Abstract
In order to study the relationship between China's safety production indicators and economic and social indicators, the development trend of indicator data in the past 20 years was statistically analyzed, and qualitative and quantitative research was conducted using grey relational analysis and multiple linear regression analysis methods. In the past two decades, there has been a significant improvement in the number of deaths, work-related injuries, and occupational patients in China's safety production, and the country's three categories of 14 economic and social indicators have achieved rapid development. Using the grey relation analysis method, the grey correlation degree between the number of deaths, work-related injuries, and occupational patients in China over the past twenty years and 14 economic and social indicators was obtained. The ranking of economic and social indicators that affect the number of deaths, work-related injuries, and occupational patients varies greatly. A multiple linear regression model was established for the number of deaths, work-related injuries, occupational diseases, and 14 economic and social indicators. The rationality of the model was verified from four aspects: R2, F-value, P-value, and deviation between actual and fitted values. Provide guidance for the development of safety production indicators and economic and social indicators in China through research.
Similar content being viewed by others
Introduction
The current situation of safety production in China is complex, and the indicator system for production safety accidents can no longer meet the needs of safety production reform and development1. The research on relevant accident statistical indicators in China is mainly as follows.
Yang2 proposed some measures that China should take for the statistical indicators of safety production accidents, in order to improve the indicator system. Lv3 proposed a new set of statistical indicators for the classification criteria of accidents and proposed relevant predictive models for the development of safety production accident statistics. Du4 pointed out that there is a significant difference in accident record standards between China and the international community, and proposed excellent practices that can be learned from abroad. Fu et al.5 proposed that China's statistical indicators for safety production accidents should learn from some of the advantages of foreign indicators in order to adapt to the stage of economic development. Ren6 proposed protective measures to address the deficiencies in accident indicators.
Wu et al.7 analyzed the scientific connotations of safety science, statistics, and systems science, and proposed the meaning of safety production accident statistical indicators in safety science, including the content, methods, and characteristics of statistical indicators. Wu8 based on the actual situation of railway safety in China, drew on the development laws of railway safety in foreign countries, and constructed a statistical system for various sub aspects of railways. Tian9 has optimized and improved the statistical indicators of safety production accidents in China's construction industry by addressing the existing problems in data analysis. Wu et al.10 found that the security indicators of developed countries abroad are relatively mature, which is related to the maturity of economic and social development, by studying the changes in economic and social development and security indicators of developed countries abroad. Zhang et al.11 screened, classified, ranked, and designed indicators for the main and objective scene elements involved in electrical injury accidents, forming a set of accident indicators suitable for electrical injury.
Yu et al.12 developed a set of risk classification indicators for manufacturing enterprises based on the actual situation in T City, Shandong Province. Li et al.13 defined a set of comprehensive indicators applicable to safety production conditions and established a warning model for enterprises using the GM (1,1) method. Lv et al.14 established a set of evaluation criteria and indicators suitable for multi-level risk and an indicator weight calculation model based on the EAHP (Extensible Analytic Hierarchy Process). Zou et al.15 combined the production experience of Chongqing coal mines and the summary of experts to form a set of coal mine outburst risk evaluation indicators, including 11 indicators. Yang et al.16,17 conducted a statistical analysis of 195 large-scale and above hazardous chemical accidents in China from 2000 to 2020.
The research on the statistical indicator system for safety production accidents in foreign countries is divided into two aspects based on the statistical objects: a single database and multiple databases. There are also various types of single databases. The first type is the analysis of the reasons for recording safety production accident statistical indicators18, the second type is the analysis and exploration from the theoretical level of safety indicators19, and the third type is the analysis and exploration from the scientific management of safety indicators20. Multiple databases summarize the best safety indicators applicable to different industries based on the characteristics of accident statistics indicators in different industries21.
The comparison of work-related injury statistics data in various countries often has problems, mainly because work-related injury statistics are based on different national records and notification systems22. Developed countries determine the future direction of supervision, law enforcement, and assistance based on the national security situation23,24. Macedo et al.25 studied accidents in the work environment in Portugal over the decade 1992–2001 and believed that a thorough and comprehensive study of the incidence and causes of occupational accidents in Portugal should be conducted in order to develop and implement effective prevention plans. Pavlic et al.26 studied occupational injuries in Slovenia from 1948 to 2008. Since the early 1960s, fatal and non-fatal occupational injuries in Slovenia have significantly decreased, emphasizing the diversity of models used to collect work-related injury data. Unsar et al.27 evaluated the results of occupational accidents in Turkey from 2000 to 2005 according to various standards and found that the number of deaths caused by occupational accidents was constantly declining, as was the trend of permanent disability. Jacinto et al.28 identified opportunities for further development and research on occupational accident reporting and registration systems. Vallmuur et al.29 used machine learning methods to reduce the coding statistics of work-related injury databases to one-third. Tixier et al.30 utilized natural language processing (NLP) to automatically extract key content from accident reports in the US construction industry. Lehto et al.31 used two Bayesian methods to analyze the causes of work-related accidents in the United States.
Literature research has found that there is little research on the relationship between safety production indicators and economic and social indicators both domestically and internationally. The development of the economy and society inevitably brings about safety production issues. Reasonable economic investment in safety production can increase the safety of production. Therefore, the relationship between economic and social indicators and safety production indicators should be explored. Firstly, analyze the development laws of China's safety production indicators and economic and social indicators separately, and then analyze the qualitative and quantitative relationship between China's economic development and safety production. The research can guide the future development direction of safety production indicators and economic and social indicators.
Method
Grey relation analysis is the analysis of the degree of geometric similarity between two series. The higher the degree of similarity, the higher the grey relation degree. The calculation steps of the grey relation analysis method consist of five steps.
The first step is to identify the reference series that reflects the characteristics of system behavior and the comparative series that affects system behavior.
The second step is to perform dimensionless processing on the reference series and comparison series. Here, the initialization method is adopted, which means that each digit of the series is divided by the first digit of the series.
The third step is to calculate the grey relation coefficient of the reference series and the comparison series according to the formula, which is the difference between the values of the two series. The calculation formula is shown in Formula 1.
In the formula, G is the resolution coefficient. The smaller the value of G, the greater the resolution of grey correlation, 0 < G < 1, taken at 0.5. \(\frac{min}{i}\frac{min}{k}\left|{X}_{0}\left(k\right)-{X}_{i}\left(k\right)\right|\) is the minimum absolute difference between the values of the reference sequence and the comparison sequence. \(\frac{max}{i}\frac{max}{k}\left|{X}_{0}\left(k\right)-{X}_{i}\left(k\right)\right|\) is the maximum absolute difference between the values of the reference series and the comparison series. \(\left|{X}_{0}\left(k\right)-{X}_{i}\left(k\right)\right|\) is the absolute difference between the values of the reference series and the comparison series. \({G}_{i}\left(k\right)\) is the relationship coefficient between the comparison series and the reference series.
The fourth step is to sum up the relation coefficients of each series to obtain the grey relation degree;
The fifth step is to sort the series according to the grey relation degree so as to obtain the grey relation ranking of the sequence.
Multiple linear regression is an extension of simple linear regression, which can quantitatively describe the multiple linear model between multiple independent variables and a dependent variable. The calculation model of multiple linear regression is shown in Formula 2.
In the formula, y is the dependent variable, a is the intercept of the multiple linear regression equation, i is the number of independent variables, ai is the coefficient of the independent variable, and xi is the independent variable.
By substituting the values of the independent and dependent variables, the intercept and independent variable coefficients of the multiple linear regression equation can be obtained; that is, the multiple linear regression equation can be obtained. The closer the correlation coefficient is to 1, the higher the fitting degree. The hypothesis test result of the regression coefficient is the variance inflation factor F, with an F value greater than 10, indicating the existence of multicollinearity in the multiple linear regression equation.
China's safety production indicator data
Analyze the changes in the three indicators of annual deaths, work-related injuries, and occupational diseases in China's safety production over the past two decades. Compare the safety production related data of China and the United States in the past two decades, including safety production data of all industries, and further analyze the safety production related data of workplaces (industrial, mining, commerce, agriculture, and fishery), transportation (road, water, aviation, and railway), and other three categories.
The changes in the development of the three indicators of annual deaths, work-related injuries, and occupational diseases in China's safety production in the past two decades are shown in Fig. 1. The number of work-related injuries in safety production is calculated based on the number of people who enjoy work-related injury benefits.
In the past two decades, the number of deaths has shown a rapid decline year by year, from 120,351 to 20,099, with the death toll decreasing nearly six times. In the past two decades, the number of work-related injuries has shown a trend of first increasing and then stabilizing, rising from 188,000 to 2037,000. In the past decade, the number of work-related injuries has remained stable at 2 million. In the past two decades, the number of occupational diseases has shown a trend of first increasing and then decreasing, from 11,718 people to 31,789 people and then decreasing to 11,108 people.
Analysis of China's economic and social statistical data
Selection of main economic and social indicators
The main selection is economic and social indicators that can reflect the current situation of safety production in China. Three categories and 14 indicators are preliminarily selected, as shown in Table 1.
Analysis of China's economic and social indicators data
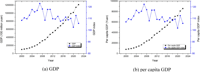
The GDP and per capita GDP index refers to the relative trend and degree of GDP and per capita GDP changes over a certain period of time. The GDP index is equal to the current year's GDP divided by the previous year's GDP and multiplied by 100. The per capita GDP index is equal to the current year's per capita GDP divided by the previous year's per capita GDP and multiplied by 100. The changes in China's GDP and per capita GDP over the past two decades are shown in Fig. 2a and b. In the past two decades, both GDP and per capita GDP have maintained stable growth with a nearly linear function, with an average annual GDP growth rate of 8.4% and a per capita GDP growth rate of 7.8%. The GDP has increased from 9921.5 billion yuan to 121,020.7 billion yuan, an increase of approximately 12 times. The per capita GDP increased from 7858 yuan to 85,698 yuan, an increase of approximately 11 times.
The changes in China's industrial structure over the past two decades are shown in Fig. 3. In the past two decades, the proportion of the production value of the primary industry to GDP has shown a slow downward trend year by year, from 15.1 to 7.3%, and the proportion has always been the lowest. In the past two decades, the proportion of the production value of the secondary industry to GDP has declined to a certain extent, from 45.9 to 39.3%, and the proportion has decreased from the highest to the second. In the past two decades, the proportion of the production value of the tertiary industry to GDP has shown a slow upward trend year by year, decreasing from 39 to 53.4%, and the proportion has increased from the second to the highest. Currently, the proportion of the production value of the tertiary industry to GDP exceeds half.
The changes in China's employment structure over the past two decades are shown in Fig. 4. In the past two decades, the proportion of the employed population in the primary industry to the total employed population has shown a linear and rapid decline trend year by year, from 50 to 24.1%, and the proportion has decreased from the highest to the lowest. In the past two decades, the proportion of the employed population in the secondary industry to the total employed population has increased to a certain extent, with relatively little change, rising from 22.5 to 28.8%, and the proportion has risen from the lowest to the highest. In the past two decades, the proportion of the employed population in the tertiary industry to the total employed population has shown a significant upward trend, rising from 27.5 to 47.1%, and the proportion has risen from the second to the highest. Currently, the proportion of the employed population in the tertiary industry to the total employed population is close to half.
The changes in the proportion of urban population to the total population in China over the past two decades are shown in Fig. 5. In the past two decades, the proportion of urban population to the total population has shown a linear and rapid increase trend, from 36.22 to 65.22%, an increase of 29%. In the past two decades, the proportion of urban population to the total population in China has nearly doubled.
The changes in the proportion of public education funding to GDP, the proportion of scientific research investment to GDP, and the urban registered unemployment rate in China over the past two decades are shown in Fig. 6. In the past two decades, the proportion of public education funding to GDP has shown a trend of first increasing and then stabilizing, rising from 2.87 to 4.01%. The proportion of public education funding to GDP has remained stable and greater than 4% in the past decade. In the past two decades, the proportion of scientific research investment to GDP has shown a slow and increasing trend, from 1 to 2.54%, and the proportion will continue to increase. In the past two decades, the urban registered unemployment rate has shown a basically stable trend, rising from 3.1 to 5.6%. The urban registered unemployment rate has remained at a level of 4% year-round.
The changes in Engel's coefficient and doctors per 1000 people in China over the past two decades are shown in Fig. 7. In the past two decades, the Engel's coefficient has shown a fluctuating downward trend, decreasing from 39.4 to 30.5%. The Engel's coefficient has decreased by 10% and has been around 30% in the past decade, indicating that China is currently at a level of prosperity. In the past two decades, doctors per 1000 people have been continuously increasing year by year, from 1.68 to 3.15%, and doctors per 1000 people have nearly doubled.
The changes in the number of junior high school students per 10,000 people and the number of students enrolled in higher education institutions per 10,000 people in China over the past two decades are shown in Fig. 8. In the past two decades, the number of junior high school students per 10,000 people has shown a trend of first decreasing and then increasing, from 4969 to 3625. The number of junior high school students per 10,000 people has slowly increased in the past decade and is expected to remain stable in the future. In the past two decades, the number of students enrolled in higher education institutions per 10,000 people has shown a continuous upward trend, increasing from 723 to 3510. The number of students enrolled in higher education institutions per 10,000 people has always been lower than that of junior high school students. In the past decade, the number of students enrolled in higher education institutions per 10,000 people has gradually approached that of junior high school students, and it is expected to maintain basic stability in the future.
Analysis of China's safety production and economic and social factors
Grey relation analysis
Based on the time limit of nearly 20 years in China, the number of deaths, work-related injuries, and occupational diseases in safety production each year are used as reference series, and 14 economic and social indicators are used as comparison series. The codes of the comparison series are X1, X2, X3, X4, X5, X6, X7, X8, X9, X10, X11, X12, X13, and X14, respectively. Grey relation analysis is conducted, and the grey relation degree is sorted in descending order, as shown in Tables 2, 3, and 4, with 4 decimal places retained.
The grey relation degree between the annual number of deaths in safety production and 14 economic and social indicators is relatively high. The economic and social indicators that affect the annual number of deaths in safety production mainly include the number of junior high school students per 10,000 people, Engel's coefficient, the proportion of production value of the secondary industry to GDP, the proportion of production value of non-agricultural industries to GDP, the proportion of the employed population in the secondary industry to the total employed population, and doctors per 1000 people. The economic and social indicators that have a relatively small impact on the annual number of deaths in safety production are mainly GDP, per capita GDP, and the number of students enrolled in higher education institutions per 10,000 people. The development laws of safety production indicators and economic and social indicators were given earlier, and the grey relational analysis directionally described the relationship between safety production indicators and economic and social indicators. The research results indicate that the development pattern of China's GDP in the past two decades is most inconsistent with the development pattern of the death toll. This is because China's economy has become more mature and focused more on safety in the past two decades, so when GDP increases, the death toll decreases.
The grey relation degree between the annual number of work-related injuries in safety production and 14 economic and social indicators is average. The economic and social indicators that affect the annual number of work-related injuries in safety production mainly include the GDP, per capita GDP, number of students enrolled in higher education institutions per 10,000 people, and the proportion of scientific research investment to GDP. The economic and social indicators that have a relatively small impact on the annual number of work-related injuries in safety production are mainly the proportion of production value of the secondary industry to GDP, the number of junior high school students per 10,000 people, and Engel's coefficient.
The grey relation degree between the annual number of occupational diseases in safety production and 14 economic and social indicators is relatively high. The economic and social indicators that affect the annual number of occupational diseases in safety production mainly include the proportion of public education funding to GDP, the proportion of scientific research investment to GDP, the proportion of urban population to total population, the proportion of the employed population in non-agricultural industries to the total employed population, the proportion of the employed population in the secondary industry to the total employed population, doctors per 1000 people, and urban registered unemployment rate. The economic and social indicators that have a relatively small impact on the annual number of occupational diseases in safety production are mainly GDP and per capita GDP.
Multiple liner regression analysis
According to the grey relation analysis in Section "Grey relation analysis", it is found that there is a certain degree of grey relation between the annual number of deaths, work-related injuries, and occupational diseases in safety production and the 14 indicators of economic and social factors. Therefore, 14 indicators of economic and social factors were selected, with the number of deaths, work-related injuries, and occupational diseases in safety production as the dependent variables and the 14 economic and social indicator data as the independent variables. Multiple linear regression analyses were conducted. The results of the multiple linear regression analysis are shown in Table 5.
The R2 values between the number of deaths, injuries, and occupational diseases and 14 economic and social indicators are all greater than 0.9, indicating that the multiple linear regression analysis model has a good correlation. The F-value between the number of deaths, injuries, and occupational diseases and 14 economic and social indicators are all greater than 10, indicating a good collinearity problem. The P-value between the number of deaths, injuries, and occupational diseases and 14 economic and social indicators are all less than 0.05, indicating that the coefficients of each variable are significant. The multiple linear regression analysis model established between the annual number of deaths, work-related injuries, occupational diseases, and 14 economic and social indicators in safety production is reasonable.
According to the multiple linear regression analysis model, the number of deaths, work-related injuries, and total occupational diseases in safety production for the past two decades were calculated, and the fitted values were obtained. The actual values and fitted values for the past two decades are plotted in Fig. 9a to c.
It can be seen that the deviation between the actual value and the fitted value obtained by the multiple linear regression analysis model is very small. Therefore, it can be concluded that the multiple linear regression analysis model established between the annual number of deaths, work-related injuries, occupational diseases, and 14 economic and social indicators in safety production is reasonable.
Conclusions
The article analyzes the development patterns of safety production indicators and economic and social indicators in China over the past two decades, as well as the qualitative and quantitative relationship between the two. The research can guide the future development direction of safety production indicators and economic and social indicators.
-
1.
From the data on safety production indicators in China in the past two decades, it can be seen that the form of safety production in China has significantly improved.
The number of deaths in safety production has decreased nearly six times in the past two decades. The number of work-related injuries has remained stable at 2 million in the past decade. In the past two decades, the number of occupational diseases in China's safety production has shown a trend of first increasing and then decreasing.
-
2.
Three categories and 14 economic and social indicators that can reflect the safety production situation in China have been selected. After analyzing the patterns of 14 economic and social indicator data in the past two decades, China's economy has achieved tremendous transformation.
In terms of economic development, both China's GDP and per capita GDP have maintained stable growth with a nearly linear function, with a growth rate of about 8%. In terms of industrial structure, the proportion of production value in the tertiary industry has risen to the highest, with the current proportion exceeding half. In terms of employment structure, the proportion of employed population in the tertiary industry has risen to the highest, currently accounting for nearly half. In terms of urbanization, the proportion of urban population has shown a linear and rapid increase, with the proportion nearly doubling. There has also been some progress in the level of social civilization.
-
3.
A comparative analysis was conducted on the relationship between safety production and economic and social development in China.
The grey relation analysis method was used to analyze the degree of grey relation between the annual number of deaths, work-related injuries, occupational diseases, and 14 economic and social indicators in China's safety production in the past two decades. The degree of grey relation between the number of deaths, occupational diseases, and 14 economic and social indicators is relatively high. There is a certain degree of grey relation between the number of work-related injuries and 14 economic and social indicators. The ranking of economic and social indicators that affect the annual number of deaths, work-related injuries, and occupational diseases in safety production varies greatly.
Multiple linear regression models were established for the total number of deaths, work-related injuries, occupational diseases, and 14 economic and social indicators of safety production each year. The R2 are all greater than 0.9, the F-values are all greater than 10, the P-values are all less than 0.05, and the deviation between the fitted values and the actual values is very small. Therefore, it can be concluded that the multiple linear regression analysis model established between the annual total number of deaths, work-related injuries, occupational diseases, and 14 economic and social indicators in safety production is reasonable.
Data availability
The primary data used to support the findings of this study are available from the corresponding author upon request.
References
Wan, Y. Since the Reform and Opening Up, the CPC has Studied Work Safety. Doctor, https://doi.org/10.27162/d.cnki.gjlin.2023.000427 (Jilin University, 2023).
Yang, N. Reflection on improving the statistical work of production safety accidents in China. China Saf. Prod. Sci. Technol. 7, 159–162 (2011).
Lv, H. Research on Theoretical Methods for Statistical Analysis and Prediction of Production Safety Accidents (Doctor, Beijing Forestry University, 2004).
Du, X. On Optimization of Registration Form for Statistical Investigation System of Production Safety Accidents in China. Master, https://doi.org/10.27493/d.cnki.gzdzy.2021.000930 (China University of Geosciences, 2021).
Fu, G., Deng, J., Zhang, S., Xue, Z. & Gong, C. Research on occupational safety and health performance indicators in the United States, Britain, and Australia and their reference for China Chinese. J. Security Sci. 20, 103–109. https://doi.org/10.16265/j.cnki.issn1003-3033.2010.07.021 (2010).
Ren, Z., He, Y., Zeng, M. & Jin, L. Analysis and improvement suggestions on the current statistical system and model of production safety accidents in China. China Saf. Prod. Sci. Technol. 14, 69–77 (2018).
Wu, C. & Wang, T. The creation and research of safety statistics. Chin. J. Security Sci. 22, 3–11. https://doi.org/10.16265/j.cnki.issn1003-3033.2012.07.025 (2012).
Wu, H. Construction of a statistical index system for transportation and safety in the railway industry. Chin. J. Security Sci. 28, 124–128. https://doi.org/10.16265/j.cnki.issn1003-3033.2018S2.023 (2018).
Tian, H. Research on Innovation and Application of Statistical Index System for Construction Production Safety Accidents (Master, Capital University of Economics and Trade, 2013).
Wu, D. & Zhang, C. Overview and inspiration of foreign occupational safety and health statistical indicator systems. China Saf. Prod. 13, 60–61 (2018).
Zhang, Z., Wu, C. & Gao, K. Design and statistical rules of subject and object scene indicators for electrical injury accidents. Chin. Saf. Prod. Sci. Technol. 14, 185–192 (2018).
Yu, H., Yun, L., Ying, Z., Zhu, Z. & Pingfeng, Z. Research on ranking evaluation models of safety risk in productive enterprises based on the perspective of supervision. Procedia Eng. 84, 100–107. https://doi.org/10.1016/j.proeng.2014.10.415 (2014).
Li, C., Qin, J., Li, J. & Hou, Q. The accident early warning system for iron and steel enterprises based on combination weighting and Grey Prediction Model GM (1,1). Saf. Sci. 89, 19–27. https://doi.org/10.1016/j.ssci.2016.05.015 (2016).
Lv, C., Wu, Z., Liu, Z. & Shi, L. The multi-level comprehensive safety evaluation for chemical production instalment based on the method that combines grey-clustering and EAHP. Int. J. Disaster Risk Reduct. 21, 243–250. https://doi.org/10.1016/j.ijdrr.2016.11.015 (2017).
Zou, Q. et al. Rationality evaluation of production deployment of outburst-prone coal mines: A case study of Nantong coal mine in Chongqing, China. Saf. Sci. https://doi.org/10.1016/j.ssci.2019.104515 (2020).
Yang, D. et al. Consequences analysis of the LPG tank truck traffic accident: A case study of the Wenling explosion accident. J. Loss Prev. Process Ind. 87, 105228. https://doi.org/10.1016/j.jlp.2023.105228 (2024).
Yang, D. et al. Characteristics and statistical analysis of large and above hazardous chemical accidents in China from 2000 to 2020. Int. J. Environ. Res. Public Health 19, 15603. https://doi.org/10.3390/ijerph192315603 (2022).
Davies, J. C., Stevens, G. & Manning, D. Understanding accident mechanisms: An analysis of the components of 2516 accidents collected in a MAIM database. Saf. Sci. 29, 25–58 (1998).
McGuinness, E. & Utne, I. B. Identification and analysis of deficiencies in accident reporting mechanisms for fisheries. Saf. Sci. 82, 245–253. https://doi.org/10.1016/j.ssci.2015.09.030 (2016).
Salmon, P. M. et al. Rasmussen’s legacy in the great outdoors: A new incident reporting and learning system for led outdoor activities. Appl. Ergon. 59, 637–648. https://doi.org/10.1016/j.apergo.2015.07.017 (2017).
Lortie, M. & Rizzo, P. The classification of accident data. Saf. Sci. 31, 31–57 (1999).
Benavides, F. G. et al. Comparison of fatal occupational injury surveillance systems between the European Union and the United States. Am. J. Ind. Med. 44, 385–391 (2003).
Carrillo-Castrillo, J. A., Rubio-Romero, J. C. & Onieva, L. Causation of severe and fatal accidents in the manufacturing sector. Int. J. Occup. Saf. Ergon. 19, 423–434. https://doi.org/10.1080/10803548.2013.11076999 (2013).
Khanzode, V. V., Maiti, J. & Ray, P. K. Occupational injury and accident research: A comprehensive review. Saf. Sci. 50, 1355–1367. https://doi.org/10.1016/j.ssci.2011.12.015 (2012).
Macedo, A. C. & Silva, I. L. Analysis of occupational accidents in Portugal between 1992 and 2001. Saf. Sci. 43, 269–286. https://doi.org/10.1016/j.ssci.2005.06.004 (2005).
Pavlic, M., Likar, B., Pavlic, A. & Markic, M. Managing occupational injuries records in Slovenia from 1948 to 2008. Saf. Sci. 49, 834–842. https://doi.org/10.1016/j.ssci.2011.01.013 (2011).
Unsar, S. & Sut, N. General assessment of the occupational accidents that occurred in Turkey between the years 2000 and 2005. Saf. Sci. 47, 614–619. https://doi.org/10.1016/j.ssci.2008.08.001 (2009).
Jacinto, C. & Aspinwall, E. A survey on occupational accidents’ reporting and registration systems in the European Union. Saf. Sci. 42, 933–960 (2004).
Vallmuur, K. et al. Harnessing information from injury narratives in the ‘big data’ era: Understanding and applying machine learning for injury surveillance. Injury Prev. 22, i34–i42. https://doi.org/10.1136/injuryprev-2015-041813 (2016).
Tixier, A. J. P., Hallowell, M. R., Rajagopalan, B. & Bowman, D. Automated content analysis for construction safety: A natural language processing system to extract precursors and outcomes from unstructured injury reports. Autom. Construct. 62, 45–56. https://doi.org/10.1016/j.autcon.2015.11.001 (2016).
Lehto, M., Marucci-Wellman, H. & Corns, H. Bayesian methods: A useful tool for classifying injury narratives into cause groups. Injury Prev. 15, 259–265. https://doi.org/10.1136/ip.2008.021337 (2009).
Acknowledgements
This work was supported by the Fundamental Research Funds for Zhejiang Provincial Universities and Research Institutes.
Author information
Authors and Affiliations
Contributions
D.H.: data curation, writing—original draft. S.F.: methodology, software, writing—review and editing. H.Z.: conceptualization, supervision. All authors have reviewed and approved the final manuscript.
Corresponding author
Ethics declarations
Competing interests
The authors declare no competing interests.
Additional information
Publisher's note
Springer Nature remains neutral with regard to jurisdictional claims in published maps and institutional affiliations.
Rights and permissions
Open Access This article is licensed under a Creative Commons Attribution-NonCommercial-NoDerivatives 4.0 International License, which permits any non-commercial use, sharing, distribution and reproduction in any medium or format, as long as you give appropriate credit to the original author(s) and the source, provide a link to the Creative Commons licence, and indicate if you modified the licensed material. You do not have permission under this licence to share adapted material derived from this article or parts of it. The images or other third party material in this article are included in the article’s Creative Commons licence, unless indicated otherwise in a credit line to the material. If material is not included in the article’s Creative Commons licence and your intended use is not permitted by statutory regulation or exceeds the permitted use, you will need to obtain permission directly from the copyright holder. To view a copy of this licence, visit http://creativecommons.org/licenses/by-nc-nd/4.0/.
About this article
Cite this article
Han, D., Fang, S. & Zhu, H. Research on the development relationship between safety production indicators and economic and social indicators in China. Sci Rep 14, 19775 (2024). https://doi.org/10.1038/s41598-024-70945-y
Received:
Accepted:
Published:
Version of record:
DOI: https://doi.org/10.1038/s41598-024-70945-y











