Abstract
The study investigated the reinforcing effect of vetiver root on soil by conducting outdoor planting tests and indoor root tests. The cracking indexes of soil specimens with varying root contents were analyzed, and a statistical model was established to determine the relationship between the cracking indexes, the number of dry and wet cycles, and the root content. The study revealed the crack evolution law of vetiver-reinforced expansive soil. The study explored the mechanism of the vegetation root in inhibiting the cracking of expansive soil and determined the optimal planting density of vetiver grass through outdoor planting tests. The results indicate that: The surface crack rate (CR), total crack length (CL), and crack number (CN) in the root-soil specimen exhibited exponential growth with an increase in the number of wet and dry cycles. This growth was more pronounced during the first and second cycles. The vetiver root could effectively reduce soil crack formation, and the specimen's cracking resistance is positively correlated with the root content. With the root content increased, the CR, CN, and CL decreased. The logistic model is suited to the CL of added root soil. The logistic model is more suitable for the growth model of the CR of the expansive soil with low root content, while the Boltzmann model is more suitable for the growth model of the CR of the expansive soil with high root content. Width of crack (CW) is better suited to the DoseResp growth model. The Boltzmann model is more applicable to the CN in expansive soils with low reinforcement, while the logistic growth model is more suitable for the development of CN above 0.21% root content. The development of the crack network was influenced by two key factors: the root content and the number of wet and dry cycles. Under the condition of planting roots, the development of crack networks in expansive soil differs from that of expansive soil with added roots, and there is no clear pattern to follow. The inhibitory effect of the vetiver root on cracking of expansive soil is related to the planting density of vetiver.
Similar content being viewed by others
Introduction
Expansive soil, a type of clayey soil, exhibits significant expansion and contraction properties, and its engineering characteristics are greatly influenced by changes in water content. The volume expansion and contraction of expansive soils due to dry and wet cycles pose several challenges to engineering construction, including slope instability and foundation settlement1. Therefore, studying the influencing factors and mechanisms of expansive soil cracking is crucial for enhancing the stability and safety of slope engineering.
In recent years, there has been widespread attention given to the role of plant root in improving soil structure and enhancing soil stability2. Vetiver, a plant with a strong root system and excellent ecological adaptability, is widely used in engineering practices such as soil erosion control and slope stabilization3. Vetiver root could penetrate deep into the soil, improving its structural and mechanical properties through interpenetration, entanglement, and consolidation4,5. Additionally, the root could affect water transport and distribution, altering the soil's water-holding and infiltration characteristics6. Li et al.7 discovered that short-term rainfall and evaporation have minimal impact on the water-holding capacity of expansive soils under vegetation cover. They found that cracking of expansive soils is primarily caused by changes in water content. This suggests that vegetation evaporation helps maintain the water-holding capacity of expansive soils, thereby slowing down soil cracking. The research data shows that the distribution of the root in the soil is complex. Some scholars have studied the mechanical influence of the root on the composite soil and found that it could enhance the strength of the composite body8,9,10,11,12. The root could strengthen the composite body and, to some extent, inhibit soil cracking. Wang et al.13 conducted research on the ecological protection of granite residual soil slopes using rice straw reinforcing technology. The study found that rice straw could slow down the soil cracking, and a root content of 0.3% is appropriate. Li14 discovered that the plant root agglomerates soil particles, which limits soil cracking. Zhang et al.15 discovered that larger root content during stable crack development results in smaller crack area density and larger length density. Zhou et al.16 concluded that roots act as anti-cracking reinforcement in the composite material of roots and soil. These findings suggest that reinforcing the soil with rice straw and root could improve soil structure and limit soil cracking.
In conclusion, the root of vegetation has an effect on inhibiting soil cracking. Expansive soil is characterized by its tendency to expand and crack. Therefore, studying the effect of the vetiver root on the cracking of expansive soil is of great engineering significance for the management of expansive soil disasters. Previous research has not thoroughly investigated the impact of vetiver root on the cracking of expansive soil, particularly after reinforcement. Thus, the questions about the evolution of cracking and the influence of test conditions on crack evolution were raised. This study investigates the crack indexes of root-reiforced soil with different root contents through outdoor planting tests and indoor root tests, while considering the reinforcing effect of the vetiver root. A statistical model of crack indexes is established with the number of dry and wet cycles and the root content. The study reveals the evolution law of the crack of root-reinforced expansive soil. The outdoor planting test was used to determine the optimal planting density of vetiver grass. Additionally, the study explored the mechanism by which the vegetation root inhibits the cracking of expansive soil.
Materials and methods
To investigate the impact of vetiver roots on the cracking characteristics of expansive soils, the evolution of cracking indexes of expansive soils under different root contents was analysed through indoor simulation experiments and outdoor planting experiments. The mechanism of root inhibition of expansive soil cracking based on the experimental results was explored.
Simulation tests for added roots
The soil sample was taken from an excavated slope of Shuxiang Road (112° 58′28.06''N, 28° 6′31.04"E) in Changsha. Figure 1 shows the particle size distribution curves. When the soil samples were collected, they were air dried, crushed and passed through a 2 mm sieve. After air drying, the water content was determined to be 4% according to the Geotechnical Test Procedure (SL237-0,031,999)17. At the same time, according to the Geotechnical Test Procedure (SL237-0,111,999, SL237-0,071,999, SL237-0,241,999)18,19,20 to determine the free expansion rate, maximum dry density, optimum water content, liquid limit water content, plastic limit water content, to obtain the basic parameters of the soil sample as shown in Table1.
Soil partice-size distribution.
Four 30 kg portions of soil samples, sieved through a 2 mm mesh, were added to foam boxes measuring 47.5 cm \(\times\) 35.7 cm \(\times\) 22.5 cm. Each portion was mixed with 18L of test water and all root of 180 days were added. The root content of each group was different, 0, 1, 2 and 4 plants, respectively. The soil was mixed thoroughly and the surface was smoothed. The weight of the soil samples was recorded initially. Subsequently, the specimens were placed in a constant temperature room to dry for 12 h. Once dried, the sample surfaces were photographed using a camera. To maintain consistency, the camera lens was kept parallel to the specimen's surface during photography. The distance between the camera and the specimen's surface was adjusted to ensure that the research object and the camera's shooting range boundary overlapped. Finally, a small sprayer was used to continuously sprinkle water on the surface of the specimen. The spraying was done every 3 h, 4 times in total over a period of 12 h. After reaching the initial weight of the soil, it was covered with a foam box and left static for 24 h. This allowed the water content of the specimen surface to reach a uniform and consistent level, completing the first wet and dry cycle. At the end of the experiment, the photographed pictures were converted into grayscale images. The grayscale map was then binarised to clarify the boundary between the crack and the soil block. Stray dots were removed using the eraser function of the photo-shop software. Finally, the crack centre line was extracted to obtain the crack-related parameters. Various parameter definitions ref. 21.
The data was analysed using Excel 2019 and SPSS 22.0. Significance was analysed using one-way ANOVA and Pearson's correlation coefficient (r). Graphs were created using Excel 2019.
where r is Pearson's correlation coefficient. xi and yi respectively represent each observation value in the two variables. \(\overline{x}\) and \(\overline{y}\) represent the average of two variables respectively.
where \(df\) is degrees of freedom. The n is the number of samples. The k is the number of conditions or variables that are restricted.
If the F value is large, it means that the difference between the treatment groups is significant; if the F value is small, it means that the difference between the treatment groups is not significant.
P value is a parameter used to determine the results of hypothesis testing. The smaller the P value, the more significant the result is. In this paper, the threshold for P is 0.05.
Simulation tests for planted roots
Different planting densities were used to form a root-soil composite with varying root content. The objective was to investigate the impact of root content on the cracking of expansive soil. The following steps were taken:
The height of the soil pile to be 150 mm. Calculate the amount of dry soil and water to be added based on compaction and moisture content. Evenly spray the required amount of water over the soil surface using a small spray bottle and continuously stir with a small spade. The wet soil should be covered with cling film for 24 h. Next, weigh out a 50 mm thick soil sample into the cultivation basket and use a compactor to compress it to a thickness of 50 mm. Mark the inside of the cultivation basket at a distance of 50 mm from the bottom for ease of observation. Once the soil sample has been compacted, plant a vetiver plant in the 7.5 cm layer of planting soil on the surface of the soil sample (Fig. 2). The surface layer of soil samples was watered daily to maintain the growth of the vetiver for one month. Every 18 days, observe the development of vetiver and take surface crack photographs of the four groups of specimens to obtain the fissure parameter. Repeat this process every month for a period of six months. To maintain consistency in shot positioning, the camera lens was kept parallel to the specimen surface during the photo-taking process. The distance between the camera and the specimen surface was adjusted to ensure that the target research object and the boundary of the camera shooting range overlapped.
Cultivation process of vetiver samples.
Results and discussions
Cracks evolution in expansive soils under added roots
Figure 3 displays the evolution of cracks in the three groups of specimens after five wet and dry cycles. The impact of different cycle times on the cracks is evident. With the cycle number increases, the existing cracks in the specimens would expand, the CL would gradually increase, and new cracks would form, eventually creating an irregular crack network.
Crack image of expansive soil under different number of dry and wet cycles: (a) 0.08% root content; (b) 0.21% root content; (c) 0.26% root content.
Table 2 shows that the root content has a negative correlation with the CN (r = − 0.193, P = 0.443), but it is not significant. On the other hand, there is a high positive correlation between the CN and the dry and wet cycles (r = 0.892, P < 0.001), indicating that CN increases with the number of wet and dry cycles. The study analysed the data on CR, average CW, and total CL to identify a pattern. The root content showed a negative correlation with CR, average CW, and total CL, with r values of − 2.000 (P = 0.427), − 0.081 (P = 0.750), and − 0.114 (P = 0.654), respectively. The number of dry and wet cycles had a positive correlation with CR, average CW, and total CL, with r values of 0.782 (P < 0.001), 0.864 (P < 0.001), and 0.515 (P = 0.029).
The regression model was tested using the forced entry method to assess the explanatory power of root content and dry and wet cycles on CN, CR, and total CL. The study found that the root content and the number of dry and wet cycles had a significant impact on the CN, with an overall R2 value of 0.833. This indicates that the two independent variables could explain 83.3% of the variation in the CN. The adjusted R2 value was 81%. The model test results showed a significant regression effect (F = 37.276, P < 0.001). The number of dry and wet cycles has the strongest explanatory power, with a Beta coefficient of 0.892. Additionally, the Beta coefficient of root content is − 0.193, indicating that as the number of dry and wet cycles increases, the CN also increases while the root content decreases. Furthermore, the Beta coefficient for the number of dry and wet cycles was statistically significant (t = 8.439, P < 0.001), while the Beta coefficient for root content was not statistically significant (t = − 1.824, P < 0.05). The equation below could be used to express the CN:
where the \(y_{1}\) is the CN. The \(x_{1}\) is root content, %. The \(x_{2}\) is the number of dry and wet cycles.
The CR could be partially explained by the root content and the number of dry and wet cycles. The overall R2 value of 0.651 indicates that these two independent variables could account for 65.1% of the change in the CR. The model test results show that the regression effect is significant (F = 13.971, P< 0.001). The number of dry and wet cycles has the strongest explanatory power, with a Beta coefficient of 0.782. Additionally, the Beta coefficient of root content is − 0.200, indicating that as the number of dry and wet cycles increases, the CR also increases while the root content decreases. Furthermore, the Beta coefficient for the number of dry and wet cycles was statistically significant (t = 5.121, P<0.001), while the Beta coefficient for root content was not statistically significant (t = − 1.309, P = 0.210). The equation below could be used to express the CR value:
where the \(y_{2}\) is the CR, %.
Root content and dry–wet cycle times have a high explanatory power for the total CL. The overall R2 value of 0.753 indicates that these two independent variables could explain 75.3% of the variation in the CL. The model test results show that the regression effect is statistically significant (F = 22.847, P< 0.001). The number of dry and wet cycles has the strongest explanatory power, with a Beta coefficient of 0.864. Additionally, the Beta coefficient of root content is − 0.081, indicating that as the number of dry and wet cycles increases, the total CL also increases while the root content decreases. Furthermore, the Beta coefficient for the number of dry and wet cycles was statistically significant (t = 6.73, P< 0.001), while the Beta coefficient for root content was not statistically significant (t = − 0.629, P=0.539). The equation below could be used to express the total CL:
where the \(y_{3}\) is the CL, %.
The mean CW is weakly explained by the root content and dry–wet cycle times, with an overall R2 of 0.279. This indicates that the two independent variables could only account for 27.9% of the change in CW. The model test results showed that the regression effect was significant (F = 2.895, P = 0.086), although not statistically significant. The number of dry and wet cycles has the strongest explanatory power (Beta coefficient = 0.515), while the Beta coefficient of root content is − 0.114. This suggests that as the number of dry and wet cycles increases, the average CW also increases, as does the root content, while the average CW decreases. Furthermore, the Beta coefficient for dry and wet cycles was found to be statistically significant (t = 2.350, P=0.033), whereas the Beta coefficient for root content was not statistically significant (t = − 0.518, P = 0.612). The mean CW could be calculated using the following equation:
where the \(y_{4}\) is the CW, %.
The analysis indicates that, apart from CW, the number of dry and wet cycles sufficiently explains the CR, CN, and total CL in reinforced soil. While the root content's explanatory power is not significant, it still holds transactional significance and cannot be ignored. During the dry and wet cycle test, the CR, total CL, and CN in all three sample groups showed a significant positive correlation with the number of dry and wet cycles. Additionally, the three crack parameters experienced a rapid increase after the first and second cycles, with the curve gradually stabilising as the number of dry and wet cycles increased (Fig. 4). This phenomenon occurred after the sample underwent multiple cycles of drying and wetting. During the initial stages of the cycle, the soil's tensile stress gradually increases, causing cracks to form and expand. However, during the later stages of the cycle, the tensile stress in the soil decreases, causing the cracks to stabilize and stop expanding. As a result, the increase in crack parameters gradually becomes stable. This suggests that the surface cracks of the sample would continue to develop during dry and wet cycling, but this effect is limited and the cracks would eventually slow down and stop after reaching a certain extent of development. Throughout the dry–wet cycle, the average CW in all three groups decreased. The CW is calculated by dividing the total area of the crack by its total length. As the number of wet and dry cycles increases, microcracks may appear on the surface of the specimen with a small area of the crack but a certain length.
Variation curve of dry shrinkage crack of expansive soil sample with the number of dry and wet cycles: (a) The CR changes with the cycle number; (b) The CL changes with the cycle number; (c) The CW changes with the cycle number; (d) The CN changes with the cycle number.
To accurately reflect the evolution of the crack network during dry and wet cycling, we used three growth models to fit the data for CN, average CW, and total CL. The three common growth models used were the Logistic, Dose–Response, and Boltzmann models.
Logistic:
DoseResp:
Boltzmann:
where the \(A_{1}\) And \(A_{{2}}\) are model fitting parameters. The \(p\) and \(dx\) are parameters related to soil volume and mass characteristics (dry density, porosity, saturation, etc.), and \(x_{0}\) are parameters related to initial CL.
From the analyses presented in Tables 3, 4, 5 and 6, it is evident that the growth model for the total CL is better suited to the Logistic model. Different rates of reinforcement expansion in soil fissures require different growth models. The growth model for CR in low reinforcement rate is more consistent with the Logistic model, while the growth model for CR in high reinforcement rate is more consistent with the Boltzmann model. The CW is better suited to the Dose–Response growth model on average. The CN with low reinforcement rates are better suited to the Boltzmann model, while the development of CN above a 0.21% reinforcement rate is better suited to the Logistic growth model.
Cracks evolution in expansive soils under planted roots
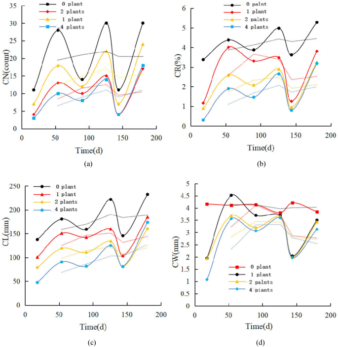
Table 7 shows the results of cracks in the expansive soil of planting roots. The number of vetiver plants is negatively correlated with the CN (r = − 0.497, P = 0.014), indicating that the CN decreases with increasing number of vetiver plants. The analysis revealed a positive correlation (r = 0.386, P = 0.062) between test time and the CN. However, the correlation did not reach statistical significance. The results suggest that longer test times may lead to an increase in the CN, as well as in CR, average CW, and total CL. The correlation analysis revealed that the number of vetiver had a negative correlation with CR, average CW, and total CL (r = − 0.642, P = 0.001; r = − 0.616, P = 0.001; r = − 0.490, P = 0.015, respectively). Conversely, the test time point showed a positive correlation with CR, CW, and CL (r = 0.333, P = 0.110; r = 0.480, P = 0.018; r = 0.144, P = 0.502, respectively).
To test the explanatory power of test time and the number of vetiver plants on CN, CR, and total CL, the forced entry method to test the regression model was used. The results showed that the root content and test time had low explanatory power for the CN. The overall R2 reached 0.396, indicating that the two independent variables could explain 39.6% of the change in the CN, and the adjusted R2 was 33.8%. The model test results indicate a significant regression effect (F = 6.883, P = 0.005). The number of plants has a negative explanatory power with a Beta coefficient of − 0.497, while the Beta coefficient of test time is 0.386, suggesting that an increase in the number of plants leads to a decrease in the CN, and a longer test time results in a smaller CN. The Beta coefficient for the number of plants (t = − 2.929, P = 0.008) and test time (t = − 1.824, P = 0.033) were both statistically significant.
The number of plants and the test time had explanatory power for the CR, with an overall R2 of 0.524, indicating that the two independent variables could explain 52.4% of the change in the CR. The model test results showed that the regression effect was significant (F = 11.541, P < 0.001). The explanatory power of the number of plants was the highest, with a Beta coefficient of − 0.642. The Beta coefficient of test time was 0.333, indicating that the CR decreases as the number of plants and the test time increases. The Beta coefficient of the number of plants was statistically significant (t = − 4.264, P < 0.05), and the Beta coefficient of test time was also statistically significant (t = 2.214, P = 0.038).
The test time and the number of plants had a high explanatory power for the total CL, and the overall R2 reached 0.610, indicating that the two independent variables could explain 61.0% of the variation in the CL. The results of model test showed that the regression effect reached a significant level (F = 16.452, P < 0.001) was statistically significant. The number of plants had the best explanatory power with Beta coefficient of − 0.616 and Beta coefficient of test time of 0.480, indicating that the CL decreases with increasing number of plants and the the test time. The Beta coefficient of the number of plants was statistically significant (t = − 4.526, P < 0.05), the test time Beta coefficient was also statistically significant (t = 3.524, P = 0.002).
The number of plants and test time have limited explanatory power for the mean CW, with an overall R2 of 0.261. This indicates that the two independent variables could only explain 26.1% of the variation in CW. The model test results show that the regression effect is statistically significant (F = 3.711, P = 0.042). The number of plants had the strongest explanatory power (Beta coefficient of − 0.490) compared to the Beta coefficient of test time (0.144). This suggests that ,the CR decreases with increaseing of the number of plants and the test time. The statistical analysis showed that the Beta coefficient of the number of plants was significant (t = − 2.614, P = 0.016), while the Beta coefficient of the test time was not significant (t = 0.767, P = 0.452).
The statistical analysis reveals that the test time and number of plants have low explanatory power on the CR, CN, and total CL of the expansive soil. The maximum R2 is 0.610, and the minimum is 0.261. The development of the crack network is closely related to the environment under planting conditions, and other influencing factors may also exist.
It was found that the crack index exhibited irregular growth and decline stages (Fig. 5). This finding is consistent with the statistical analysis results, indicating that there is no discernible growth pattern. This phenomenon may be attributed to the inconsistency of the sample's moisture content at the time of measurement. When measured after rainfall, the expansive soil absorbs water and expands, resulting in low surface cracking. It is important to note that the crack measurement index is inversely proportional to the moisture content of the sample. However, over time, the soil experiences water loss and shrinkage, leading to continuous expansion of cracks and a high degree of surface cracking. This is because the decrease of moisture content of the sample .
Variation of dry shrinkage crack network in expansive soil samples: (a) The CN changes with the time; (b) The CR changes with the time; (c) The CL changes with the time; (d) The CW changes with the time.
To predict the development trend of CN, CR, and total CL of composite expansive soil, the moving average method22 was introduced. Based on the moving average prediction, the CN in the composite expansive soil shows an overall 'N' shape development, with the basic trend first increasing and then decreasing. The peak value appears at 126d and then increases after 144d. The total CL also shows a similar trend. The trend in the development of CR and average CW showed an initial increase, followed by a decrease, and then another increase. During the decrease, there was a variation in the rate of decrease, with a slow decrease followed by a faster decrease.
It could be concluded that planting density has an impact on the anti-cracking effect. Specifically, planting 2 plants has the best effect, followed by planting 1 plant, while not planting has the worst effect. Compared to plain soil, the soil sample planted with vetiver has a smaller degree of cracking. This is due to the root enhancing soil stability, limiting soil deformation, and improving shear and tensile strength, effectively inhibiting soil cracking. Compared to 2 plants, the soil contains more roots. This suggests a stronger interaction between the plant roots and the soil, which effectively prevents soil cracking. The analysis of the CW curve revealed that, after 54 days, the average CW in one sample was greater than the plain root. This was due to the presence of numerous small cracks in the plain soil, which increased the total CL and decreased the average CW.
Initially, the CR, total CL and CN of 2 plants were larger than those of 4 plants. In the middle stage of the experiment, the crack index of 2 plants remained greater than that of 4 plants, but the gap between them gradually narrowed. In the later stage of the experiment, the crack measurements of both groups were similar, indicating similar anti-cracking effects. This was due to an initial gap in root content between the 2 plants and 4 plants, which gradually decreased as the experiment progressed and the vetiver roots of both samples developed better. At the 180-day growth period of vetiver, the root content of both samples was similar, and their roots were deeper in the soil, resulting in a similar anti-cracking effect.
The study found that increasing planting density did not significantly improve the anti-cracking effect. However, samples with 2 plants and 4 plants showed better anti-cracking effects compared to the sample with 1 plants. Notably, the anti-cracking effects of 2 plants and 4 plants were similar. Based on economic considerations, a planting density of 2 plants was deemed more appropriate.
Through indoor and outdoor simulation experiments, it has been found that the addition of roots could inhibit the cracking of expansive soil. The greater the root content within a certain range, the more significant the cracking inhibition effect. Planted roots have a stronger inhibition effect. The influence mechanism of vegetation roots on the cracking of expansive soil is discussed below.
Discussion on mechanism of vegetation root inhibiting expansive soil cracking
The increase of binding force of soil
WU modified the Mohr–Coulomb strength equation to account for the effect of plant roots on soil. The modified equation is known as WU's model23.
where the Sr is the shear strength of root soil, kPa; ΔS is the increased shear strength of the root, kPa.
where the T′′ is the maximum tensile stress of the root, N; Ar is the cross-sectional area of the root, m2; τ′ is the maximum tangential friction force between root and soil, N; E is the elastic modulus of the root, MPa; Z is the shear zone width, mm; D is root diameter, mm; β is the deformation Angle of the root, °.
where the \(\psi\) is the Angle between the root and the shear plane, °; i is the Angle between the initial root and the shear plane, °; k is the shear deformation ratio; x is shear displacement and z is shear thickness.
Figure 6 shows that the roots are mostly angled with respect to the horizontal plane. Therefore, when horizontal shear occurs, the soil's shear failure must resist not only the soil's shear strength but also the tensile failure strength of the roots. Although only a few roots are distributed horizontally, their presence could enhance the soil's shear strength. The effect of the root on soil strength depends on the distribution angle of the roots in the slope soil. This requires specific analysis.
Interaction between root and soil5:(a) The Angle between the initial root and the shear plane was cute; (b) The Angle between the initial root and the shear plane was obtuse.
In addition, grasses have dense whisky roots that could interweave and intertwine in the pores of the soil, providing an overall wrapping effect for the soil particles. This increases the intergranular binding force, even in expansive soil with low cohesion. In particular, a large number of capillary roots derived from the main roots of different sizes could interweave and wrap the surrounding soil particles layer by layer, thus significantly improving the shear strength of the soil and increasing its tensile strength, thus effectively inhibiting the cracking. The theory of crack mechanics suggests that the bonding force in the shear strength parameters of rock and soil materials primarily originates from cementation, which forms over a long-term geological process. If a failure surface occurs, this bond would disappear and cannot be restored in a short time. Tang24 noted that soil under tension requires overcoming various forces, including particle attraction, chemical bonding, surface tension, and capillary pressure. While cohesion is a combination of these forces. Zhang25 et al. discovered a correlation between the tensile and shear strength of soil, with tensile strength increasing as cohesion increases. Zhu et al.26,27,28,29 discovered a similar rule indicating that the winding and wrapping effect of roots enhances the binding force of soil and improves its tensile strength. This is one of the key factors that affects soil cracking. Cracks occur when the matric suction produced by the drying of expansive soil is stronger than the soil's tensile strength. The root could prevent the cracking of expansive soil by increasing its tensile strength30,31.
The decrease of the swelling force and rate of soil
The roots have a wrapping effect that reduces the expansion of expansive soil and inhibits its expansion force. According to Liu et al.32, the gray entropy of the crack image on the surface of expansive soil increases with the expansion rate. The degree of crack development is greater when the gray entropy is greater. The study revealed a negative correlation between the expansion of soil and its strength. As the soil expands, its strength decreases, making it more prone to cracking. Liu et al.33 discovered that the degree of crack development in expansive soil is limited by the load and is related to its expansive force. The CL increases with expansion force. The root could reduce swelling force34 and CL, thereby inhibiting soil cracking.
Root growth
As roots grow thicker, they inevitably squeeze the surrounding soil, generating axial force that expands in a cylindrical form behind the root tip35. In confined conditions, such as in this experiment, this force makes the expansive soil denser. Liu et al.'s research36 shows that the CR and total CL of expansive soil decrease with an increase in the initial compaction degree. It is evident that compressing the root increases soil density and reduces its tendency to crack. Furthermore, the root may reduced soil porosity, permeability, and aeration. This result keeps the moisture content of soil at a relatively stable level, thereby reducing water drainage, soil expansion and contraction. The root continues to expand and branch during the growth process, forming voids and pores that increase the air and water permeability of the soil and improve its physical properties. While, the increase or decrease of soil porosity and permeability induced by plant roots is uncertain at different growth stages37,38.
Atmosphere-vegetation-soil interaction
Wu6 and Xiao37 showed that plant transpiration could increase soil suction, reduce soil permeability coefficient, and improve soil shear strength. After conducting a 20-day plant transpiration test, the researchers found that the maximum suction of soil covered with grass was 1.3 times higher than that of plain soil, which also resulted in an approximately 30% increase in the shear strength of soil. At the same time, the suction influence range of grass vegetation soil could reach more than 3 times the depth of grass roots. Current tests also show that the presence of root improves the matric suction of soil2. On the other hand, the root could absorb water and nutrients in the soil, thus the soil could maintain a certain humidity and fertility, then reducing the expansion and contraction of the soil. The relationship between shear strength and cracking has been explained in 3.3.1. It could be seen that the transpiration of vegetation could inhibit cracking of expansive soil.
Conclusions
-
(1)
The CR, total CL, and CN in root-soil samples exhibit an exponential growth function with an increase in the number of dry and wet cycles. This growth is more pronounced during the first and second cycles.
-
(2)
The vetiver root could effectively reduce the formation of soil cracks. The anti-cracking effect of the samples is positively correlated with the root content. This means that the CR, CN, and total CL decrease with an increase in root content.
-
(3)
When roots are added,, the total CL growth model is more appropriate than the Logistic model. The CR of expansive soil with varying root contents is best suited to different growth models. The CR growth model of expansive soil with a low root content conforms to the Logistic model, while the CR growth model of expansive soil with a high root content conforms to the Boltzmann model. The width of cracks is appropriate for the DoseResp growth model. The CN in expansive soil with a low root content conforms to the Boltzmann model, while the evolution of cracks with a ratio higher than 0.21% is consistent with the Logistic growth model. The rate of root reinforcement and the number of dry and wet cycles are two crucial factors that affect the development of the crack network.
-
(4)
When roots are planted, the evolution of the crack network in composite expansive soil differs from that of added root. There is no clear pattern to follow in the development of the crack network. It is important to note that, in addition to the experimental factors considered in this study, there may be other factors that affect the development of the crack network. The impact of root grass on inhibiting the cracking of expansive soil is linked to the planting density of vetiver. In this experiment, the planting density of 2 plants more suitable from an economic standpoint.
-
(5)
The winding and wrapping effect of the root improves the binding force of the soil. Additionally, the wrapping effect of the root system reduces the swelling force and swelling rate of the soil. The extension of the root increases the soil density. Furthermore, plant transpiration could increase soil suction, decrease the soil permeability coefficient, and improve soil shear strength.
Data availability
All data included in this study are available upon request by contacting the corresponding author.
References
Zhang, R., Ling, S. G., Zhang, J. L. Flexible reinforcement methods and field monitoring of expansive. China Journal Highway and Transport http://kns.cnki.net/kcms/detail/61.1313.U.20230918.1327.004.html (2024).
Wang, G. Y., Zhou, H. & Xia, Y. Q. Experiments on the effect of grass roots on the strength and disintegration characteristics of slope soils. China J. Highw. Transp. 31(02), 234–241 (2018).
Xiao, H., Zhang, Q. H. & Xia, Z. Y. Mechanical properties of the root system of vetiver grass, a slope protection plant, under pulling action. J. Agric. Eng. 38(11), 91–97 (2022).
Li, R. F., Wang, G. Y. & Zhang, Y. J. Experimental study on the effect of planting vetiver root system on the characteristics of expansive soil. Highw. Traffic Sci. Technol. 37(5), 43–52 (2020).
Li, Z. Y., Ou, Y. M. & Xiao, H. B. Influence of plant root growth pattern on the shear strength of expansive soil slopes. J. Central South Univ. (Nat. Sci. Edit.) 53(1), 181–189 (2022).
Wu, H. W. Atmosphere-vegetation-soil interaction: Theory and mechanism. J. Geotech. Eng. 39(1), 1–47 (2017).
Li, X. W., Wang, A. J. & Wang, Y. Indoor simulation test of hygrothermal and fissure characteristics of expansive soil under rainfall evaporation. Geotechnics 35(9), 46–51 (2014).
Gray, D. H. Reinforcement and stabilisation of soil by vegetation. J. Geotech. Eng. Division 100(6), 695–699 (1974).
Swanston, D. N., Lienkaemper, G. W., Mersereau, R. C. & Levno, A. B. Timber harvest and progresive deformation of slope in southwest oregon. Bull. Asssoc. Eng. Geol. 25(3), 371–381 (1988).
E, S. A. Modelling root reinforcement in shalolow forrest soil. Oregon State University (1997).
Roering, J. & Stock, D. J. Root reinforcement and the spatial distribution of tree in the oregon coast range. Can. Geotech. J. 40, 237–253 (2003).
Martel, S. J. Machanics of landslide initiation as a shear fracture phenomenon. Marine Geol. 203, 319–339 (2004).
Wang, G. Y., Sha, L. C. & Cao, W. G. Experimental study on the cracking characteristics of rice straw reinforced soil by reinforcement rate. Hydrogeol. Eng. Geol. 44(5), 52–58 (2017).
Li, L. Research on the effect of plant root system on clay mulch. Harbin Institute of Technology (2015).
Zhang, Z. Y., Zhu, W. Y. & Zhu, L. Influence of root system and salt content on the development pattern of drying cracks in agricultural soils. J. Agric. Eng. 30(20), 83–89 (2014).
Zhou, Y., Chen, J. & Wang, X. Research on resistance cracking and enhancement mechanism of plant root in slope protection by vegetation. J. Wuhan Univ. 55(5), 613–618 (2009).
Industry standard - Water. SL 237–003–1999, Geotechnical test procedure - Moisture content test. China (2009).
Industry standard - Water. SL 237–003–1999, Geotechnical test procedure - Compaction test. China (2009).
Industry standard - Water. SL 237–003–1999, Geotechnical test procedure - Limit water content test. China (2009).
Industry standard - Water. SL 237–003–1999, Geotechnical test procedure - Free expansion rate test. China (2009).
Zhang, J. J., Gong, B. W., Hu, B., Zhou, X. W. & Wang, J. Dry-wet circulation under the action of expansive soil crack evolution experimental study. Rock Soil Mech. 32(9), 6 (2011).
Ajay, B. Predicting returns using moving averages: The role of investor inattention. Managerial Finance 50(6), 1066–1088 (2024).
Wu, T. H., Mckinnell, W. P. & Swanston, D. N. Strength of tree roots and landslides on prince-of-walesisland, alaska. Can. Geotech. J. 16(1), 19–33 (1979).
Tang, W., Xia, H. & Luo, P. Theoretical analysis of the source of tensile strength of unsaturated soil. Anhui Agric. Sci. 487(18), 372–374 (2015).
Zhang, Y. & Chen, M. Y. Research on tensile strength of compacted clay. Hydrogeol. Eng. Geol. 42(4), 56–60 (2015).
Zhu, C. H., Liu, J. M. & Yan, B. W. Experimental study on the relationship between tensile strength and shear strength of unsaturated clayey soils. J. Rock Mech. Eng. 27(s2), 3453–3458 (2008).
Zhu, A. L. Experimental study and numerical simulation of tensile strength of cohesive soil. Sichuan University (2005).
Li, S. C. Tensile properties of loess. Northwest Agriculture and Forestry University (2005).
Tang, L. S. Reconceptualisation of shear strength theory for unsaturated soils from intergranular suction properties. J. Geotech. Eng. 23(4), 412–417 (2001).
Li, C. Y., Cheng, Q. & Tang, C. S. Effects of layer thickness on desiccation cracking behaviour of a vegetated soil. Biogeotechnics https://doi.org/10.1016/j.bgtech.2023.100068 (2023).
Tang, C. S., Zhu, C. & Cheng, Q. Desiccation cracking of soils: A review of investigation approaches underlying mechanisms, and influencing factors. Earth-Sci. Rev. 216, 103586 (2021).
Liu, S. L., Xu, B. & Yin, Z. Z. Experimental study on the effect of expansivity on the strength of expansive soils. J. Henan Instit. Sci. Technol. (Nat. Sci. Edit.) 46(2), 72–78 (2018).
Liu, W., Yin, Q. & Fang, N. Study on the relationship between fracture development and soil condition in expansive soils. J. Kunming Metallurg. Higher Special. School 34(5), 5–10 (2018).
Wang, G. Y., Huang, Y. G. & Li, R. F. Influence of vetiver root system on mechanical performance of expansive soil: Experimental Studies. Adv. Civ. Eng. https://doi.org/10.1155/2020/2027172 (2020).
Song, Z. Y. Experimental research on plant root growth on soil internal pressure. Northwest Agriculture and Forestry University (2012).
Liu, G. S., Chen, Y. G. & Zhang, G. B. Experimental study on the effect of compaction conditions on fracture development in expansive soils. J. Changjiang Acad. Sci. 36(11), 1–8 (2019).
Xiao, T., Li, P., Fei, W. B. & Wang, J. D. Effects of vegetation roots on the structure and hydraulic properties of soils: A perspective review. Sci. Total Environ. 906(16), 7524 (2024).
Lu, J. R., Zhang, Q. & Werner, A. Root-induced changes of soil hydraulic properties-a review. J. Hydrol. 589, 125203 (2020).
Funding
The authors gratefully acknowledge financial supports from the aid program for Guangxi key research and development project(GuiAB23075184), Yiyang city philosophy social science project(Y0416976) and science and technology innovative research team in higher educational instituions of hunan province.
Author information
Authors and Affiliations
Contributions
Supervised and reviewed the experiments: Wang Guiyao Performed the experiments: Huang Yonggang, Deng peng Analyzed the data and wrote original draft: Huang Yonggang, Zhang Hongri.
Corresponding author
Ethics declarations
Competing interests
The authors declare no competing interests.
Additional information
Publisher's note
Springer Nature remains neutral with regard to jurisdictional claims in published maps and institutional affiliations.
Rights and permissions
Open Access This article is licensed under a Creative Commons Attribution-NonCommercial-NoDerivatives 4.0 International License, which permits any non-commercial use, sharing, distribution and reproduction in any medium or format, as long as you give appropriate credit to the original author(s) and the source, provide a link to the Creative Commons licence, and indicate if you modified the licensed material. You do not have permission under this licence to share adapted material derived from this article or parts of it. The images or other third party material in this article are included in the article’s Creative Commons licence, unless indicated otherwise in a credit line to the material. If material is not included in the article’s Creative Commons licence and your intended use is not permitted by statutory regulation or exceeds the permitted use, you will need to obtain permission directly from the copyright holder. To view a copy of this licence, visit http://creativecommons.org/licenses/by-nc-nd/4.0/.
About this article
Cite this article
Huang, Y., Deng, P., Wang, G. et al. Effects of vetiver root on cracking of expansive soils and its mechanistic analysis. Sci Rep 14, 19737 (2024). https://doi.org/10.1038/s41598-024-70934-1
Received:
Accepted:
Published:
Version of record:
DOI: https://doi.org/10.1038/s41598-024-70934-1








