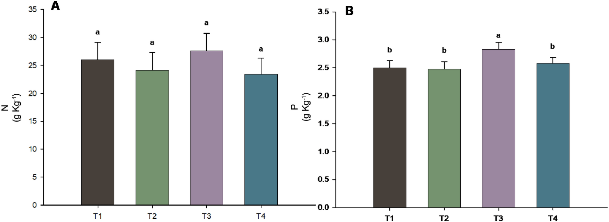
Fig. 2

Mean nitrogen content (g kg−1) of the (A) and mean phosphorus content (B) of the soybean plant INTACTA RR2 PRO in the different treatments with the application of the fungi T. harzianum and P. lilacinum. T1 = Control; T2 = T. harzianum; T3 = P. lilacinum; T4 = T. harzianum + P. lilacinum.