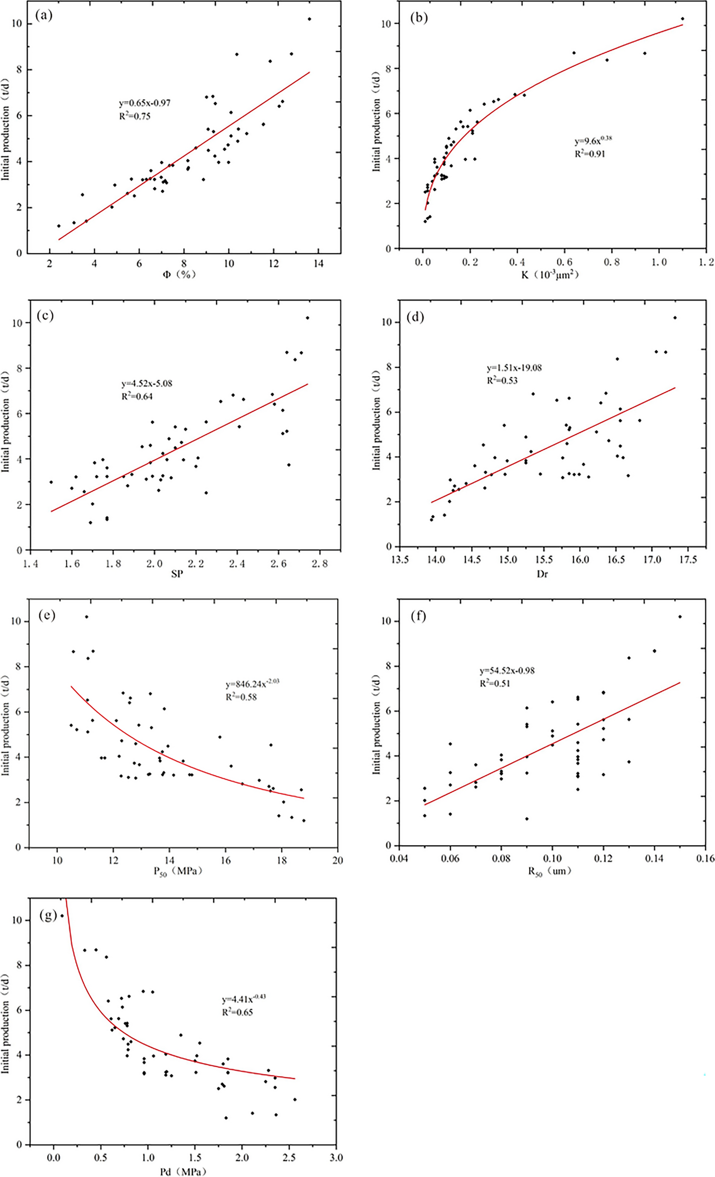
Fig. 3

Relationship between initial production and porosity, permeability, selectivity coefficient, coefficient of variation, median pressure, median radius, and displacement pressure.

Relationship between initial production and porosity, permeability, selectivity coefficient, coefficient of variation, median pressure, median radius, and displacement pressure.