Abstract
Firecrackers are a vital element of cultural festivities that happen worldwide. However, the hazardous by-products they emit have a significant impact on environmental pollution, leading to the greenhouse effect and climate change. Aluminium powder serves as the fuel in the traditional flash powder mixture, nitrate of potassium serves as an oxidizing agent, and sulphur acts as the igniter at exact concentrations. The presence of sulfur in the flash powder mixture is critical as it acts as an igniter, contributing to the formation of sulfur dioxide, which can cause environmental harm. We carried out an experiment employing Sargassum wightii brown seaweed powder as a replacement for sulphur at specific amounts to lessen the effects of sulphur in flash powder. We discovered that Sargassum wightii brown seaweed powder may replace up to 50% of the sulphur significance in the flash powder mixture without impairing the flash powder's traditional performance. Our experiments included impact and friction sensitivity, SEM, and FTIR analyses to evaluate the improved flash powder composition. The results revealed that the modified flash powder mixture SP5 and SP10 emits less emission by 12% and 21%, and produces similar noise performance of 108 and 107 dB(A) to the normal flash powder composition (SP), affirming that the SP10 flash powder is a viable alternative. Moreover, in our relentless pursuit to mitigate the detrimental effects on our environment, we have ingeniously introduced a novel product—the Chinese cracker made from vegetable waste paper. Not only does this innovative solution address concerns regarding land pollution, but it also presents a sustainable approach to consumer goods.
Similar content being viewed by others

Introduction
Throughout the world, nowadays all-important festive, religious and cultural events are accompanied by Fireworks as a means of entertainment. In India, one of the major sources of revenue comes from Pyrotechnic Industries and out of which 90% of the crackers were produced in a Town named Sivakasi in the State of southern Tamil Nadu. People of all ages are drawn to the light, music, colour, brilliance, and stunning performance that occurs when the chemicals inside the crackers ignite1. The impact of these burned crackers creates very serious environmental damage especially in air, soil and water during festive intervals. India ranks second in pyrotechnic manufacturing in the world next to China. Hence, a lot of people in India and especially in Tamil Nadu are involved in developing these crackers either as direct employees or indirect employees. The individual composition of the pyrotechnics varies depending on the type of application used. Usually, they are made up of wide compositions. The chief ingredients involved in any fireworks products are fuel, oxidiser, igniter, and binder and in some cases, colour-producing salts are also used. For crackling fireworks, the principal component used is Flash powder. This flash powder is also used in other firework compositions like Chinese crackers, aerial, atom bombs, ground chakkar and fountains. Out of the different applications, Chinese crackers play a significant role in festive seasons all over the world for entertainment purposes. As per PESO standards, the chief constituents of the Chinese crackers include potassium nitrate 57% (KNO3), sulphur 20% (S) and aluminium 23% (Al) powder in specified quantities1.
Here, the igniter i.e. Sulphur turn after chemical reaction results in the formation of Sulphur dioxide. This Sulphur dioxide gas is very harmful to living beings and also leads to different kinds of health issues when inhaled and also results in the greenhouse effect on the environment. Since this composition leads to noise and air pollution to the environment, there exists a need for developing techniques which could give a solution to the existing composition of pyrotechnics leading to an environmentally friendly pyrotechnic composition. The current flash powder composition uses sulphur as an igniter; in experiments, researchers have found that five per cent and ten per cent tamarind seed powder (TSP) may effectively replace sulphur. Using these varying compositions, the Chinese crackers were made and their performance was tested by carrying out various tests according to PESO standards. The outputs from the experiments showed that sulphur powder could be successfully replaced with Tamarind Seed Powder and help in developing an environmentally friendly green cracker2.
Researchers have looked into the effects of altering the percentage of the typical flash powder mixture through experiments. The composition was varied by mixing 60% potassium nitrate, 20% aluminium, and 20% sulphur. The flash powder composition's mixing ratio was modified, and diverse types of assessments have been conducted on the varied composition, such as thermal analysis and sensitivity analysis, including impact, performance, and friction tests. Unvaried and varied compositions were subjected to noise tests, and their performance was assessed3.
Researchers are finding solutions to develop an environmentally friendly pyrotechnic composition that will not affect the environment. Nitrogen-rich energetic materials are found to achieve green pyrotechnics as they don’t contain any heavy metals or perchlorates4.
The SW is a macroalga initiated in coastal regions are a fast-growing species among the algae. Testing was done to evaluate the presence of mineral and CHNS content in Sargassum wightii and Ulva rigida seaweeds. The test results showed that Sargassum wightii has a higher value of potassium, magnesium, and calcium in it. Also, Ulva rigida has a higher value of iron, carbon, and sulphur in it. Both the species were subjected to tests such as TGA, DSC and FTIR analysis5. Recently, the introduction of boron as a substitute ingredient has helped to decrease the usage of aluminium in flash powder, reducing the impact of aluminium on the environment. Various experiments were conducted including a smoke-settling test and the results proved that there is a greater reduction in environmental pollution6. To replace Aluminium in the flash powder composition, Boron is introduced in the form of nanopowder and various tests like TGA/DSC, minimum ignition energy, impact and friction sensitivity, and explosive pressure tests were performed to identify whether the use of boron meets the flash powder requirements6.
The ambient contaminants and exposures from ground-level pyrotechnics were measured by air monitoring. Using an air sampling technique in an airtight environment, the emission factors particulate matter, metals, inorganic ions, aldehydes, and polyaromatic hydrocarbons (PAHs) from seven different ground-supported pyrotechnics were identified. After combustion, these chemicals may pose health risks. Additionally, it has been discovered that removing the use of carbon, sulphur, and fuel based on metal from the pyrotechnic composition results in a decrease in the formation of airborne particles, organic compounds, sulphur dioxide, and carbon monoxide7. Studies show that the nanoparticles of flash powder compositions like aluminium powder, potassium nitrate and sulphur are prepared and verified using Scanning Electron Microscope. The experimentation was conducted using the nanoscale flash powder composition and the residues are collected and analysed using a gas analyser. The results showed that the nanoscale flash powder composition produces lesser sulphur dioxide and metal content8. Also, the usage of nanoparticles in the flash powder composition shows improved performance and lesser pollution but due to the higher sensitivity of the flash powders, the risk of fire hazards increases while handling the powder during manufacturing. Hence to prevent the risk of fire hazards, various safe handling procedures are suggested in this study9,9,11.
Experimentation has been carried out by collecting the raw Sargassum wightii (brown algae) seaweed and it is converted into biochar using different conditions of pyrolysis. The obtained biochar from seaweed is subjected to various tests such as SEM, XRD and FTIR analysis12,13,14. The results showed that the Sargassum wightii biochar collected from the Indian Ocean yields higher carbon content15. Chemical reduction is the most effective approach to minimize pollution, but it will impair the performance of pyrotechnics. To prevent pollution, fewer chemicals with high reactivity should be used in crackers. There are several ways to increase the reactivity of flash powders, including modifying the composition, adding new compounds, and lowering particle sizes. The amount of powder needed for manufacturing the crackers has been lowered in the event of nano flash powders, and so the discharge of gas and smoke will be reduced to a smaller extent, reducing environmental pollution considerably16,17.
Current research focuses on using Sargassum wightii to replace Sulphur in flash powder. The ultimate objective is to reduce the harmful effects of emissions on the environment. The seaweed has the ideal proportion of carbon and sulphur, which perfectly balances the pyrotechnic qualities of sulphur. Additionally, to promote eco-friendly pyrotechnics, the traditional paper fire tube has been changed to vegetable-based paper generated from vegetable waste. Various evaluations such as impact sensitivity, friction sensitivity, noise level testing, SEM, performance, Fourier Transform Infrared Spectroscopy, and thermogravimetric analysis, air quality were conducted to scrutinize the morphology and characterize the properties of the existing and modified flash powder compositions.
Materials and methods
Chemicals
Aluminium, Potassium Nitrate, Sulphur were collected from the firework industries located in and around Sivakasi, Tamil Nadu, India. The Sargassum wightii seaweed powder has been collected from the coast of Tiruchendore, Tamil Nadu, India and it was dried in open sunlight for at least one week for removing the moisture completely. The chemicals are sieved in 180 mesh to remove any dust and the particle size of the the chemicals is listed in Table 1.
Preparation of seaweed powder
The seaweed powder was prepared from a macro alga named Sargassum wightii that was available in abundant in the coastal regions of India. This type of seaweed is also found abundance in the coastal regions of the Gulf of Mannar.The minerals and compounds available in the Sargassum wightii are having the necessary properties for replacing sulphur. The sun-dried seaweed flakes are then powdered by grinding them in a conventional grinding machine5. Then this powdered seaweed is sieved using a 180-micron mesh sieve to obtain a uniform size of seaweed powder and then stored in an airtight container to prevent it from atmospheric contamination. The properties of the sargassum wightii seaweed powder that match with sulphur are tabulated in Table 2. The preparation of seaweed powder is shown in the following Fig. 1.
Prepared Sargassum wightii brown seaweed powder.
Preparation of normal and seaweed based flash powder
Conventional flash powder composition contains potassium nitrate, aluminium powder and sulphur6. The average size of the particles is in the range of 50–80 µm. This particle size helps to obtain optimum performance. Chinese crackers contain the following percentage composition of various chemicals: potassium nitrate (57%), aluminium powder (23%) and sulphur (20%) as per the Petroleum and Explosive Safety Organization (PESO) standards. Also as per the PESO standards, at least 10–17% of sulphur is essential to achieve better performance of the crackers.
The amount of seaweed powder in the composition is gradually increased in phases to determine the lowest amount of sulphur that can be lowered. As a result, the amount of sulphur is gradually reduced and the amount of seaweed is gradually raised in the composition of normal flash powder. Finally, a 180-micron brass sieve on a rubber mat mixes the changed flash powder composition after determining the seaweed composition. The process of sieving is commonly iterated approximately 2 to 5 times to achieve a consistent and homogeneous composition of the flash powder. Proper safety precautions should be carried out in the laboratory while preparing the flash powder mixture. The flash powder composition after sieving is shown in Fig. 2.
Mixing of Sargassum wightii brown seaweed powder in flash powder.
Fabrication of Chinese cracker
The manufacturing process of the adjusted flash powder formula was executed at a pyrotechnic enterprise located near Sivakasi. This revised Chinese flash powder cracker was assembled through the injection of approximately 600 mg of the modified flash powder specimen into a cylindrical paper tube. PESO guidelines were followed in preparing the paper tube, which has dimensions of 4 cm in length, 0.6 cm in diameter, and a thickness of 0.5 mm. A 4 cm fuse was integrated onto the apex of the flash cracker tube, permitting a 6–9 s delay during the firing process.
To prevent flash powder spillage from the tube's base, a combination of dextrin and clay particles was used to seal it. Three varied flash powder compositions were employed in the creation of Chinese crackers for this inquiry. Out of the three, the initial group of compositions labeled SP possessed a composition in accordance with conventional Chinese crackers, containing 57% KNO3, 23% Al, and 20% S with respect to PESO in India. To simplify comprehension, the present flash powder mixture was designated as SP, while the modified sulphur composition containing 5% and 10% SP in flash powder was labelled as SP5 and SP10, respectively. Therefore, the SP5, was produced by replacing sulfur with 5% of Sargassum wightii seaweed powder in the total weight percentage, with 57% KNO3, 23% Al, 15% S, and 5% Sargassum wightii seaweed powder. Similar following that, SP10 was produced by replacing 10% of the total weight percentage of sulphur with 10% of Sargassum wightii seaweed powder (SP), with KNO3, 23% Al, 10% S.
The modified flash powder mixture was subject to various tests such as sensitivity, noise, and emission concert, and associated with the existing composition of flash powder. Figure 3 shows the fabricated Chinese crackers using SP, SP5 and SP10 flash powder composition as per PESO prescribed dimensions.
Fabricated Chinese crackers.
Ignitability test
The Ignitability test is done to verify whether the samples are capable of undergoing complete combustion by introducing a open flame and they are examined by visual testing method. The Ignitability Testing was conducted in a well-ventilated area following all safety protocols. The open flame is used as the source of ignition for the testing process and the tests were done in accordance with the Consumer Fireworks Testing Manual and Environmental Protection Agency (EPA, 1993) Azhagurajan et al.18. The open flame testing was performed in the open space for safety considerations since it involves flaming of the flash powder and burning time is noted on stop watch. The open flame testing was performed for all SP, SP5 and SP10 flash powders to evaluate their performance.
Impact sensitivity test
The examination of impact sensitivity in the flash powder specimens was executed with utmost precision. In the testing procedure, a drop of weight with a weight of 2 kg that was released from a particular height was used. The samples were initially placed above the anvil, which was fitted with a 10 mg-mass anvil holder. The testing process followed the guidelines established by the (UN Test Series.3) technique, developed by the German Federal Institute for Testing Materials, Bundesanstalt für Material for schung und -prüfung (BAM) as shown in Fig. 4. The impact sensitivity tester shown in Fig. 7 was purchased from India's Electro Ceramic (P) Ltd and the testing were performed in Mepco Schlenk Engineering College safety laboratory. The limiting energy was employed as an indicator of the outcome of the impact tests conducted on the modified flash powder mixture.
Setup for impact sensitivity testing.
Friction sensitivity test
The testing was done on friction testing apparatus STANAG 4487 as per the standard procedure dictated in—EN 13631-3 and BAM as shown in Fig. 5. The three different flash powder compositions were subjected to friction tests using a friction testing apparatus in Mepco Schlenk Engineering College safety laboratory. The test samples were placed on the porcelain plate provided in the friction sensitivity tester. The porcelain pin is having a length of 15 mm and a diameter of 10 mm. During testing, the tip of the pin is made to contact the flash powder composition for creating friction. The porcelain pin will travel in the fixed direction for 10 mm at a speed of 141 rpm.
Friction sensitivity tester.
Morphological analysis
The morphological studies were performed on the flash powder composition using SU1510 MSEC Scanning Electron Microscope (SEM). It is an electron microscope, designed to direct the electrons towards the samples to study the surface morphology and particle size of the sample. The electrons that strike the samples interact with atoms and produce various signals. The signals contain information like surface topography, the composition of the sample and the particle size of the samples. The images are obtained on electron acceleration of 10 kV.
Fourier-transform infrared spectroscopy (FTIR) analysis
The functional group of the Sargassum wightii seaweed powder was determined by capturing the FTIR spectrum using the Shimadzu FTIR-8400S between the range of 4000–400 cm−1.
Thermal analysis
The existing and modified flash powder composition is analysed for thermal properties to determine the mass loss of the samples by the application of heat using simultaneous thermogravimetry (TG) analysis and differential scanning calorimetry (DSC). The instrument used for this study is Netzsch STA 449F3 working in an inert gas atmosphere having nitrogen gas and it operates in the temperature ranges between room temperature to 1200 °C at the raise of 20 °C per minute. A sample of 5 mg of flash powder is used to study the thermal properties of the flash powder.
Testing of noise level
The samples were subjected to noise level testing through the conduction of noise level tests. This was performed to ascertain the performance characteristics of the modified flash powder in accordance with the standards set forth by the Petroleum and Explosives Safety Organization (PESO). The determination of noise levels was carried out with the use of a noise level monitor, specifically Model no. SL-36, manufactured by Mextech. The tests were measured in decibel units and noted on the dB(A) scale, sound levels of the flash powders were obtained, with midrange frequencies being determined through the employment of Filter A. The noise test was conducted at a distance of 4 m from the point of the crackers' bursting, with readings being taken in dB (A) values. The purpose of this experiment lies in its ability to reveal noise-induced hearing loss in human beings through the dB (A) values.
Paper tube preparation from vegetable waste
Paper tube is an important material used in fireworks for packing and also acts as an important parameter in fireworks performance and biodegradability. Normally, the Chinese cracker flash powder composition is filled on the paper tube. In the present study for increasing the rate of decomposition of the paper waste after the crackers are burst, a novel vegetable waste-based paper is fabricated. The different compositions of flash powder composition were then filled inside them and their performance was evaluated. Also, vegetable waste paper doesn’t have any bleaching agent like Hydrogen Peroxide which is hazardous to the environment as well for living things. The paper fabricated from vegetable waste decomposes faster than normal paper19.
Fabrication of gas analyser
A gas analyser chamber, with dimensions of 0.3 m × 0.3 m, was constructed6,17 in order to gauge the toxic emissions produced by the SP, SP5 and SP10 flash powder compositions. The existing and modified flash powder samples were sequentially placed inside the chamber and electrically ignited. The smoke resulting from the modified and existing flash powder compositions was confined within the chamber and the sulphur dioxide gas emissions were quantified in ppm. An MQ-135 air quality sensor was employed in the measurement process, with the outputs being presented in the display unit as depicted in Fig. 620.
Fabricated gas analyser chamber.
Results and discussion
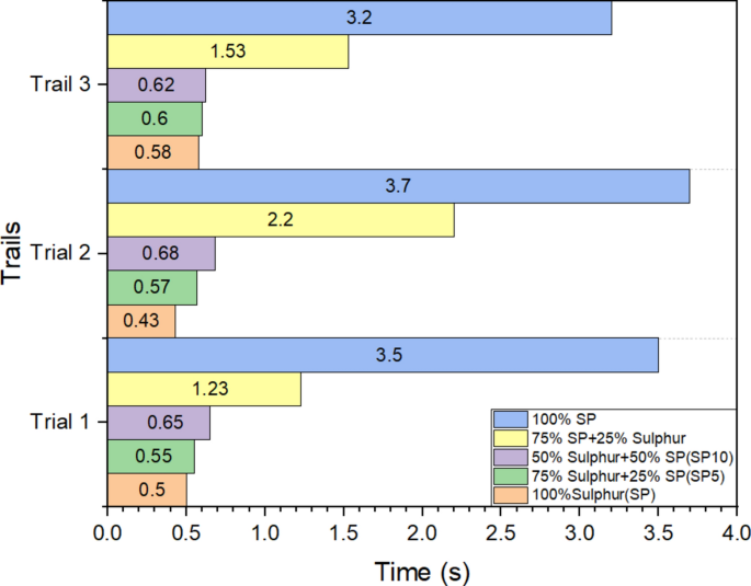
In the present study, the composition of seaweed in the flash powder composition is varied as 25, 50, 75 and 100% of the overall wt% of sulphur in the flash powder mixture. The flash powder formulations were evaluated for ignitability as shown in Fig. 7 and their performance was evaluated using a stopwatch based on their burning time as plotted in Fig. 12.
(a) Before burning. (b) At the time of ignition. (c) After burning.
From Fig. 8, the outcomes of the aforementioned tests were contrasted with those of the current formulation of flash powder. The ignitability tests are carried out in a well-ventilated area for preventing any fire hazards and accumulation of smoke. Once the ignitability test is complete, the burned flash powder composition is evaluated visually to ensure complete combustion and see whether there are any traces of unburned flash powder. The following conclusions were derived from the observations made from these ignitability tests and are summarized in the following Table 3.
Flash powder burn timing plot.
The ignition temperature of the SP, SP5, SP10 were experimented in our previous study17. The experimentation following STANAG 4491—Explosives, Thermal Sensitiveness and Explosiveness Tests standards using Automatic Explosion Temperature Tester Apparatus and the SP, SP5 and SP10 flash powder shows a minimum ignition temperature of 353 °C, 357 °C, 361 °C respectively.
In order to conduct impact sensitivity testing, the traditional and modified composition of seaweed flash powder is taken as a 1 g sample. Aluminium powder accounts for 23% of this sample, whereas potassium nitrate powder makes up 57%, as is customary. While making the flash powders, the ratios of sulphur and seaweed powder are changed. To ensure the flash powder on the device is tested safely, the 1 g sample is then separated into 10 mg samples. The samples are carefully weighed using a computerised weighing scale. The tests are then carried out when the samples are set up on the anvil of the impact sensitivity testing equipment. The table records the outcomes of various trials. The following formula can be used to determine the limiting energy of the flash powder composition brought on by the frictional impact:
As can be observed from Table 4, the SP, SP5, and SP10 all have increasing impact sensitivity as impact distance increases. The modified flash powder composition is also regarded as an extremely sensitive chemical, comparable to the existing flash powder formulation because the limiting energy keeps rising as the impact distance increases.
The diminishing trend of energy limitation concerning distance suggests that safe handling of flash powder must be observed during chemical manufacturing and handling. From Fig. 9, the trial success percentage of the modified flash powder above 50% in the 0.2 m distance indicates the performance of the modified powder satisfying the acceptable sensitivity criteria in comparison with the traditional flash powder composition with lesser emission generation.
Impact sensitivity trails success rate plot.
Similar to this, a 1-g sample of conventional and modified flash powders is prepared to test the friction sensitivity. This particular sample conforms to the conventional formula for flash powder, which typically consists of 23% aluminium powder and 57% potassium nitrate powder. The seaweed and sulphur powder ratios are changed once more, and fresh flash powders are made. The entire 1 g sample is then separated into 10 mg portions that can be used to test the flash powder in the flat without being harmful. A highly accurate digital weighing scale is used to precisely weigh these samples. The prepared samples are next set on the porcelain plate, and the sample is then topped with a porcelain pin. The friction sensitivity testing is carried out, and the results are organized and reported. To gauge the altered flash powder composition's friction sensitivity, the VI, V, and IV slots of the loading arm of the friction testing equipment are loaded (suspended) with the loader. Decomposition of the flash powder might take place, and you could notice it by smelling smoke, noticing a spark, or seeing the flash powder change colour. The findings are then charted in Table 5.
From the Table 5, by comparing the different flash powder compositions, the SP5 and SP10 seaweed composition in the flash powder seems to be a safer composition compared to the existing flash powder having better friction sensitivity. During the friction testing, it has been observed that the loading up to which the flash powder composition is insensitive or safe is 288 N both for SP5 and SP10 modified flash powder compositions.
The performance of the fireworks is affected by the surface morphology and particle size. Hence the samples of potassium nitrate, pyrotechnic aluminium powder, seaweed powder and sulphur are scanned under a Scanning Electron Microscope and the surface morphology images are obtained at different magnification levels as shown in Fig. 10. From Fig. 10A, we can visualize that Aluminium powder is seen as tiny flakes which gives them the property of catching fire easily. Also, in Fig. 10B, potassium nitrate is seen as round-shaped rocky layers which are holding one another and they are varying in different sizes. Figure 10C shows the microstructure of sulphur powder which are having a salty appearance and their sizes vary largely as compared with potassium nitrate particles. Figure 10D shows the microstructure of Sargassum wightii Seaweed Powder. Here the size of the powder is uniform as compared with other types of powder and they are bounded with one another very nicely.
Microstructure of (a) aluminium powder. (b) Potassium nitrate powder. (c) Sulphur. (d) Sargassum wightii seaweed powder.
The chemical composition and functional groups present in Sargassum wightii brown seaweed sample were determined through Fourier Transform Infrared (FTIR) analysis. The objective of this examination was to ascertain the existence of any carbon traces in the seaweed powder to replace sulphur in flash powder composition. To conduct the examination, a prepared 1-g sample was placed in a 1.5 ml microcentrifuge conical vial for submission. The FTIR Analyzer was used to examine the submitted samples and the results of the spectral analysis were plotted on the graph shown in Fig. 11.
FTIR spectrum graph.
From Fig. 11, upon an interpretation of the graph utilizing the infrared spectrum table, it is evident that the FTIR Spectrum graph exhibits a wavenumber of 1685.67. The seaweed powder has been found to contain the C=O group with function. Additionally, because this functional group is a member of the Carbonyl functional category, which contributes to the reactivity and flammability of organic compounds by facilitating various oxidative processes during combustion by the seaweed sample Keshavarz21. Furthermore, the N–O functional group, which is a Nitro molecule, is confirmed by wavenumber 1509.19. As a result, it is also obvious that the seaweed sample contains the nitro chemical which contribute to the high energy content, rapid decomposition, and oxidizing potential of the compounds, making them crucial in various explosive and propellant applications22. It is possible to recognise the existence of the S=O functional group using wavenumber 1033.77. This confirms that the seaweed powder contains the Sulfoxide component which influences combustion reactivity by providing additional oxygen, enhancing thermal stability, and contributing to energy release Gharehghani et al.23. Since the Sargassum wightii is a living organism, all of the necessary chemical constituents are already present. The additional presence of carbon, nitro, and sulphur further supports the substitution of sulphur for seaweed powder.
For increasing the rate of decomposition of the fireworks paper and to encourage the development of green crackers, in the present study, a new biodegradable fireworks paper was also developed which was purely made from vegetable wastes. This vegetable waste paper is fabricated by collecting domestic vegetable waste from cabbage leaves. The procedure involved in developing this cabbage-based biodegradable paper for flash fireworks involves the following steps: initially, the cabbage waste leaves were cut into small pieces with a safety knife. It is important to cut these vegetable waste leaves uniformly for getting consistency in the paper pulp. Along with the vegetable waste, cotton was also cut uniformly and soaked in cold water together with baking soda. After soaking, the contents are boiled on a gas stove for 10–20 min depending upon the fibre break down to get a smooth and fine pulp. Binder is an important source that keeps the fibres together and provides the paper with adequate strength. The sources used for the preparation of the binder are aloe vera pulp and corn flour. Once the binder is prepared, it is then blended with warm water and mixed using the mixer grinder for producing smooth and thick pulp. The obtained pulp is then transferred to a cloth to remove the excess water present. Then the pulp is spread evenly on a laminated material for drying. Before the paper completely dries off, the semi-dried pulp should be pressed using a small roller to get a smooth and flat surface on each side and then again it is allowed to dry completely. The following Fig. 12A,B shows the preparation and fabricated biodegradable vegetable waste paper made from cabbage leaves.
(A) Preparation of biodegradable vegetable waste paper from cabbage leaves. (B) Fabricated biodegradable vegetable waste paper from cabbage leaves trail I and II.
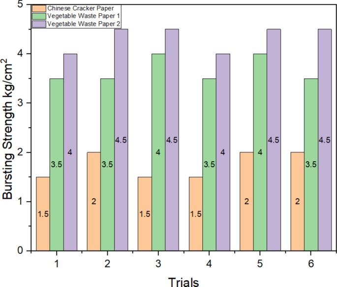
After the paper is completely dried off, the fabricated paper should be subjected to bursting strength testing to determine its quality of the paper. For each sample, 3 tests were conducted to estimate the bursting strength of the paper and the results are ploted in Fig. 13.
Bursting strength testing results of fabricated biodegradable vegetable waste paper from cabbage leaves.
From the test Fig. 13, it has been studied that trail 1 sample which was fabricated using 1.5 g of cotton is having a bursting strength of 3.5 kg/cm2 whereas the trail 2 sample fabricated using 1 g of cotton has a bursting strength of 4 kg/cm2. It is observed that the increase in the usage of cotton, increases the bursting strength of the paper. The modified Chinese cracker flash powder composition has been packed inside this Biodegradable Vegetable Waste Paper as shown in Fig. 14. With this fabricated vegetable waste paper wounded, the degradability of speed of this paper after bursting of the cracker will further increase and also helps in improved soil fertility and thereby creates lesser land pollution hazards leading to a green cracker.
Fabricated vegetable waste wounded chinese cracker as per PESO standards.
The Thermogravimetric analysis was performed to identify the mass loss due to thermal decomposition on the SP, SP5 and SP10 flash powders. The analysis was carried out with an increase in the temperature from room temperature up to 1200 °C. The increase in the heat was carried out at the rate of 20 °C/min.
The crucible used is of Alumina type in the TGA analysis on an open pan under a nitrogen inert atmosphere. The obtained results of the SP, SP5 and SP10 flash powders are shown in Fig. 15A–C. As the temperature is increased from room temperature to 1200 °C, the mass loss on the samples occurs in 3 different stages. From room temperature to 100 °C primary decomposition happens due to evaporation of moisture content in the sample is observed. When the temperature is increased from 200 to 350 °C, the vaporization of sulphur happens and hence the mass loss in the powder SP will be around 20%7. And when the temperature increases from 330 to 720 °C, the mass loss happens due to the escape of the volatile gases with a mass loss of about 25% on the SP sample. Whereas in the case of SP5 and SP10 flash powders, in between 0 and 100 °C about 11% and 21% of mass loss was observed and it happens due to the evaporation of moisture content. Further, the decomposition of the seaweed powder starts at 280 °C on the SP5 and SP10 flash powders5,7. From the FTIR spectrum, it was observed that there is a presence of Sulfoxide compound in Sargassum wightii which and this compound reacts with the flash powder and acts as a replacement for Sulphur and this decomposition happens between 100 and 250 °C. Hence, the mass loss of 12% and 3% which was observed in the samples SP5 and SP10 is due to the vaporization of sulphur compounds. After 530 °C, due to the presence of seaweed powder acting as a replacement for Sulphur in the flash powder, therefore there is a difference in the graph plots for samples SP5 and SP107. The SP sample contains conventional proportions of Aluminium, Potassium nitrate and Sulphur powder mixture and this mixture will get oxidized due to the generation of N2 or NOx gases and a mass loss of 22% was observed. But when Sargassum wightii seaweed powder is introduced in SP5 and SP10 samples, the secondary decomposition of Sargassum wightii takes place between 550 and 780 °C due to the presence of carbonaceous residues, therefore 12% and 8% mass loss happens. Also, the oxidation of aluminium to alumina occurs due to the absorption of oxygen from the oxidizer6,7. At temperatures between 220 and 260 °C, the hemicellulose and cellulose present in the Sargassum wightii begin to decompose and a slight mass loss is observed in the plot5. The samples SP5 and SP10 show similar conditions between 550 and 780 °C, but their mass loss by SP5 and SP10 differs. Therefore, we can find that increasing the usage of seaweed powder helps in reducing the mass loss when the temperature is between 550 and 780 °C.
(A–C) Thermogravimetry and differential scanning analysis results of SP, SP5 and SP10 flash powders.
The DSC plot of the SP, SP5 and SP10 samples were performed simultaneously with TGA from room temperature up to 1200 °C in a nitrogen inert atmosphere. The sample SP shows its first endothermic peak at 115 °C due to the Sulphur phase transition24. At about 130 °C phase transition of KNO3 and melting of sulphur takes place25,26. In between temperatures 280 °C and 320 °C, the first exothermic peak was observed due to Sulphur vaporization27,28. Due to the increased release of energy, Potassium nitrate starts melting down25 the energy absorption by the Potassium nitrate results in an endothermic peak at 330 °C. At this stage, the aluminium particles are present in the solid state which are dispersed in a molten matrix of KNO3. Around 480 °C, another exothermic peak is observed due to the dispersion of aluminium particles in the melted potassium nitrate solution and the phase change of aluminium takes place29. When the temperature is gradually increased to 630 °C, a large exothermic peak was observed due to the oxidation of aluminium into alumina 29. Similarly in SP5 and SP10 samples, due to the evaporation of moisture content in the Sargassum wightii, small endothermic curves were observed between 0 and 100 °C5.
At around 115 °C due to Sulphur phase transition, a mild exothermic peak was observed in SP5 and SP10 samples. The first exothermic peak was observed at 320 °C on SP5 and SP10 samples due to the vaporization of Sulphur compounds in the samples. After 500 °C the graph attains its peak which is mainly due to the secondary decomposition of Sargassum wightii resulting in the formation of carbon residues which shows a deep endothermic curve in the SP5 and SP10 samples5. Also, the introduction of Sargassum wightii in the flash powder results in a reduction in the mass loss of the samples SP5 and SP10 in comparison with the SP type of sample and this further decreases the sensitivity of the flash powder and thereby ensures safe handling.
The present study employed a gas analyser to conduct the emissions tests on flash powders SP, SP5 and SP10 which was also explained in detailed on our previous study17. The experimental procedure was performed within the gas analyser, which was initiated by closing its door. The gas chamber contained an electrical coil heater and a sample holder attached above it to ignite the flash powder. The MQ-135 Sensor was linked to an Arduino Uno processor for processing the inputs received from the sensor. Additionally, a glass pane was attached to the front end of the gas analyser to visualize the heating process occurring within the chamber. For each of the three types of samples, a minimum of three trials were conducted using the gas analyser to identify the gas emissions. The samples were placed on a copper plate over the sample holder and the igniter was switched on to develop sufficient heat for igniting the flash powder. Once the minimum ignition temperature was reached, the flash powder composition began burning, resulting in the emission of fumes. The enclosed chamber trapped the fumes emitted for a specified time, and the MQ-135 sensor calculated the quantity of toxic gas in parts per million (ppm) from the gas fume emerged. Finally, the readings were noted down from the display unit. The results obtained from the highly sensitive air quality sensor, MQ135, indicated that there was a negligible amount of emission from Sargassum wightii flash powder composition, which suggests progress towards a green firework flash powder composition20. The rate of toxic emissions from different flash powder compositions, such as SP, SP5 and SP10, was presented in Fig. 16. In the first trial, there was approximately 15% less emission from SP5 and 23% less emission from the SP10 sample as compared to SP type flash powder composition. In the second trial, it was observed that there was 15% less emission from SP5 and 17% less emission from SP10 flash powder composition as compared to the SP type sample. Once again in the third trial, there was a decrease of 17% less emission from SP5 and a decrease of 24% less emission from SP10 compared to the SP type of sample.
Emission rates of SP, SP5 and SP10 compositions.
From the following graph in Fig. 16, it is evident that the amount of toxic gases produced in the SP5 and SP10 composition is gradually reducing, which contributes to creating a clean environment for future generations. Here, the performance of the flash powder compositions has been retained without compromising during the replacement of sulphur in the existing flash powder composition. Further research endeavors pertaining to the utilization of Sargassum wightii seaweed powder have the potential to augment the mitigation of the discharge of noxious gases, thereby facilitating the realization of a completely uncontaminated atmosphere.
Figure 17A, shows the results of noise testing performed on flash powders SP, SP5, and SP10 when used with standard paper. When compared to the modified flash powders, SP5 and SP10, the noise level coming from the regular SP-type sample of flash powder is relatively greater. The improved flash powders SP5 and SP10, however, provide comparable performance with less noise generation and nevertheless meet the requirements for the crackling effect in fireworks. The peak noise levels for the two modified flash powders, SP5 and SP10, are 108 dB(A) and 109 dB(A), respectively, for the regular flash powder. The noise level produced by the Chinese crackers will be reduced by the use of seaweed powder, avoiding noise dangers and conforming to the required noise limit advised by Petroleum and Explosive Safety Organisation (PESO) guidelines. When making Chinese crackers, environmental risks and noise pollution are reduced thanks to the addition of seaweed powder to the flash powder mix.
(A) Noise produced by SP, SP5 and SP10 flash powder. (B) Noise produced by vegetable waste paper wounded SP, SP5 and SP10 flash powder.
Similarly, the results of noise testing for SP, SP5 and SP10 flash powders wounded with vegetable waste paper exhibit an increased noise performance as compared to the normal paper Chinese cracker. The bursting strength of the vegetable waste paper is responsible for this enhancement and further creates better pressure confinement for the flash powders to perform, resulting in improved performance of SP, SP5 and SP10 flash powders as depicted in Fig. 17B. Traditional flash powder, SP type sample injured with vegetable waste paper, makes much more noise than modified flash powders SP5 and SP10. The modified flash powders SP5 and SP10, however, nevertheless satisfy the specifications for crackling effect fireworks and display comparable performance with less noise production. The modified flash powders SP5 and SP10 yield peaks of noise of 116 and 111 dB(A), respectively, as opposed to 120 dB(A) for the regular flash powder. Additionally, the addition of seaweed powder and vegetable waste paper not only lessens the noise made by Chinese crackers but also helps the soil become more fertile after they have burst. The use of seaweed powder and vegetable waste paper makes the flash powder a greener composition, reducing air, water, land, and noise pollution on the constructed Chinese cracker. Finally, the existing study results are compared with the previous studies in Table 6.
Conclusion
In the current investigation, the flash powder formulation has been successfully altered with Sargassum wightii to replace sulphur, resulting in two distinct compositions with 5% and 10% replacement of Sulphur with Sargassum wightii seaweed powder. From this present study, the following deductions were drawn:
-
Through friction testing, it was observed that all three flash powder compositions exhibited safe sensitivity at a frictional load of 288 N, implying their insensitivity.
-
Impact testing concluded that both SP5 and SP10 compositions had comparable sensitivity to the SP-type flash powder composition, indicating that Sargassum wightii seaweed powder can act as an excellent substitute for Sulphur.
-
Microstructural investigations were executed successfully on the various components utilized in the modified flash powder compositions, enabling a study of their size and morphology.
-
The potential of seaweed to replace sulphur was discovered through the identification of various functional groups such as N–O, C = O, and S = O, using FTIR analysis.
-
To promote green fireworks as an innovative novelty, a flash tube or paper was created from biodegradable cabbage waste, which was used to pack the modified flash powder composition, and its performance experiment was conducted. The green papers' rate of decomposition after bursting will be faster than conventional paper, with a bursting strength of 4 kg/cm2.
-
TGA results determined that the mass loss was minimal for SP5 and SP10 samples compared with the SP-type flash powder composition. DSC results showed the decomposition behavior of the modified flash powder composition.
-
Emission tests were carried out successfully in the gas analyzer developed, indicating that modified flash powder compositions showed a greater reduction in emissions, which could lead to a green pyrotechnic composition.
-
Noise level tests demonstrated that the modified flash powder compositions generated lower noise levels, leading to a reduction in noise pollution.
From the above all observation, the sargassum wightii can be replaced as a green material for sulphur but still the availability, culture and processing the seaweed to seaweed powder is a bit tedious task. Apart from this the aforementioned deductions prove that Sargassum wightii seaweed powder could be a potential replacement for sulfur-based flash powder compositions, leading to a safer and more environmentally friendly pyrotechnic composition.
Data availability
The datasets used and/or analysed during the current study available from the corresponding author on reasonable request.
Abbreviations
- Al:
-
Aluminium
- KNO3 :
-
Potassium nitrate
- S:
-
Sulphur
- PESO:
-
Petroleum and explosives safety organization
- TSP:
-
Tamarind seed powder
- SW:
-
Sargassum wightii
- SEM:
-
Scanning electron microscope
- FTIR:
-
Fourier transform infrared spectroscopy
- TGA:
-
Thermogravimetric analysis
- DSC:
-
Differential scanning calorimetry
- SP:
-
Seaweed powder
- Ppm:
-
Parts per million
- NP:
-
Normal paper
- VWP:
-
Vegetable waste paper
References
Arumugachamy, A. & Pandian, P. L. An experimental study of mitigation of fire hazards of flash powder by adding mono ammonium phosphate as a solid inertant for explosive waste disposal in firework industries. Environ. Sci. Pollut. Res. 30(43), 97219–97232 (2023).
Rajendran, M., Ramanathan, R., Ganesan, P. & Shanmugavel, R. Experimental analysis of tamarind seed powder-based flash powder composition for eco-friendly firecrackers. J. Thermal Anal. Calorim. 143, 3009–3021 (2021).
Manikandan, A. & Rajesh Glenn, S. Fabrications of effluence free fire cracker using pyrotechnic chemical composition. Int. J. Eng. Adv. Technol. 9(14), 2249–8958 (2019).
Steinhauser, G. & Klaptke, T. M. Green pyrotechnics: A chemists challenge. Angew. Chem. Int. Ed. 47, 3330–3347 (2008).
Kumar, Y. et al. Evaluation of chemical, functional, spectral, and thermal characteristics of Sargassum wightii and Ulva rigida from Indian Coast. J. Food Qual. 1, 1. https://doi.org/10.1155/2021/9133464 (2021).
Arumugachamy, A., Pandian, P. & Kadarkaraithangam, J. Assessment of pollution by the combustion residue and smoke of boron blended flash powder. Environ. Sci. Pollut. Res. 28, 1. https://doi.org/10.1007/s11356-021-14764-y (2021).
Croteau, G., Dills, R., Beaudreau, M. & Davis, M. Emission factors and exposures from ground-level pyrotechnics. Atmos. Environ. 44, 3295–3303 (2010).
Selvakumar, N., Azhagurajan, A. & Suresh, A. Experimental analysis on nano scale flash powder composition in fireworks manufacturing. Therm. Anal. Calorim. 113, 615–621 (2013).
Azhagurajan, A., Selvakumar, N. & Mohammed Yasin, M. Minimum ignition energy for micro and nano flash powders. Process Saf. Progress 31(1), 19–23 (2011).
Azhagurajan, A., Selvakumar, N. & Jeyakumar, S. Flame analysis of micro and nano flash powder for firework applications. J. Pyrotechnics 30(2), 11–21 (2011).
Azhagurajan, A., Selvakumar, N. & Thanulingam, T. L. Thermal and sensitivity analysis of nano aluminium powder for firework application. J. Thermal Anal. Calorim. 105(1), 259–267 (2011).
Elumalai, R. et al. Experimental investigation and gray relational optimization of engine parameters to improve the output characteristics of an ammonia biodiesel powered dual fuel combustion engine. In Case Studies in Thermal Engineering Vol. 56, p. 104197 (Elsevier BV). https://doi.org/10.1016/j.csite.2024.104197 (2024).
Dash, S. K. et al. Investigation on the adjusting compression ratio and injection timing for a DI diesel engine fueled with policy-recommended B20 fuel. Discov. Appl. Sci. 6, 387. https://doi.org/10.1007/s42452-024-06076-w (2024).
Prakash, P. et al. Parameter fine tuning on CRDI engine operated with blends of grape biodiesel and diesel. In Case Studies in Thermal Engineering Vol. 60, p. 104701 (Elsevier BV). https://doi.org/10.1016/j.csite.2024.104701 (2024).
Ajith, S. et al. Production, characterization and observation of higher carbon in Sargassum wightii biochar from indian Coastal waters. J. Coast. Res. 86, 193. https://doi.org/10.2112/SI86-029.1 (2019).
Azhagurajan, A., Selvakumar, N., & Suresh, A. Environment friendly fireworks manufacturing using nano scale flash powder (2014).
Gnanavel, J. R. S. & Vignesh, N. J. Evaluation and testing of emission on Sargassum wightii-based flash powder composition. Environ. Sci. Pollut. Res. https://doi.org/10.1007/s11356-023-28406-y (2023).
Azhagurajan, A., Marichelvam, M. & Prakash, L. Evaluation of fireworks residue obtained from the flash powder containing aluminium and boron. Poll. Res. 42(1), 12–19. https://doi.org/10.53550/PR.2023.v42i01.003 (2023).
Patel, B. B. Manufacturing of environmental friendly paper from domestic residuals of fruits and vegetables. https://doi.org/10.5281/zenodo.163090 (2016).
Sarjerao, B., & Amara, P. A low cost smart pollution measurement system using REST API and ESP32. 1–5. https://doi.org/10.1109/I2CT.2018.8529500 (2018).
Keshavarz, M. H. Combustible organic materials: Determination and prediction of combustion properties (Walter de Gruyter GmbH & Co KG, 2022).
Cao, Y., Lai, W., Yu, T., Liu, Y. & Wang, B. Can N-oxidation alleviate the energy-safety contradiction of energetic materials?. FirePhysChem 1(1), 27–32 (2021).
Gharehghani, A., Salahi, M. M., Andwari, A. M., Mikulski, M. & Könnö, J. Reactivity enhancement of natural gas/diesel RCCI engine by adding ozone species. Energy 274, 127341 (2023).
Vinayan, B. P. et al. Performance study of magnesium–sulfur battery using a graphene based sulfur composite cathode electrode and a non-nucleophilic Mg electrolyte. R Soc. Chem. 8, 3296–3306 (2016).
Benes, O., Konings, R. J. M., Wurzer, S., Sierig, M. & Dockendorf, A. A DSC study of the NaNO3–KNO3 system using an innovative encapsulation technique. Thermochim. Acta. 509, 62–66 (2010).
Udupa, M. R. Thermal decomposition of potassium nitrate in the presence of chromium(III)oxide. Thermochim. Acta. 16, 231–235 (1976).
Brown, M. E. & Rugunanan, R. A. A thermo-analytical study of the pyrotechnic reaction of the black powder and its constituents. Thermochim. Acta. 134, 413–418 (1988).
Brown, M. E. & Rugunanan, R. A. A thermo-analytical study of the pyrotechnic reactions of black powder and its constituents. Thermochim. Acta. 134, 413–418 (1988).
Niclas, A. A calorimetric analysis and solid-solubility examination of aluminium alloys containing low-melting-point elements (Royal Institute of Technology, Stockholm, Swedon, 2012).
Babu, V. & Azhagurajan, A. Interpretation of safe parameters of chemical compositions and noise level of the fireworks crackers. Injury Prev. 16(Suppl 1), A58–A58 (2010).
Padam, B. S. & Chye, F. Y. Seaweed components, properties, and applications. Cult. Biorefinery Appl. Adv. Green Chem. 1, 33–87 (2020).
Muraguri, E. N., Wakibia, J. G. & Kinyuru, J. N. Chemical composition and functional properties of selected seaweeds from the Kenya Coast. J. Food Res. 5(6), 114–123 (2016).
Łabowska, M. B., Michalak, I. & Detyna, J. Methods of extraction, physicochemical properties of alginates and their applications in biomedical field—a review. Open Chem. 17, 738–762 (2019).
Meyer, B. Elemental sulfur. Chem. Rev. 76, 367–388 (1976).
Rajendran, M. et al. Experimental analysis of tamarind seed powder-based flash powder composition for eco-friendly firecrackers. J. Therm. Anal. Calorim. 143, 3009–3021. https://doi.org/10.1007/s10973-020-09707-7 (2020).
Kadam, S. U., Álvarez, C., Tiwari, B. K. & ODonne CP,. Extraction of biomolecules from seaweeds. Seaweed Sustain. 1, 243–269 (2015).
Arumugachamy, A., Pandian, P. & Kadarkaraithangam, J. Study of thermal and safety behaviour of nanoboron blended flash powder. J. Thermal Anal. Calorimetry. 146, 1. https://doi.org/10.1007/s10973-021-10891-3 (2021).
Acknowledgements
The authors thank the Researchers Supporting Project number (RSPD2025R698), King Saud University, Riyadh, Saudi Arabia, for funding this research. The authors would like to acknowledge the management of Mepco Schlenk Engineering College, Sivakasi, Tamil Nadu, India for encouraging and supporting the research work.
Author information
Authors and Affiliations
Contributions
J.R.S.G, V.N.J, D.B.R.J.H.Ndeveloped the idea and conducted the experiments, J.R.S.G, D.B wrote the manuscript, N.R.K, E.P.V, S.V, S.V.P, Y.F,M.E.M.S, M.G, A.C edited the manuscript, all authors reviewed the manuscript.
Corresponding authors
Ethics declarations
Competing interests
The authors declare no competing interests.
Additional information
Publisher's note
Springer Nature remains neutral with regard to jurisdictional claims in published maps and institutional affiliations.
Rights and permissions
Open Access This article is licensed under a Creative Commons Attribution-NonCommercial-NoDerivatives 4.0 International License, which permits any non-commercial use, sharing, distribution and reproduction in any medium or format, as long as you give appropriate credit to the original author(s) and the source, provide a link to the Creative Commons licence, and indicate if you modified the licensed material. You do not have permission under this licence to share adapted material derived from this article or parts of it. The images or other third party material in this article are included in the article’s Creative Commons licence, unless indicated otherwise in a credit line to the material. If material is not included in the article’s Creative Commons licence and your intended use is not permitted by statutory regulation or exceeds the permitted use, you will need to obtain permission directly from the copyright holder. To view a copy of this licence, visit http://creativecommons.org/licenses/by-nc-nd/4.0/.
About this article
Cite this article
Gnanavel, J.R.S., Jawahar, V.N., Balasubramanian, D. et al. Experimentation on Sargassum wightii as a flash powder igniter for attaining eco-friendly combustion on pyrotechnics. Sci Rep 14, 22882 (2024). https://doi.org/10.1038/s41598-024-72563-0
Received:
Accepted:
Published:
Version of record:
DOI: https://doi.org/10.1038/s41598-024-72563-0


















