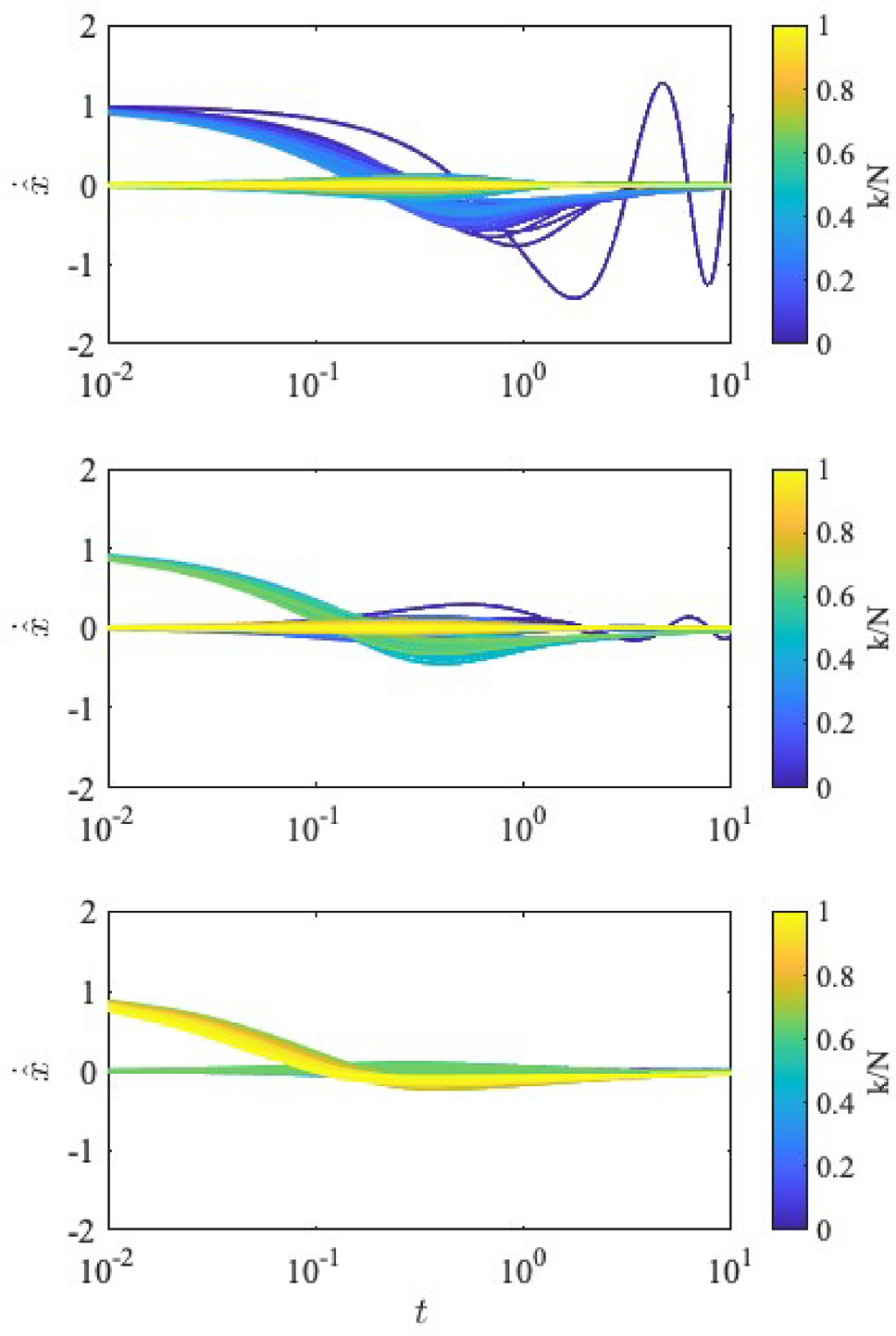
Fig. 1
From: Spectral energy transfer on complex networks: a filtering approach

Time evolution of the spectral velocity coefficients for initialization in the bottom third of wavenumbers (top), middle third (middle), and top third (bottom). Color indicates associated wavenumber of the spectral coefficient.