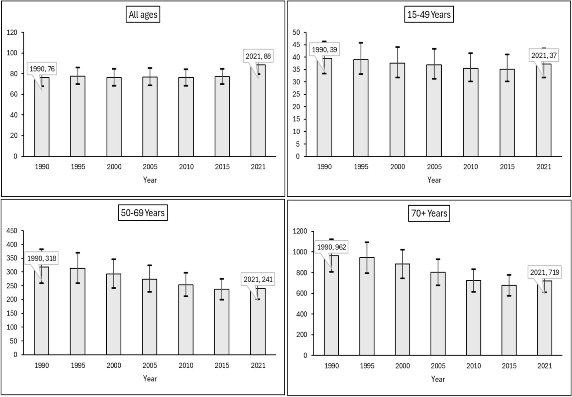
Fig. 1
From: Analyzing stroke burden and risk factors in India using data from the Global Burden of Disease Study

Stroke incidence rate (new cases per 100,000 population) by age, 1990–2021 in India. Point represents mean estimates and error bars represent 95% lower and upper limit uncertainty interval.