Abstract
This study challenges historical paradigms using a large-scale integrated bioarchaeological approach, focusing on the female experience over the last 2,000 years in Milan, Italy. Specifically, 492 skeletons from the osteological collection of Milan were used to elucidate female survivorship and mortality by integrating bioarchaeological and paleopathological data, paleoepidemiological analyses, and historical contextualization. Findings revealed changes in female longevity, with a notable increase from Roman to contemporary eras, albeit plateauing in the Middle Ages/modern period. Significant sex-specific differences in mortality risk and survivorship were observed: females had higher mortality risk and lower survivorship in the Roman (first-fifth century AD) and Modern (16th-18th century AD) eras, but this trend reversed in the contemporary period (19th-20th century AD). Cultural and social factors negatively impacted female mortality in Roman and modern Milan, while others buffered it during the Middle Ages (sixth-15th century AD). This study underscored the importance of bioarchaeological inquiries in reconstructing the past, providing answers that may challenge historical assumptions and shedding light on how the interplay of cultural, social, and biological factors shaped the female experience across millennia.
Similar content being viewed by others
Introduction
Historical, archaeological, and iconographic sources constitute our main source of knowledge relating to the past, the foundation on which our understanding of history is built. Yet, this source is not without its biases and limitations. One of these is that women are much less prevalent in (and authoring) written sources than men, thus skewing the narrative. This may in part be explained by the fact that many such documents are public sources and account for historical and political events from which women were mostly excluded1,2,3. Overall, women’s topics in history show a common overemphasis on their domestic roles without placing women’s activities in broader economic, cultural, or political contexts4,5. With global feminist movements in the 1970’s, scholarly interest in women’s history shortly followed in fields like history, archaeology, and anthropology6,7,8,9,10,11,12,13,14,15. Following in their footsteps, the contemporary historiographical debate has started to introduce the economic and social role of women as well as their contribution in productive and commercial activities16,17,18,19,20,21,22,23,24 slowly overcoming recounts of women focused on gender stereotypical roles and starting to shed light on women’s living experiences and their activity. However, written sources are not the only source of information related to the past: indeed, material culture can help overcome the limitations of written sources and uniquely complete them. One of such materials are human remains, which constitute biological testimonies of past experiences.
Bioarchaeology is an interdisciplinary field of study centered around the analysis of human remains for a better understanding of human variation, activity, behavior, health, and disease25,26,27. Difficult living conditions, malnutrition, pathological conditions, physical violence, physiological and mechanical stress can be embodied in the skeleton. Indeed, skeletal remains are plastic and adaptable to an individual’s environment and lifestyle. Embodiment theory in bioarchaeology postulates that the skeleton represents the biological adaptation to social, cultural, and environmental factors, and as such, its specific conformation and properties are the result of a lived experience, thus linking the biological body and the social, ecological, and cultural world it engaged28. As Schrader and Torres-Rouff (2020, p. 15) explained “Using an embodiment framework, human remains can be viewed as experiential, social, and agentive, allowing a wealth of interpretive lenses that were previously inaccessible concerning identity, intimacy, and the experience of the archaeological past”28. The interdisciplinary examination of the skeletal remains of the people who directly lived and experienced the past within their historical and archaeological context adds biocultural testimonies of life histories and experiences to the historical narrative and thus allows for a more complete reconstruction of the past.
In this perspective, the present study engages with historical phenomena at multiple scales of analysis within the bioarchaeological field, while focusing on a particular aspect of our history: the female experience. Specifically, the aim of this paper is to examine female survivorship and mortality from a sample of 492 skeletons (females and males) of the osteological collection of Milan to better understand how the living condition of women evolved over the last 2,000 years in Milan (Italy) in an approach that integrates paleopathological data, paleoepidemiological analyses, and historical interpretation and contextualization.
Methods
A total of 492 skeletons were selected for this study from the Collezione Antropologica LABANOF (CAL) or Anthropological Collection of the Laboratory of Forensic Anthropology and Odontology (LABANOF), housed at the University of Milan (Italy)29. Although this study focuses on women, it cannot be undertaken without also considering men, as it would create biases in the analysis of the data and prevent a comprehensive understanding of the trends observed. Inclusion of a male group in the sample allows to better contextualize systemic events and evidence gender-related differences, which is why the sample is almost equally distributed between sexes (253 females and 239 males).
The skeletons were randomly selected while respecting one main criterion: maturation of the pelvis should be sufficient (i.e., fusion of ilium, ischium, and pubis in the innominate) to allow for a reliable sex estimation. This sample size is the result of various studies in the project led by one of the authors on the investigation of the female condition in Milan from the analysis of their skeletal remains30,31,32,33. The skeletons originated from eight archaeological sites in Milan (Figs. 1, 2): the excavation below the current Università Cattolica dated to the Roman era (second-fifth century AD)34; the scientific excavation of the Ambrosian basilica of San Dionigi (fifth century AD)35; the M4 underground metropolitan line vertical excavations at the Sant’Ambrogio Basilica (with stratigraphic units spanning from the Roman era—first and second century AD, to the Late Middle Ages –15thcentury AD)36 and San Vittore (with phases of burials from the Roman era—third-fourth century AD, to the Modern age—16th and 17th century AD); the vertical excavation of Via Necchi spanning from the Roman era to the Late Middle Ages; the mass grave burials probably due to the Manzoni plague (middle of the 17th century AD) from Viale Sabotino37; the remains of the deceased patients of the Ca’ Granda hospital (17th century AD)38; and the CAL Milano Cemetery Skeletal Collection, a modern and documented osteological collection constituted of unclaimed cemetery individuals who died in the second half of the twentieth century, in accordance with Italian law29. All of the skeletons come from urban archaeological sites in Milan and were dated based on stratigraphy, material culture, and radiocarbon dating, and attributed to one of the following time periods: Roman Era (first-fifth century AD), Early Middle Ages (sixth-tenth century AD), Late Middle Ages (11th-15th century AD), Modern Era (16th-18th century AD) and Contemporary Era (19th-20th century AD). Archaeological analyses of the topography of the necropolises, associated cultural material, and structure of the burials suggest that the individuals of the present study belonged to the poor/middle classes of the Milanese society. This setting allows for a homogenous diachronic analysis. Indeed, the urban location of the necropolises offers a relatively homogenous and historically referenced geographic and environmental context, and social and economic disparities are limited by the similar socioeconomic background of the individuals of the study.
Map of the different archeological sites selected in Milan. Colors change according to historical period: red = Roman era, blue = Early Middle Ages, green = Late Middle Ages, purple = Modern era; contemporary cemeteries from the CAL Milano Cemetery Skeletal Collection are located further away from the city center. City walls per historical period are also shown. Figure generated by the authors and Lucrezia Rodella using QGIS 3.28 Firenze https://www.qgis.org and Adobe Photoshop 22.1.0 https://www.adobe.com/creativecloud/plans.html
Bioarchaeological analyses included estimations of biological sex, age-at-death, stature, as well as pathological and traumatic analysis. Biological sex was estimated using dimorphic morphological traits of the pelvis and cranium39,40,41,42 as well as metric analysis43. Age-at-death was estimated on the basis of dental eruption44, epiphyseal fusion45, and degenerative changes at the pubic symphysis46, auricular surface47,48 and acetabulum49, first rib50, and sternal end of the fourth rib51. The age estimates were then classified into the following age categories: 16–20, 21–30, 31–45, 46–60, 61–80, and > 80 years.
Statistical analyses
To determine whether males and females faced similar risks of dying, and whether those risks differed over time, sex was modeled as a covariate affecting the Gompertz hazard model within each time period. The Gompertz model is a two-parameter biomathematical hazard model of mortality that reflects the age-related physiological processes that influence mortality52,53,54. The mortality function55 fits the general pattern of mortality among adults, with relatively low risks of mortality at earlier adult ages and increasing risks of death with senescence (Wood et al., 2002). Importantly, hazard models that have relatively few parameters can be informatively applied to the small sample sizes that are typical of bioarchaeological and paleopathological studies56, as they accommodate missing data without imposing any particular pattern on the existing data. In this study, sex was modeled as a covariate affecting the Gompertz model using a proportional hazard specification:
where the baseline Gompertz hazard h(ti) = αeβt, ti is the age of the skeleton in years, xi is the sex covariate, and ρ is the parameter representing the effect of the covariate on the baseline hazard. Model parameters were estimated using maximum likelihood analysis with the program mle57. In the Gompertz hazards analyses with the sex covariate, a positive estimate for the parameter representing the effect of the sex covariate would suggest that males were at an increased risk of death compared to females, whereas a negative estimate would suggest males were at decreased risk of death. A likelihood ratio test (LRT) was used to assess the fit of the full model (i.e., the version of the model that includes the sex covariate) compared to the baseline model (i.e., the version of the model that does not include the sex covariate). The LRT tests the null hypothesis that sex had no effect on risk of mortality (H0: effect of sex covariate = 0). The LRT was computed as follows: LRT = −2[ln(Lsex) – ln(Lbaseline)], where LRT approximates a χ2 distribution with df = 1.
In addition to the Gompertz hazards analyses, the effect of sex on survivorship within each time period was assessed using Kaplan–Meier survival analysis with SPSS version 29. A log rank test was used to identify significant differences in survivorship between males and females within each time period. In these analyses, we selected a priori an alpha of less than 0.1 as indicative of a trend.
Results
The results of Gompertz hazard analyses of the effect of sex on risk of death in each time period are shown in Table 1. In the contemporary sample, the estimated value of the parameter representing the effect of sex is positive, the corresponding 95% confidence interval includes only positive values, and the results of the likelihood ratio test (LRT) indicate that inclusion of the covariate significantly improves the fit of the model. Although not meeting the traditional standard for statistical significance (p < 0.05), the results of the likelihood ratio tests for the Roman and modern periods are approaching significance (p < 0.1), the estimated value of the parameter representing the effect of sex is negative in both cases, and the upper bounds of the associated 95% confidence intervals only marginally exceed zero. Consequently, the authors consider the results for the Roman and modern periods to be indicative of a trend. Overall, the results suggest that, in the Roman and Modern samples, males were at decreased risk of death when compared to their female counterparts. In the Early and Late Middle Ages, sex did not significantly influence risk of death. In contrast, in the Contemporary sample, the results suggest that males were at increased risk of death compared to females.
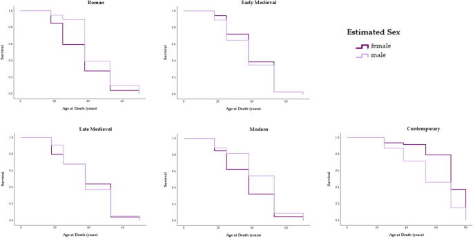
The results of Kaplan–Meier survival analysis and their corresponding survival curves are presented in Table 2 and Fig. 3. Statistically significant differences in survivorship between estimated males and estimated females were found in the Roman, Modern, and Contemporary periods, but not the Early and Late Middle Ages. Specifically, males survived longer than females in the Roman and Modern periods, but females survived longer than males in the Contemporary period.
Discussion
The study employed paleoepidemiological analyses to examine the effects of sex on adult survivorship and mortality risk across all time periods as well as per time periods, in order to better understand female mortality and experience in Milan over the last 2,000 years.
Gompertz and Kaplan–Meier analyses showed that women faced higher risks of death and died at younger ages with respect to men in the Roman and modern periods. Although p-values were above 0.05 for the hazard analysis results, they were so close to significance (p < 0.1) that we argue they are still indicative of a trend and worthy of discussion. Moreover, the definitive results obtained in the Kaplan–Meier analyses lend support to the significance of the Gompertz results. In post-Black Death medieval London, hazard analyses showed a lower risk of death for males58,59, consistent with our results for the modern period. Dissimilarly from our study, some authors60,61 found a higher risk of mortality for males in Roman Britain which they attributed mainly to biological differences between sexes, including enhanced female immune response, increased male environmental sensitivity, and genetic differences in disease prevalence and severity (especially infectious diseases) between sexes. Similarly, Speal62 found lower survivorship and higher risk of death for males in his Eastern European Roman sample.
The trend previously described was not observed in the Early and Late Middle Ages, with no statistically significant difference between male and female risks of death or survivorship in our sample. Several other studies found no sex differences in risk of death in the Late Middle Ages 58,63,64. However, Mangas‐Carrasco and López‐Costas65 described higher ages-at-death for males in medieval Spain, though their sample size was small (94 adults), and Fojas 66 observed lower survivorship for females in Mississipian Tenessee, which they attributed mainly to maternal mortality. Blondiaux et al.67, similarly suggested maternal mortality as a cause for the decline in female survivorship relative to males in their French sample spanning from Late Antiquity to the Late Middle Ages.
In our contemporary sample, we attested a reversal of the trend, with females facing lower risks of death and dying at older ages with respect to males, which is consistent with previous studies68 and current data on sex differences in lifespan69.
Mean ages-at-death (Table 2) showed an overall increase in female longevity from Roman to contemporary times, with a plateau in the Middle Ages/modern era. This result was observed in many studies68,70,71,72, though DeWitte73,74 noted a reduction in survivorship in pre-Black Death London, which was not observed in our sample. Conversely, the male sample showed first a decrease in mean age-at-death from Roman times to the Early Middle Ages, which slightly recovered in the late medieval period, decreased again to its lowest value in the modern era, and then drastically spiked in contemporary times. Yaussy et al.70 and DeWitte72 found an increase in adult longevity in industrialized London (corresponding to our modern period), which may be attributed to improvements in diet and standard of living in the late 18th and early 19th centuries or selective mortality among infants and children in the 18th century producing a cohort of immunologically robust adults in the succeeding decades.
The results obtained in the present study indicate the presence of a cultural factor negatively affecting female longevity and putting them at increased risk of death in the Roman and modern periods. One hypothesis that may account for these results is the effect of maternal mortality. This is well documented in Roman historical (Cicerone, Epistulae ad familiars, VI, 18,2; Plinio il Giovane, Epistulae, IV, 21; Plutarco, Vita di Silla, 33) and epigraphical sources (CIL III 3572; CIL III 2267)75,76. Indeed, pregnancy and childbirth are events of increased mortality risk for women, especially when lacking access to modern medicine. Indeed, according to the World Health Organization77, maternal mortality is still so high worldwide that it was estimated that a maternal death occurred almost every two minutes in 2020. As a consequence, maternal mortality may contribute to decreased female survivorship66. However, this does not explain why this trend of higher female risk and lower survivorship with respect to males is not also observed in the two periods of the Middle Ages, when medical knowledge and techniques around childbirth did not substantially change. We hypothesize that other factors may have influenced their survival and mortality.
Throughout the Middle Ages, and despite experiencing a partial depopulation, the city of Milan maintained a prominent municipal and institutional presence78,79,80. It also preserved its political, religious, and cultural functions alongside its economic and commercial activities. The propagation of Christianity and Catholicism influenced the development of a compassionate attitude and consequent support for the impoverished across Christendom. This compassion was evident even in the waning years of the Roman Empire, exemplified by the actions of Saint Ambrose (340–397 AD), who upon becoming bishop of Milan in 374, donated all his belongings to the poor and continued to advocate for their support throughout his episcopate. The concern for the lower classes was also reflected in the laws of Lombard kings and the Carolingians. In the eighth and 13th centuries, two texts, the anonymous “Versum de Medioelano civitate” (739 AD) and “De magnalibus Mediolani” by Friar Bonvesin da la Riva (1288 AD), depicted Milan as a city actively aiding the destitute81. Despite its panegyric nature, the Versum highlighted Milanese hospitality and assistance to the poor, stating that “the naked are abundantly clothed there; the poor and the Romish are satiated”. In the 11th century, Archbishop Aribert of Intimiano reiterated the importance of supporting the poor82. Though fewer in number compared to the Roman Empire, the poor found support through secular, ecclesiastical, and private institutions83. As highlighted in the recent historiographical synthesis by Albini83, which provides all relevant references, xenodochia and hospitals proliferated in Milan through private, ecclesiastical, and religious initiatives from at least the eighth century. The priest Dateo establishing what is believed to be the first shelter for abandoned children (Antiquitates, XXXVII, coll. 5887-590), followed by numerous others for the care of pilgrims and the poor83. Chronicles from the 11th century onwards document numerous xenodochia for women, children, and the poor, alongside hospitals and assistance centers run by religious orders, confraternities, and trade guilds84. By the end of the 13th century, Milan boasted hospitals for the sick and specifically for lepers81. Indeed, during the communal age, the relationship between citizens and institutions strengthened, fostering assistance initiatives. Notably, the Brolo hospital in Milan showcased a modern administrative setup for patient care83. In the mid-15th century, Milanese hospital institutions culminated in the Ospedale Maggiore, the most advanced healthcare facility in Italy at the time38. In these medieval years, as focus on the needs of the middle and lower classes increased, so did support for women. It is not easy to locate traces of this in written documentation, as mentioned earlier1,2,3, but chronicler Landolfo Seniore indicates specific interventions in the favor of women, namely as xenodochia intended for poor women and pilgrims and support for women unable to breastfeed84, an element that contributes to a decrease in the body’s defenses and the general health of women85. Based on this data, it is possible this increased attention and care towards the needy and women in general contributed, albeit to a limited extent, to decreased risks of mortality and increased longevity among females in the Middle Ages with respect to the Roman era.
Despite this progress, conditions for women of low socioeconomic status likely deteriorated in the subsequent centuries. Historiography further indicates that many women from lower social strata were increasingly employed in textile production, more intensively and on a larger scale than in previous periods. The rise of textile production, particularly silk-making in Lombardy and Milan, led to a more systematic and continuous employment of female labor in industrial manufactures, resulting in increased physical strain on female workers, due to the use of looms that involved considerable physical exertion and the consequent increase in physical, emotional, and psychological stress factors, from their commitment to both family and work. By the 18th century, silk processing had become predominantly a female occupation, although women continued to work in various other fields, both within the home and outside it. In 1881, women workers (whose wage conditions were unfair to say the least), accounted for over 50% of all Milanese women, though this percentage decreased in the following decades (42% in 1911)86,87. This increased physical exertion in potentially hazardous industries, such as weaving and dyeing, likely compromised women's health, especially considering their ongoing responsibilities in domestic chores and childcare.
The results for the contemporary period are consistent with bioarchaeological studies and present-day epidemiological trends in developed countries (e.g.,ref68,69,71). In fact, two main results can be observed: (1) a very marked increase in mean age-at-death for both males and females, and (2) a reversal in sex differences regarding longevity, which was historically in the favor of males and now shows a higher life expectancy for females. The first result is likely related to improvements in living conditions over the last two centuries. Specifically, it may be attributed to greater variety in diet and better access to food resources, as well as technical and scientific advances in sanitation (leading to better hygiene) and healthcare, including smallpox inoculation and subsequent vaccines, preventative testing, management of disease symptoms, treatment efficiency, development of antibiotics and pharmacological drugs, universal access to healthcare, and public health measures and monitoring. The second result may be explained by biological and cultural factors. The female buffering hypothesis posits that females are less susceptible to environmental stressors than their male counterparts88,89. Indeed, biologically, females at all ages are less susceptible to a wide range of diseases, especially infections, than males and are at lower risk of mortality from them63. Additionally, social and cultural factors may contribute to this (hormonal) biological buffering: males have a stronger tendency to underestimate risk, engage in risk-taking behavior and compete for resources, social status, and mates, which may lead to hazardous consequences and negative health outcomes, including death90,91. Heightened buffering capacities among females compared to males have been suggested in multiple bioarchaeological studies to explain sex differences in mortality and survivorship observed in skeletal samples (e.g.,ref92,93,94,95). However, bioarchaeological studies have also clarified that the capacity for female buffering is likely dependent on cultural context and the extent to which social and cultural disadvantages diminish the survival advantages conveyed by female buffering58. In other words, we do not suggest that female buffering did not exist in Milan during the Roman era, Middle Ages, and Modern period, but it is possible that these biological buffering capacities were not sufficient to overcome the social and cultural disadvantages that females may have faced in Milan during those historical periods.
In literature, stature is considered a potential stress marker indicative of living and health conditions during growth95,96,97,98,99. Consequently, it is interesting to note that a variable trend in survivorship emerged from our results while average height remained stable in Milan over the last 2,000 years. Indeed, in a previous study, based in part on the skeletal material of the present paper, we found that male and female stature did not significantly vary across historical periods32. This result differs from other studies showing an inverse correlation between stature and mortality100,101,102, though this correlation is not the object of consensus in the community. Indeed, De Witte et al.103 failed to find a correlation between stature and risk of mortality among adults under conditions of normal mortality in their medieval sample. Maat104 noticed a negative secular trend in stature from the Roman era to the second half of the 19th century, without a distinct decline in average age-at-death. Although stature was not included in the list of stress markers considered in the present paper, the comparison between our two Milanese studies seems to support the hypothesis that stature may not show a strong correlation with risk of death and survivorship.
Our analysis focused primarily on mortality and survivorship patterns across time, without examining deeply into skeletal markers of physiological and mechanical stress that could provide a more detailed understanding of the factors influencing these patterns. Future research should aim to examine these skeletal markers more comprehensively to better understand the factors that may have impacted female mortality and survivorship throughout Milanese History.
Conclusion
In conclusion, this study proposed a diachronic analysis of female mortality and survival in Milan throughout 2,000 years and five historical periods. During the Roman period, significantly higher female mortality with respect to their male counterpart was found, which may partly be explained by childbirth and pregnancy-related complications. However, in the Early Middle Ages, female mortality risk decreased, and survivorship improved. This change may be related to the specificity of the Milanese context, which attested social and health reforms as well as concerted efforts towards female care and welfare during that time, which may have buffered the effect of maternal mortality. This trend remained stable throughout the Middle Ages. In contrast, in the Modern era, stress marker patterns indicated a deterioration of living and health conditions, particularly for females, severely impacting their mortality. Remarkably, in the contemporary period, a reversal of this trends emerged, with females experiencing for the first time a higher longevity compared to males. The results for the contemporary period are consistent with general improvements in living conditions and access to healthcare.
Overall, this study demonstrates the importance of bioarcheology studies to obtain a more exhaustive understanding of the past, in particular regarding women’s history and experience. It is noteworthy that this research marks the first comprehensive exploration of female mortality through skeletal remains on a such a large scale, using a multidisciplinary approach that integrated skeletal analysis alongside paleoepidemiological analysis and historical contextualization. The research evidenced how the female condition evolved over the last 2,000 years in Milan, as well as how social and cultural changes impacted women’s living conditions in the European metropolis, and shed light on the complex interplay between gender, socio-economic dynamics, and health outcomes throughout History.
Data availability
All data generated and analyzed during this study are included in this published article.
Change history
11 November 2024
A Correction to this paper has been published: https://doi.org/10.1038/s41598-024-78532-x
References
Del Bo, B. & di donna, P. Prime riflessioni sull’inclusione sociale nei procedimenti giudiziari (secoli XIII-XV). In Il Tarlo Dello Storico Studi di Allievi e Amici per Gabriella Piccinni (eds Mucciarelli, R. & Pellegrini, M.) (Effigi, 2021).
Del Bo, B. Tutte le donne (del registro) del podestà fra cliché e novità. Notariorum Itinera 7, 83–106 (2021).
Del Bo, B. G. M. Un lenguaje que discrimina: las mujeres en las escrituras italianas de los siglos XIV y XV. Stud. Hist., Hist. Mediev. 40, 169–191 (2022).
Gasparri, S. & La Rocca, C. Tempi Barbarici: L’Europa Occidentale Tra Antichità e Medioevo (Carocci editore, 2012).
Habinek, T. Roman Women’s Useless Knowledge The Politics of Latin Literature Writing, Identity, and Empire in Ancient Rome (Princeton University Press, 1998).
Conkey, M. & Spector, J. Archaeology and the study of gender. in Advances in Archaeological Method and Theory (Academie Press, 1984).
Conkey, M. W. & Gero, J. M. Programme to practice: Gender and feminism in archaeology. Ann. Rev. Anthropol. 26, 411–437 (1997).
Rowbotham, S. Hidden From History: 300 Years of Women’s Oppression and the Fight Agai (Pluto Press, 1977).
Sweely, T. L. Manifesting Power: Gender and the Interpretation of Power in Archaeology (Routledge, 1999).
Esposito, A., Franceschi, F. & Piccinni, G. Violenza Alle Donne: Una Prospettiva Medievale (Il mulino, 2018).
Schmitt Pantel, P. Storia Delle Donne. L’Antichità (Roma-Bari, 1990).
Fraisse, G. & Perrot, M. Storia Delle Donne. L’Ottocento (Roma-Bari, 1991).
Klapisch-Zuber, C. Storia Delle Donne. Il Medioevo (Roma-Bari, 1990).
Thébaud, F. Storia Delle Donne. Il Novecento (Roma-Bari, 1992).
Farge, A. & Zemon Davis, N. Storia Delle Donne. Dal Rinascimento All’età Moderna (Roma-Bari, 1991).
Angelos, M. Urban Women, Investment and the Commercial Revolution of the Middle Ages. In Women in Medieval Western European Culture (ed. Mitchell, L. E.) (Routledge, 1999).
Mitchell, L. E. Women in Medieval Western European Culture (Garland, 1999).
Skinner, P. E. Women in Medieval Italian Society, 500–1200 (Pearson Education Harlow, Essex, 2001).
Zanoboni, M. P. Donne al Lavoro Nell’Italia e Nell’Europa Medievali:(Secoli XIII-XV). Donne al lavoro nell’Italia e nell’Europa medievali (Jouvence, 2016).
Smith, J. Women as Legal Agents in Late Medieval Genoa. In Writing Medieval Women’s Lives (eds Newman Goldy, C. & Livingstone, A.) (Springer, 2012).
Brown, J. C. & Davis, R. C. Gender and Society in Renaissance Italy (Routledge, 1998).
Zanoboni, M. P. Produzioni, Commerci, Lavoro Femminile Nella Milano Del XV Secolo (Cuem, 1997).
Guerra Medici, M. T. L’aria Di Città. Donne e Diritti Nel Comune Medievale. (Springer, 1996).
Guglielmotti, P. Donne, Famiglie e Patrimoni a Genova e in Liguria Nei Secoli XII e XIII (Società Ligure di Storia Patria, 2020).
Buikstra, J. & Beck, L. Bioarchaeology. The Contextual Analysis of Human Remains (Elsevier, 2006).
Baker, B. J. & Agarwal, S. C. Stronger together: Advancing a global bioarchaeology. Bioarchaeol. Int. 1, 1–18 (2017).
Larsen, C. S. Bioarchaeology: Interpreting Behavior from the Human Skeleton (Cambridge University Press, 2015).
Schrader, S. A. & Torres-Rouff, C. Embodying bioarchaeology. Theoretical Approaches Bioarchaeol. https://doi.org/10.4324/9780429262340-2 (2020).
Cattaneo, C. et al. A modern documented Italian identified skeletal collection of 2127 skeletons: The CAL milano cemetery skeletal collection. Forensic Sci. Int. 287, 219-e1 (2018).
Biehler-Gomez, L., Mattia, M., Mondellini, M., Palazzolo, L. & Cattaneo, C. Differential skeletal preservation between sexes: A diachronic study in Milan over 2000 years. Archaeol. Anthropol. Sci. 14, 147 (2022).
Biehler-Gomez, L. et al. Lo stato di salute della popolazione della Cripta della Ca’ Granda. In Il Sepolcreto Della Ca’ Granda, Un Tesoro Storico e Scientifico di Milano (ed. Biehler-Gomez, L.) (Ledizioni, 2022).
Biehler-Gomez, L. et al. The diachronic trend of female and male stature in Milan over 2000 years. Sci. Rep. 13, 1343 (2023).
Biehler-Gomez, L. et al. Multiple injuries and injury recidivism in Milan over 2,000 years. J. Archaeol. Sci. Rep. https://doi.org/10.1016/j.jasrep.2023.103945 (2023).
Cattaneo, C. et al. Vita nella Milano romana: evidenze antropologiche e paleopatologiche provenienti dalla necropoli. In La necropoli tardoantica: ricerche archeologiche nei cortili dell'Università Cattolica. Vita e pensiero, 59–66 (2001).
Biehler-Gomez, L. et al. Physical disability in Late Antiquity Milan: slipped capital femoral epiphysis with severe secondary joint disease in the Basilica of San Dionigi. HOMO 73, 61–67 (2022).
Biehler-Gomez, L. et al. Disability and deformity in Early Medieval Milan: bioarchaeology and pathography of two cases from the Ad Martyres cemetery of the Basilica of Saint Ambrose. Med nei Secoli – J. History Med. Med. Humanities 35, 33–50 (2023).
Caruso, V. et al. Gli scheletri della fossa comune di viale Sabotino a Milano: le vittime della peste manzoniana?. FOLD&R FastiOnLine Doc. Res. 285, 1–11 (2013).
Mattia, M. et al. Ca’ Granda, an avant-garde hospital between the Renaissance and modern age: A unique scenario in European history. Med. Hist. 66, 24–33 (2022).
Klales, A. R., Ousley, S. D. & Vollner, J. M. A revised method of sexing the human innominate using Phenice’s nonmetric traits and statistical methods. Am. J. Phys. Anthropol. 149, 104–114 (2012).
Phenice, T. W. A newly developed visual method of sexing the os pubis. Am. J. Phys. Anthropol. 30, 297–301 (1969).
Walker, P. L. Sexing skulls using discriminant function analysis of visually assessed traits. Am. J. Phys. Anthropol. 136, 39–50 (2008).
Walker, P. L. Greater sciatic notch morphology: Sex, age, and population differences. Am. J. Phys. Anthropol. 127, 385–391 (2005).
Spradley, K. & Jantz, R. L. Sex estimation in forensic anthropology: Skull versus postcranial elements. J. Forensic Sci. 56, 289–296 (2011).
AlQahtani, S. J., Hector, M. P. & Liversidge, H. M. Brief communication: The London atlas of human tooth development and eruption. Am. J. Phys. Anthropol. 142, 481–490 (2010).
Cunningham, C., Scheuer, L. & Black, S. Developmental Juvenile Osteology (Academic Press, 2016).
Brooks, S. & Suchey, J. M. Skeletal age determination based on the os pubis: A comparison of the Acsádi-Nemeskéri and Suchey-Brooks methods. Hum. Evol. 5, 227–238 (1990).
Buckberry, J. L. & Chamberlain, A. T. Age estimation from the auricular surface of the ilium: A revised method. Am. J. Phys. Anthropol. 119, 231–239 (2002).
Lovejoy, C. O., Meindl, R. S., Pryzbeck, T. R. & Mensforth, R. P. Chronological metamorphosis of the auricular surface of the ilium: A new method for the determination of adult skeletal age at death. Am. J. Phys. Anthropol. 68, 15–28 (1985).
Rougé-Maillart, C. et al. Development of a method to estimate skeletal age at death in adults using the acetabulum and the auricular surface on a Portuguese population. Forensic Sci. Int. 188, 91–95 (2009).
Kunos, C. A., Simpson, S. W., Russell, K. F. & Hershkovitz, I. First rib metamorphosis: Its possible utility for human age-at-death estimation. Am. J. Phys. Anthropol. 110, 303–323 (1999).
Iscan, M. Y. & Loth, S. R. Estimation of age and determination of sex from the sternal rib. Forensic osteology: Adv. ident. Human Rem. 68–89 (1986).
Gage, T. B. Mathematical hazard models of mortality: An alternative to model life tables. Am. J. Phys. Anthropol. 76, 429–441 (1988).
Gage, T. B. Bio-mathematical approaches to the study of human variation in mortality. Am. J. Phys. Anthropol. 32, 185–214 (1989).
Wood, J. W., Holman, D. J., OConnor, K. A. & Ferrell, R. J. Mortality Models for Paleodemography (Cambridge studies in biological and evolutionary anthropology, 2002).
Gompertz, B. XXIV. On the nature of the function expressive of the law of human mortality, and on a new mode of determining the value of life contingencies. In a letter to Francis Baily, Esq. FRS & c. Philos. Trans. R Soc. Lond. 115, 513–583 (1825).
Milner, G. R., Wood, J. W. & Boldsen, J. L. Paleodemography: Problems, progress, and potential. Biol. Anthropol. Human Skelet. 11, 593–633 (2018).
Holman, D. J. A Programming Language for Building Likelihood Models. User’s manual vol. 1 http://faculty.washington.edu/djholman/mle/ (2005).
DeWitte, S. N. & Yaussy, S. L. Sex differences in adult famine mortality in medieval London. Am. J. Phys. Anthropol. 171, 164–169 (2020).
Yaussy, S. L., DeWitte, S. N. & Redfern, R. C. Frailty and famine: Patterns of mortality and physiological stress among victims of famine in medieval London. Am. J. Phys. Anthropol. 160, 272–283 (2016).
Redfern, R. C. & DeWitte, S. N. A new approach to the study of romanization in Britain: A regional perspective of cultural change in late Iron age and roman dorset using the siler and Gompertz-Makeham models of mortality. Am. J. Phys. Anthropol. 144, 269–285 (2011).
Redfern, R. C., Dewitte, S. N., Pearce, J., Hamlin, C. & Dinwiddy, K. E. Urban-rural differences in Roman Dorset, England: A bioarchaeological perspective on Roman settlements. Am. J. Phys. Anthropol. 157, 107–120 (2015).
Speal, C. S. A Paleodemographic/mortuary study of graves from the Eastern Necropoli at Roman Vimincacium. Archaeol. Sci. 11, 167–186 (2015).
DeWitte, S. N. The effect of sex on risk of mortality during the Black Death in London, A.D. 1349–1350. Am. J. Phys. Anthropol. 139, 222–234 (2009).
DeWitte, S. N. Mortality risk and survival in the aftermath of the medieval black death. PLoS ONE 9, e96513 (2014).
Mangas-Carrasco, E. & López-Costas, O. Porotic hyperostosis, cribra orbitalia, femoralis and humeralis in Medieval NW Spain. Archaeol. Anthropol. Sci. 13, 169 (2021).
Fojas, C. L. Abandonment of the middle cumberland region of Tennessee during the Mississippian period: Temporal and sex differences in survivorship. Am. J. Biol. Anthropol. 177, 425–438 (2022).
Blondiaux, J., Naji, S., Audureau, E. & Colard, T. Cementochronology and sex: A reappraisal of sex-associated differences in survival in past French societies. Int. J. Paleopathol. 15, 152–163 (2016).
Zarulli, V. et al. Women live longer than men even during severe famines and epidemics. Proc. Nat. Acad. Sci. 115, E832–E840 (2018).
Austad, S. N. & Fischer, K. E. Sex Differences in Lifespan. Cell Metab. 23, 1022–1033. https://doi.org/10.1016/j.cmet.2016.05.019 (2016).
Yaussy, S. L., DeWitte, S. N. & Hughes-Morey, G. Survivorship and the second epidemiological transition in industrial-era London. Am. J. Biol. Anthropol. https://doi.org/10.1002/ajpa.24797 (2023).
Hens, S. M., Godde, K. & Macak, K. M. Iron deficiency anemia, population health and frailty in a modern Portuguese skeletal sample. PLoS ONE 14, e0213369 (2019).
DeWitte, S. N. Modeling the second epidemiologic transition in London: Patterns of mortality and frailty during industrialization. In Modern environments and human health: Revisiting the second epidemiologic transition 35–53 (2014).
DeWitte, S. N. Setting the stage for medieval plague: Pre-black death trends in survival and mortality. Am. J. Phys. Anthropol. 158, 441–451 (2015).
DeWitte, S. N. Stress, sex, and plague: Patterns of developmental stress and survival in pre- and post-black death london. Am. J. Human Biol. 30, e23063 (2018).
Rouselle, A. La politica dei corpi: tra procreazione e continenza a Roma. In Storia Delle Donne (eds Duby, G. & Perrot, M.) (Roma, 1990).
Challet, C.-E.C. Roman breastfeeding: Control and affect. Arethusa 50, 369–384 (2017).
World Health Organization. Maternal Mortality. (2023).
Santos Salazar, I. Governare La Lombardia Carolingia (Viella, 2021).
Grillo, P. Cavalieri e Popoli in Armi: Le Istituzioni Militari Nell’Italia Medievale (Gius. Laterza & Figli Spa, 2014).
Chittolini, G. La Crisi Degli Ordinamenti Comunali e Le Origini Dello Stato Del Rinascimento (il Mulino, 1979).
Da la Riva, B. De Magnalibus Mediolani. Meraviglie Di Milano. Testo Critico e Traduzione (Libri Scheiwiller, 1997).
Albini, G. Città e Ospedali Nella Lombardia Medievale (Clueb, 1993).
Albini, G. Poveri e Povertà Nel Medioevo (Carocci, 2016).
Senioris, L. Historia Mediolanensis. In Monumenta Germaniae Historica, Scriptores (eds Bethmann, L. & Wattenbach, W.) (Hannoverae, 1848).
Stuebe, A. The risks of not breastfeeding for mothers and infants. Rev. Obst. Gynecol. Manage. 2, 222–231 (2009).
Battistini, F. L’industria Della Seta in Italia in Età Moderna. (Bologna, 2009).
Bellavitis, A. II Lavoro Delle Donne Nelle Città Dell’Europa Moderna (Viella, 2018).
Vercellotti, G., Stout, S. D., Boano, R. & Sciulli, P. W. Intrapopulation variation in stature and body proportions: Social status and sex differences in an Italian medieval population (Trino Vercellese, VC). Am. J. Phys. Anthropol. 145, 203–214 (2011).
Weiss, N. M., Vercellotti, G., Boano, R., Girotti, M. & Stout, S. D. Body size and social status in medieval Alba (Cuneo). Italy. Am. J. Phys. Anthropol. 168, 595–605 (2019).
Byrnes, J. P., Miller, D. C. & Schafer, W. D. Gender differences in risk taking: A meta-analysis. Psychol. Bull. 125, 367 (1999).
Kruger, D. J. & Nesse, R. M. Evolutionary psychology economic transition, male competition, and sex differences in mortality rates. Evolut. Psychol. 5, 411–427 (2007).
O’Donnell, L. & Moes, E. Sex differences in linear enamel hypoplasia prevalence and frailty in Ancestral Puebloans. J. Archaeol. Sci. Rep. 39, 103153 (2021).
DeWitte, S. N. & Yaussy, S. L. Femur length and famine mortality in medieval London. Bioarchaeol. Int. https://doi.org/10.5744/bi.2017.1009 (2017).
DeWitte, S. N. Sex differentials in frailty in medieval England. Am. J. Phys. Anthropol. 143, 285–297 (2010).
Hawks, S. M., Godde, K. & Hens, S. M. The impact of early childhood stressors on later growth in medieval and postmedieval London. Int. J. Osteoarchaeol. 32, 804–812 (2022).
Saunders, S. R. & Hoppa, R. D. Growth deficit in survivors and non-survivors: Biological mortality bias in subadult skeletal samples. Am. J. Phys. Anthropol. 36, 127–151 (1993).
Hoppa, R. D. & Fitzgerald, C. M. Human Growth in the Past: Studies from Bones and Teeth (Cambridge University Press, 1999).
Komlos, J. & Baur, M. From the tallest to (one of) the fattest: The enigmatic fate of the American population in the 20th century. Econ. Hum. Biol. 2, 57–74 (2004).
Vercellotti, G. et al. Exploring the multidimensionality of stature variation in the past through comparisons of archaeological and living populations. Am. J. Phys. Anthropol. 155, 229–242 (2014).
Gage, T. B. & Zansky, S. M. Anthropometric indicators of nutritional status and level of mortality. Am. J. Human Biol. 7, 679–691 (1995).
Hughes-Morey, G. Interpreting adult stature in industrial London. Am. J. Phys. Anthropol. 159, 126–134 (2016).
Kemkes-Grottenthaler, A. The short die young: The interrelationship between stature and longevity—Evidence from skeletal remains. Am. J. Phys. Anthropol. 128, 340–347 (2005).
DeWitte, S. N. & Hughes-Morey, G. Stature and frailty during the black death: The effect of stature on risks of epidemic mortality in London, A.D. 1348–1350. J. Archaeol. Sci. 39, 1412–1419 (2012).
Maat, G. J. R. Two millennia of male stature development and population health and wealth in the Low Countries. Int. J. Osteoarchaeol. 15, 276–290 (2005).
Acknowledgements
We would like to thank and acknowledge the Sopraintendenza Archeologica Lombardia. The authors acknowledge the support of the FAITH (Fighting Against Injustice Through Humanities) project of the University of Milan. The authors acknowledge the support of the APC central fund of the university of Milan.
Funding
L.B.G. was awarded a L’Oréal-UNESCO grant “For Women in Science” Italian edition.
Author information
Authors and Affiliations
Contributions
L. B-G.: Conceptualization, Methodology, Data analysis and interpretation, Writing original draft and writing review; S. Y.: Conceptualization, Methodology, Data analysis and interpretation, Writing original draft; C. M.: Data analysis and interpretation, Writing original draft; P. M.: Data analysis and interpretation, Writing original draft; Ma.Mo.: Data analysis and interpretation; D.P.: Data analysis and interpretation; Mi. Ma.: Data curation; B. DB.: Investigation, Writing original draft; C. C.: Supervision;
Corresponding author
Ethics declarations
Competing interests
The authors declare no competing interests.
Ethical statements
Study of the archaeological remains was approved by virtue of a convention with the Sopraintendenza Archeologia, Belle Arti e Paesaggio della Lombardia (i.e., the regional institution of the Italian ministry of cultural heritage) and undertaken according to ethical and scientific principles per said convention. Examination of the anonymized contemporary remains is consented and regulated by article 43 of the Presidential Decree of the Italian Republic (DPR) n.285 of September 10th, 1990, of the National Police Mortuary Regulation and in accordance with the Health Territorial Agency of the city of Milan. Informed consent was not required. All methods were performed in accordance with the Italian law, institutional guidelines and regulations.
Additional information
Publisher's note
Springer Nature remains neutral with regard to jurisdictional claims in published maps and institutional affiliations.
The original online version of this Article was revised: The Acknowledgements section in the original version of this Article was incomplete.
Rights and permissions
Open Access This article is licensed under a Creative Commons Attribution-NonCommercial-NoDerivatives 4.0 International License, which permits any non-commercial use, sharing, distribution and reproduction in any medium or format, as long as you give appropriate credit to the original author(s) and the source, provide a link to the Creative Commons licence, and indicate if you modified the licensed material. You do not have permission under this licence to share adapted material derived from this article or parts of it. The images or other third party material in this article are included in the article’s Creative Commons licence, unless indicated otherwise in a credit line to the material. If material is not included in the article’s Creative Commons licence and your intended use is not permitted by statutory regulation or exceeds the permitted use, you will need to obtain permission directly from the copyright holder. To view a copy of this licence, visit http://creativecommons.org/licenses/by-nc-nd/4.0/.
About this article
Cite this article
Biehler-Gomez, L., Yaussy, S., Moro, C. et al. Unveiling the female experience through adult mortality and survivorship in Milan over the last 2000 years. Sci Rep 14, 21328 (2024). https://doi.org/10.1038/s41598-024-71607-9
Received:
Accepted:
Published:
Version of record:
DOI: https://doi.org/10.1038/s41598-024-71607-9





