Fig. 4
From: Soft-label recover based label-specific features learning

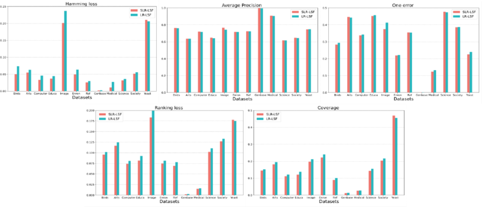
Ablation experiment of LR-LSF and SLR-LSF on five evaluation metrics.
From: Soft-label recover based label-specific features learning

Ablation experiment of LR-LSF and SLR-LSF on five evaluation metrics.