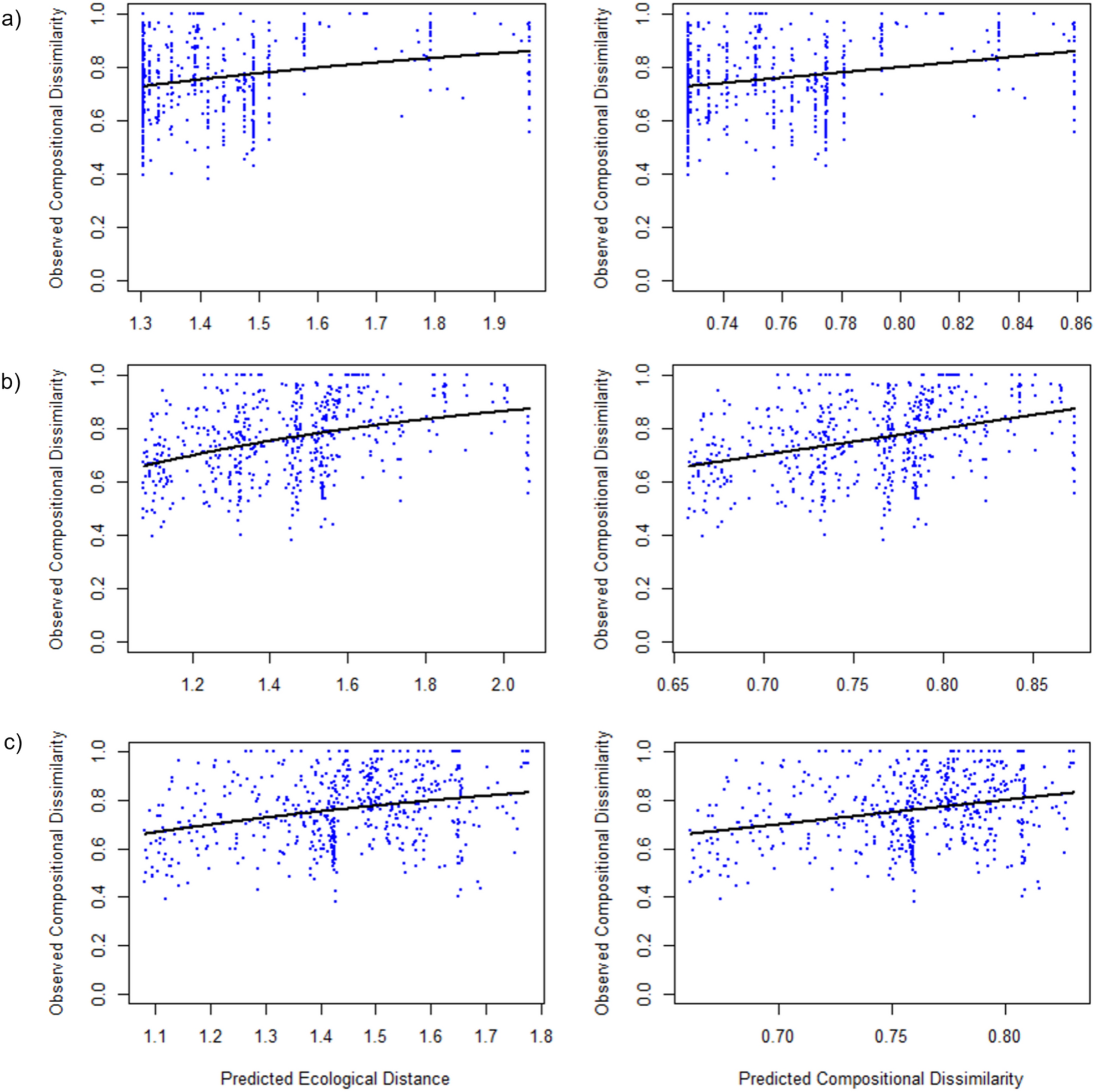
Fig. 4

Plant observed dissimilarity vs GDM-predicted ecological distance, points are each site pair, the line indicating the model predicted dissimilarity (left) and Observed dissimilarity vs. GDM-predicted dissimilarity, featuring the line of equality for reference (right). (a) Model with soil nutrient component dissimilarity; (b) Model with soil nutrient component dissimilarity and geographic distance; (c) model with temperature dissimilarity.