Fig. 3
From: A hybrid simulation method towards the gamma ray phase contrast imaging for metallic material

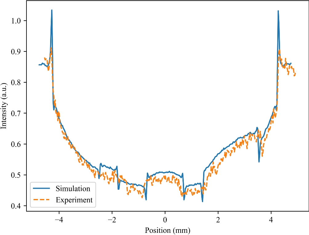
The horizontal intensity profiles of the simulation (blue solid-line) and the experiment (orange dash-line) around the center of the result images which are averaged vertically over 20 pixels.