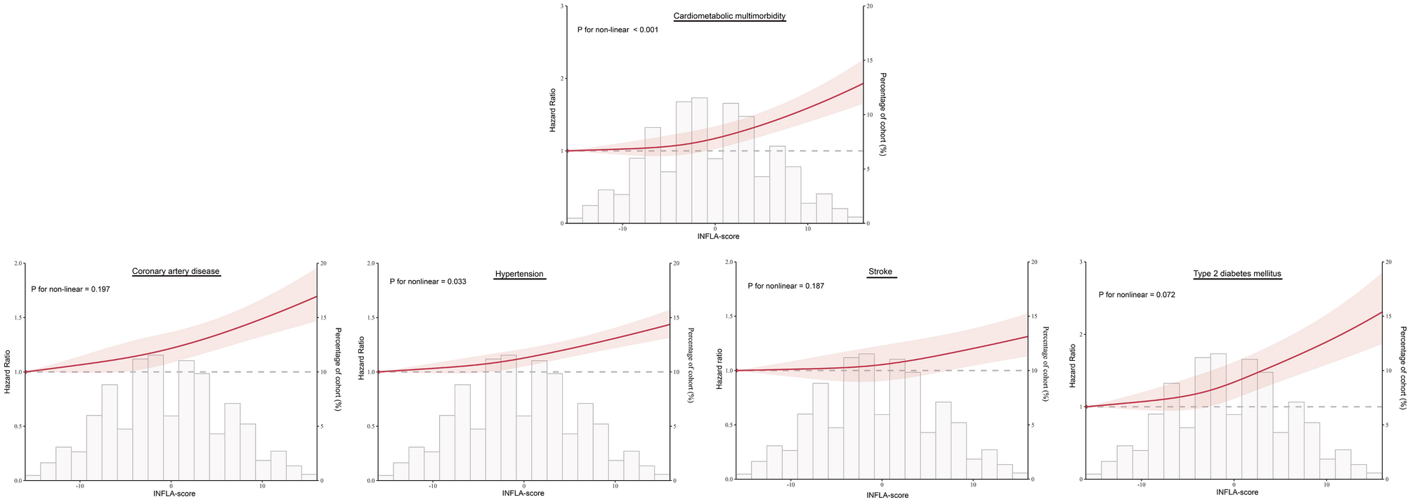
Fig. 4

Restricted cubic splines of INFLA-score and risk of cardiometabolic multimorbidity and specific cardiometabolic diseases. HRs and 95% CIs have been adjusted by age, sex, race, body mass index, diastolic blood pressure, systolic blood pressure, HDL, LDL, TG, physical activity, hypercholesterolemia, current use of lipid lowering drugs, current use of aspirin, drinker, and smoker.