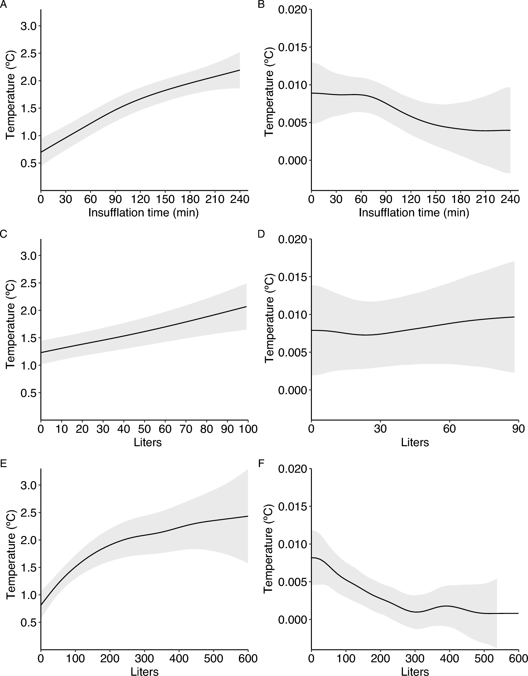
Fig. 3

Mixed GAM estimates. Predictions (Left panels) and marginal effects (Right panels) of core vs. intraperitoneal temperature difference from the GAM by time elapsed (A and B), by insufflated liters per unit of time elapsed (C and D), by cumulative insufflated liters (E and F). The left panels show the model predictions for the response variable plotted on the Y-axis, i.e. the temperature difference between core and intraperitoneal temperature, based on the values of the predictors plotted on the X-axis. The right panels look at the slopes or gradients of the relationships between each predictor and the response variable, i.e. how the rate of change varies along different values of the predictor. Black lines are the estimates from the model. Grey bands are 95% confidence bands. GAM, Generalized Additive Model.