Fig. 2
From: Comparison of bone turnover suppression in atypical femoral fractures and osteoporotic hip fractures

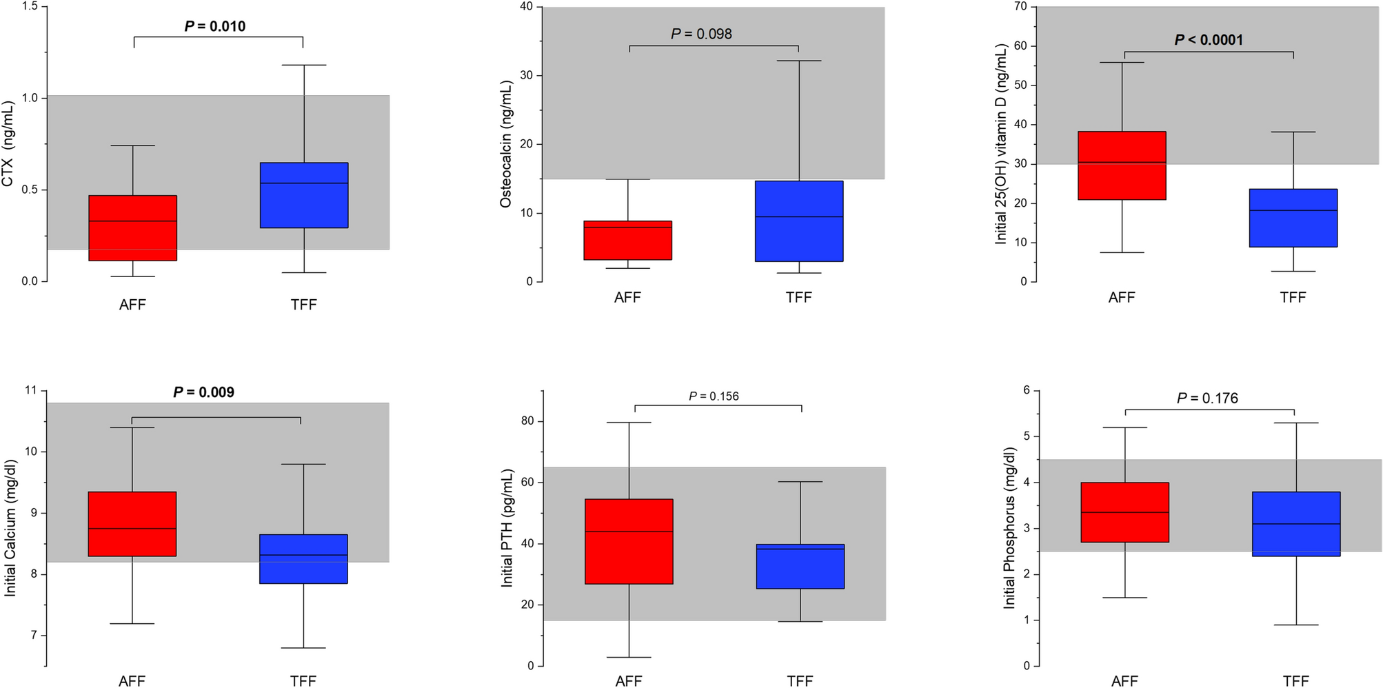
Comparison of bone turnover markers between the atypical and typical femur fracture groups. Box-and-whisker plots for each bone turnover marker based on a one-to-one matching analysis. The gray boxes in the plots indicate the normal range for each parameter. AFF, atypical femoral fracture; TFF, typical femoral fracture (osteoporotic hip fracture).