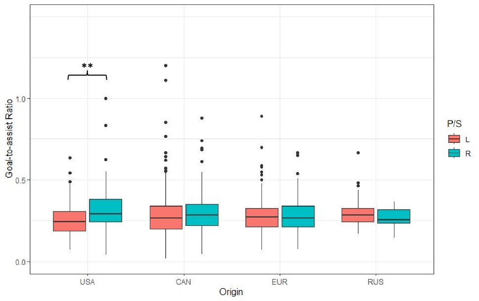
Figure 3

Goal-to-assist ratio as a function of player origin and laterality among defensemen. USA United States of America, CAN Canada, EUR Europe, RUS Russia, P/S player shoots, L left (pink), R right (blue). (data since the 1967–1968 season). **p < 0.01.