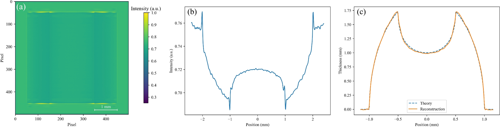
Fig. 6
From: A hybrid simulation method towards the gamma ray phase contrast imaging for metallic material

(a) the simulation image of a copper tube sample. (b) the intensity profile of the copper tube along the horizontal line passing through the center of the simulated image (a). (c) the reconstructed thickness profile obtained from the intensity profile (b) and the theoretical thickness profile.