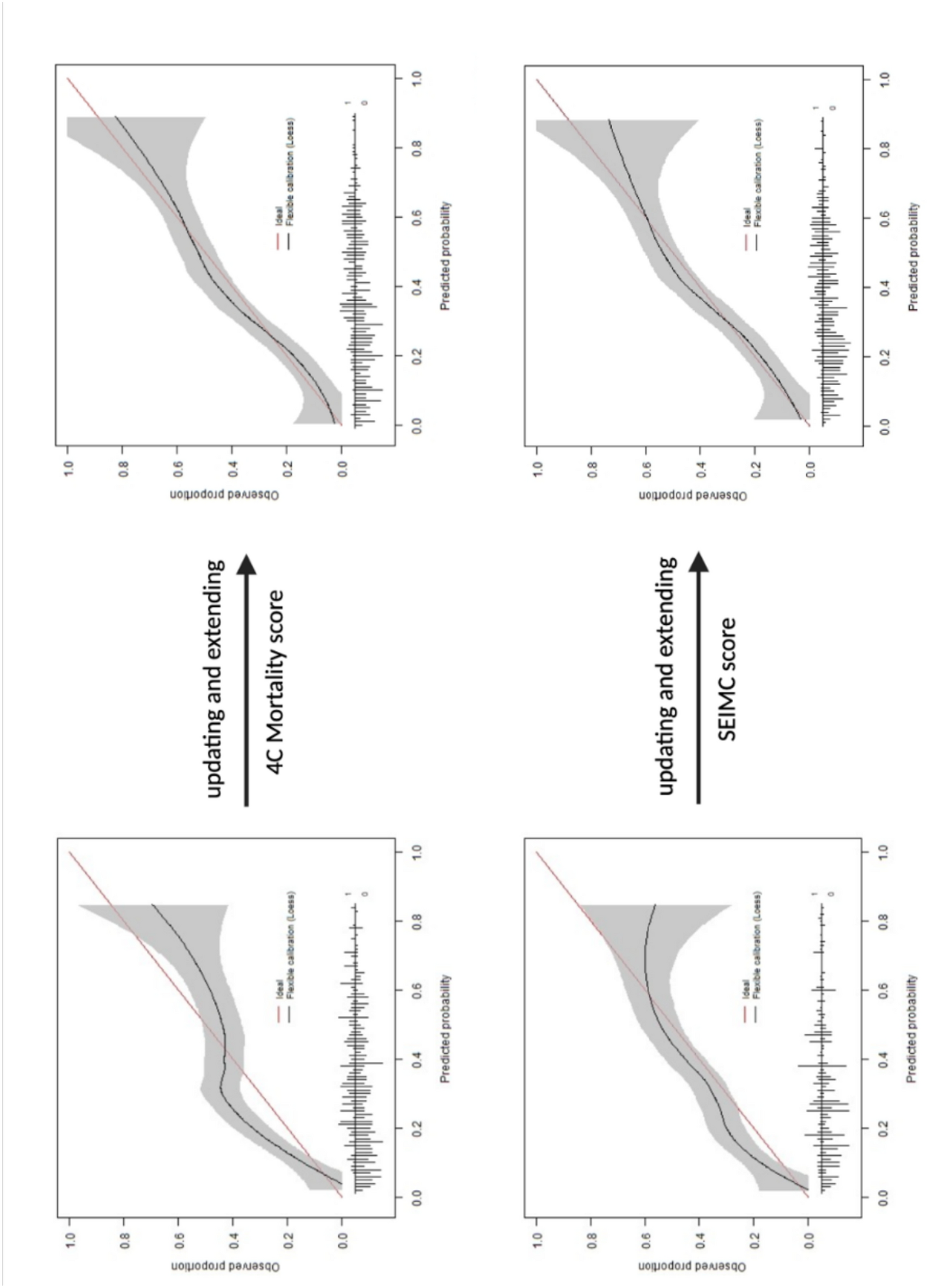
Figure 2

Calibration plots of the original compared to the updated and extended scores. The predicted probability of mortality is reported on the x-axis and the actual (observed) probability on the y-axis. The diagonal reflects optimal calibration and above the x-axis, histograms of predicted risk are illustrated for patients who died and survived in the ICU. In addition, 95% confidence boundaries are shown by the grey area.