Abstract
Chronic visceral pain disorders, such as interstitial cystitis/bladder pain syndrome (IC/BPS), are difficult to treat, and therapies are limited in number and efficacy. Emerging evidence suggests that alterations in the enzyme purine nucleoside phosphorylase (PNPase) may participate in oxidative injury and cellular damage. PNPase is important for the metabolism of ‘tissue-protective’ purine metabolites to ‘tissue-damaging’ purines that generate free radicals. The aim of this study is to test whether patients living with IC/BPS without or with Hunner lesions and irrespective of any therapies exhibit purine dysregulation with higher levels of tissue-damaging purine metabolites as measured by liquid chromatography-tandem mass spectrometry. Our results demonstrate that levels of urotoxic purine metabolites (hypoxanthine and xanthine) in IC/BPS patients with and without Hunner lesions are elevated compared to healthy controls. These findings suggest there may be pathophysiologic commonalities between patient subtypes. Furthermore, the accumulation of uroprotective purines and depletion of urodamaging purines by PNPase inhibition may be therapeutically effective in both groups of patients.
Similar content being viewed by others
Introduction
Interstitial cystitis/bladder pain syndrome (IC/BPS) lacks a well-defined cause, is difficult to diagnose, has no clear therapeutic target, and current treatments have low efficacy1,2. IC/BPS is defined by pelvic pain perceived to be of bladder origin, associated with irritative voiding symptoms. Current studies strongly suggest that IC/BPS symptoms may have multiple sources, ranging from distinct bladder (“bladder-centric”) to neurologic/immunologic extra-vesical pathologies3. Although cystoscopic examination is usually unrevealing, approximately 15% of patients will display focal regions of intense inflammation, termed Hunner lesions (HL)4,5,6. Biopsies of these regions demonstrate an intense, often transmural, inflammatory infiltrate that consists of plasma cells, natural killer cells, eosinophils/neutrophils, monocytes, B-cells and T-cells7. Many experts believe that IC/BPS patients with HL represent a unique phenotype that derives most pain-related symptoms from the bladder8. Conversely, others would argue that there may be a pathophysiological overlap between the groups9,10.
Irrespective of the presence or absence of Hunner lesions, it is clear that end-organ derived pain is common and a urothelial origin of pain has been well-described11,12,13. The urothelium is an integral part of the urinary bladder ‘sensory web,’ whereby these epithelial cells communicate information about the external milieu to underlying bladder nerves and detrusor muscle cells within the bladder wall and, ultimately, the central nervous system via the release of signaling factors such as the purine ATP14,15. ATP and associated purinergic receptors play an important sensory role in bladder health and disease16. Augmented release of urothelial-derived ATP has been demonstrated in IC/BPS patients and in animal models for this syndrome17,18,19. In addition, elevated urinary ATP levels have been reported in IC/BPS patients which correlated with symptom severity relative to asymptomatic controls19. Augmented release of ATP from inflamed or damaged tissues, including the urinary bladder, has been shown to evoke painful sensations by activating nociceptors on neurons that express purinergic P2X receptors20,21.
The relationship between chronic pain syndromes, such as IC/BPS, and oxidative stress has been widely described in patients and animal disease models with suggestions that complications may be caused and worsened by reactive oxygen species (ROS)22,23,24. For example, increased expression of inducible nitric oxide synthase (iNOS) is well known to enhance ROS production and appears to be a biomarker for IC/BPS patients with Hunner lesions25. Moreover, oxidative stress has been shown to trigger responses which can exacerbate generalized pain syndromes, including IC/BPS22,26. Notably, ROS may both enhance the release of pro-nociceptive mediators while promoting oxidative tissue damage27,28.
Emerging evidence suggests that alterations in purine nucleoside phosphorylase (PNPase) activity contribute to oxidative injury and cellular damage in a number of conditions29,30,31,32,33. As depicted in Fig. 1, PNPase transforms the tissue-protective purine metabolite inosine into hypoxanthine, a purine metabolite associated with the generation of tissue damaging reactive oxygen species (ROS) when hypoxanthine is further metabolized by xanthine oxidase to xanthine and then uric acid and in the process, generates ROS such as H2O227,34. Hypoxanthine may also elevate levels of other purines such as adenosine triphosphate (ATP), which is rapidly broken down to adenosine (a signaling nucleoside that is also produced during tissue inflammation or injury). Adenosine is then converted to inosine and metabolized further via the enzyme purine nucleoside phosphorylase (PNPase) to uro-toxic purine metabolites hypoxanthine and xanthine, both sources of ROS32,35. Thus, an increase in the activity of PNPase would lead to increased accumulation of uro-toxic purine products (hypoxanthine and xanthine) that, regardless of the source, could result in augmented oxidative stress and cellular damage and contribute to chronic pain states such as IC/BPS. Furthermore, as IC/BPS is frequently associated with other chronic pain states, one might speculate that changes in uro-toxic purine products could contribute to these systemic/central pathologies36,37.
Here we report for the first time that IC/BPS patients (both with and without Hunner lesions) exhibit a dysfunctional purine metabolome with increased indicators of oxidative stress. These findings suggest that despite the differences in gross cystoscopic findings between groups, these groups are linked by the biochemical similarities identified herein. Our data suggest that treating such patients with an inhibitor of PNPase could be beneficial by reducing free radical formation and oxidative stress, thereby minimizing tissue damage/inflammation as well as painful bladder symptoms.
Results
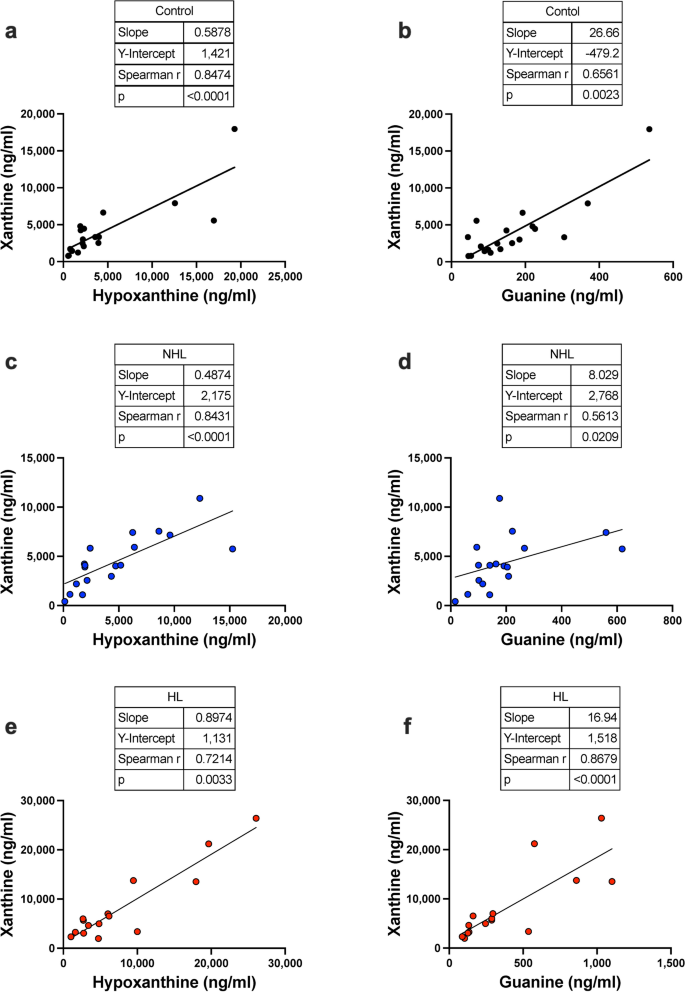
As shown in Fig. 2, in healthy controls, there was only a moderate (Spearman r < 0.7 with P < 0.05) relationship between urine levels of inosine versus hypoxanthine (panel 2a, Spearman r = 0.6211, P = 0.0045) and no relationship P ≥ 0.05) between urine levels of guanosine and guanine (panel 2b, Spearman r = 0.2895, P = 0.2293). In IC/BPS patients without Hunner lesions, there was a significant, yet moderate, relationship between both urine levels of inosine versus hypoxanthine (panel 2c, Spearman r = 0.5172, P = 0.0355) and guanosine versus guanine (panel 2d, Spearman r = 0.5253, P = 0.0252). In IC/BPS patients with Hunner lesions, a highly significant and strong (Spearman r > 0.07 with P < 0.05) relationship between both inosine versus hypoxanthine (panel 1e, Spearman r = 0.8321, P = 0.0002) and guanosine versus guanine (panel 1f, Spearman r = 0.7786, P = 0.0010) was observed. As shown in Fig. 3, all groups (Control: panel 3a; IC/BPS without Hunner lesions panel 3c; and IC/BPS with Hunner lesions: panel 3e) showed strong relationships between both hypoxanthine versus xanthine and guanine versus xanthine. Also, all groups showed moderate (Control: panel 3B; IC/BPS without Hunner lesions: panel 3D) to strong (IC/BPS patients with Hunner lesions: 3F) relationships between guanine and xanthine.
Relationships between PNPase substrates and products in healthy controls and IC/BPS patients without (NHL) or with (HL) Hunner lesions. Panels show correlations (using the nonparametric Spearman’s rank correlation coefficient method) between urinary inosine and its PNPase metabolite hypoxanthine (a,c,e) and urinary guanosine and its PNPase metabolite guanine (b,d,f) in healthy controls (a,b) and IC/BPS patients without (c,d) or with (e,f) Hunner lesions. Table inserts provide the slope and y-intercept.
Relationships between xanthine oxidase and guanase substrates and products in healthy controls and IC/BPS patients without (NHL) or with (HL) Hunner lesions. Panels show correlations (using the nonparametric Spearman’s rank correlation coefficient method) between urinary hypoxanthine and xanthine (xanthine oxidase substrate and product, respectively; a,c,e) and urinary guanine and xanthine (guanase substrate and product, respectively; b,d,f) in healthy controls (a,b) and IC/BPS patients without (c,d) or with (e,f) Hunner lesions. Table inserts provide the slope and y-intercept.
As shown in Fig. 4, IC/BPS patients without or with Hunner lesions exhibit elevated levels of adenosine (panel 4a) and adenosine’s downstream metabolites inosine (panel 4b), hypoxanthine (panel 4c) and xanthine (panel 4d). Moreover, we also found increased levels of the upstream purine guanosine (panel 4e) in IC/BPS patients without and with Hunner lesions and guanosine’s downstream metabolite guanine (panel 4f) in IC/BPS patients with Hunner lesions (and a tendency for increase in patients without Hunner lesions). Moreover, we found significant increases in urinary isoprostanes, prostaglandin-like compounds which are indices of endogenous oxidative stress38, in both IC/BPS patients without and with Hunner’s lesions (panel 4g).
Urinary levels of purines and isoprostanes in healthy controls (C) and IC/BPS patients without (NHL) or with (HL) Hunner lesions. Bar graphs show absolute concentrations of adenosine (a), inosine (b), hypoxanthine (c), xanthine (d) guanosine (e), guanine (f) and isoprostanes (g). Arrows indicate substrate/product pairs for the indicated enzyme. ADA, Adenosine deaminase; PNPase, Purine nucleotide phosphorylase; XO, Xanthine oxidase. Values are means and SEMs.
Discussion
Evidence for increased PNPase activity in IC/BPS patients
Here we examined the role of PNPase in controls versus IC/BPS patients both without and with Hunner lesions. The two main endogenous substrates for PNPase are inosine and guanosine, which are converted by PNPase to hypoxanthine and guanine, respectively31. Consequently, we propose that the relationships between urinary excretion of inosine versus hypoxanthine and guanosine versus guanine can be used as surrogate measures of PNPase activity in the urinary system. Indeed, in a recent study, we showed that manipulating PNPase activity with three different PNPase inhibitors altered the ratio of PNPase substrates to products in the urine in the expected manner31. We observed that in healthy controls, there was only a modest relationship between urine levels of inosine versus hypoxanthine and no relationship between urine levels of guanosine and guanine. These findings suggest low activity of PNPase in healthy controls since these reactions are mediated by this enzyme and these two indices of PNPase activity gave inconsistent (conflicting) results. In IC/BPS patients without Hunner lesions, there was a significant, yet moderate relationship between urine levels of inosine versus hypoxanthine and urine levels of guanosine versus guanine. This consistency between the two measures of PNPase activity is evidence of higher PNPase activity in IC/BPS patients without Hunner lesions than in the controls. Remarkably, in IC/BPS patients with Hunner lesions, a highly significant and strong relationship was observed between inosine versus hypoxanthine and guanosine versus guanine. These latter findings comprise even stronger evidence for higher PNPase activity in IC/BPS patients with Hunner lesions than controls or IC/BPS patients without Hunner lesions. Together these findings implicate excessive PNPase activity in the pathophysiology of IC/BPS. In this regard, the increased PNPase activity would not only produce more ROS with normal levels of substrate (inosine or guanosine) but would also amplify the ROS-generating effects of increased inosine or guanosine flux in the urinary tract.
Evidence for high xanthine oxidase and guanase activity in the urinary tract
Xanthine oxidase converts hypoxanthine to xanthine (generates ROS) and guanase metabolizes guanine to xanthine. Since xanthine is metabolized to uric acid by xanthine oxidase (a reaction that also generates ROS), the conversion of hypoxanthine to xanthine and guanine to xanthine would yield a substrate (xanthine) that fuels ROS production (Fig. 1). Therefore, we also examined the role of xanthine-generating enzymes in control versus IC/BPS patients without and with Hunner lesions. In all groups we observed strong relationships between hypoxanthine versus xanthine and moderate to strong relationships (particular in IC/BPS patients with Hunner lesions) between guanine versus xanthine. These findings suggest that xanthine oxidase and guanase activity in the urinary system is high and similar in controls versus IC/BPS patients with and without Hunner lesions and that guanase activity is particularly high in IC/BPS patients with Hunner lesions. The key implication from these results is that if substrate (hypoxanthine or guanine) flux to xanthine oxidase or guanase in the urinary tract is increased, the enzymatic systems in the urinary system can readily generate ROS.
One caveat is that xanthine oxidoreductase exists in two forms, i.e., xanthine oxidase and xanthine dehydrogenase, both of which metabolize hypoxanthine to xanthine39. Thus, the positive relationships between hypoxanthine and xanthine could be due to either form of xanthine oxidoreductase. Although xanthine oxidase is the main source of ROS, the FAD subunit of xanthine dehydrogenase can act as a NADH oxidase and produce ROS39. Therefore, whether the metabolism of hypoxanthine is via xanthine oxidase or xanthine dehydrogenase, the opportunity for ROS production is increased.
Evidence for increased purine substrate flux to the urinary tract in IC/BPS patients
In healthy tissues, adenosine levels are low due to suppressed expression of adenosine-generating enzymes (e.g., CD39 and CD73)40; however, inflammation and tissue injury promote the metabolism of ATP41 and its metabolite to adenosine (ATP→ADP→AMP→adenosine)42. Guanosine levels too can be also be elevated by tissue injury and inflammation due to the breakdown of GTP (GTP→GDP→GMP→guanosine). These processes may increase flux of substrate purines in the inflamed and damaged urinary tract. To test this prediction, we assessed and compared the absolute urine levels of adenosine, inosine, hypoxanthine, xanthine, guanosine and guanine in controls and IC/BPS patients without and with Hunner lesions. Here we report higher levels of urinary adenosine in IC/BPS patients without or with Hunner’s lesions. Adenosine deaminase converts adenosine to inosine, which is also elevated in IC/BPS patients compared to healthy controls. As expected, the increased inosine levels were accompanied by increased levels of the downstream metabolite’s hypoxanthine and xanthine in IC/BPS patients. Moreover, we also found increased levels of guanosine in IC/BPS patients without and with Hunner lesions and increased levels of guanine in IC/BPS patients with Hunner lesions. There was a strong tendency (not statistically significant with the current sample size) for greater purine flux in patients with versus without Hunner lesions.
Evidence for increased ROS generation in the urinary tract in IC/BPS patients
There is evidence that increased ROS and oxidative stress are common factors that are implicated in the pathogenesis of IC/BPS43. Taken together, our present findings offer evidence for 3 different reasons that patients with IC/BPS could exhibit a higher ROS generation: (1) greater PNPase activity in the urine of IC/BPS patients; (2) high activity of xanthine oxidase and guanase in the urinary tract; and (3) increased flux of purine substrates to PNPase, xanthine oxidase and guanase in the urinary tract. As anticipated, we found significant increases in urinary isoprostanes, prostaglandin-like compounds which are indices of endogenous oxidative stress and generation of ROS, in both IC/BPS patients with and without Hunner’s lesions.
Evidence that increased generation of hypoxanthine and xanthine in the urinary tract leads to higher levels of ROS in the urinary tract which contributes to bladder dysfunction in IC/BPS patients
In IC/BPS patients with and without Hunner lesions, we observed significantly higher urinary levels of hypoxanthine, xanthine, and isoprostanes as compared with healthy controls. These results suggest similarities in pathophysiology between the two groups in terms of the excessive production of uro-damaging purines, leading to the overproduction of ROS. It remains possible that hypoxanthine and xanthine contribute to bladder injury and pain via other non-ROS mechanisms. These results are particularly noteworthy as all patients selected were evaluated during routine clinical care and, as such, were on a variety of therapies that had the potential to alter our results. As noted in prior studies44, apart from the presence of gross inflammation, no differences in pain scores or other clinical characteristics were noted between the two groups. With reference to the method for diagnosis of Hunner lesions, office cystoscopy was employed. One might speculate that HL might have been identified in some patients with negative office examinations if formal hydrodistention was carried out. In either case, the data still support local pathologic similarities in a spectrum of disease.
PNPase as a target for the treatment of IC/BPS
The main implication of the present study relates to a possible therapeutic target to treat/manage IC/BPS, namely PNPase. PNPase activity determines the balance between uro-protective purines (inosine and guanosine, known to exert antioxidant, anti-inflammatory, and tissue-protective effects) and uro-damaging purines (hypoxanthine and xanthine, known to be pro-oxidant, pro-inflammatory and tissue-damaging)31. Here we show that not only is PNPase activity likely elevated in IC/BPS but substrate flux to this enzyme, and to the downstream xanthine oxidase, is augmented in IC/BPS. Inhibition of PNPase causes accumulation of tissue-protective inosine and guanosine while simultaneously reducing levels of tissue-damaging hypoxanthine, xanthine and guanine (a substrate for guanase that produces xanthine). We have published preclinical findings in a ‘bladder-centric’ rodent model of IC/BPS demonstrating that inhibition of PNPase (using 8-aminoguanine or 8-AG) resulted in uro-protective effects on bladder form and function33. This is likely due to increased bladder levels of inosine and guanosine (uro-protective and pain-reducing purines) and reductions in bladder levels of hypoxanthine and xanthine (uro-damaging purines and ROS generators). Thus, by rebalancing the purine metabolome, PNPase inhibition may alleviate pain in IC/BPS patients and possibly improve bladder structure and function.
Methods
Patients and sample collection
All research was conducted with the approval of the Northwell Health Institutional review board (IRB 17–0254-NSUH). Patients were recruited from the Smith Institute for Urology. Urine samples and questionnaires were obtained during office visits after written informed consent in accordance with protocols approved by the Northwell Health Institutional Review Board (IRB 17–0254-NSUH). All IC/BPS patients were selected by AUA Guidelines45 with the addition of a cystoscopic examination. The diagnosis of Hunner lesions was made through an office-based cystoscopic exam, and a bladder biopsy was performed on all patients with Hunner lesions to rule out other pathologies. A clean-catch urine specimen was collected from each patient (n = 16 controls; n = 16 with IC/BPS; and n = 15 with IC/BPS with Hunner lesions) and frozen within 3 h of collection.
Purine metabolome measurement
Purine metabolites were measured by ultraperformance liquid chromatography-tandem mass spectrometry as recently described by us33,35. Urine samples were diluted 1 to 30 with water, and heavy isotope internal standards were added to each sample. Purines were separated by reversed-phase ultra-performance liquid chromatography (Waters UPLC BEH C18 column, 1.7 µm beads; 2.1 × 150 mm; Milford, MA) and quantified by selected reaction monitoring using a triple quadrupole mass spectrometer (TSQ Quantum-Ultra; ThermoFisher Scientific, San Jose, CA) with a heated electrospray ionization source. The mobile phase was a linear gradient flow rate (300 μL/min) of 1% acetic acid in water (pH, 3; mobile phase A) and 100% methanol (mobile phase B) and was delivered with a Waters Acquity ultra-performance liquid chromatographic system. The gradient (A/B) settings were: from 0 to 2 min, 99.6%/0.4%; from 2 to 3 min, to 98.0%/2.0%; from 3 to 4 min, to 85.0%/15.0%; from 4 to 6.5 min, to 99.6%/0.4%. The instrument parameters were: sample tray temperature, 10 °C; column temperature, 50 °C; ion spray voltage, 4.0 kilovolts; ion transfer tube temperature, 350 °C; source vaporization temperature, 320 °C; Q2 CID gas, argon at 1.5 mTorr; sheath gas, nitrogen at 60 psi; auxillary gas, nitrogen at 35 psi; Q1/Q3 width, 0.7/0.7 units full-width half-maximum; scan width, 0.6 units; scan time, 0.01 s. The following transitions (multiple reaction monitoring) were obtained: adenosine (268→ 136 m/z, RT = 3.29 min); 13C10-adenosine (278→ 141 m/z, RT = 3.1 min); inosine (269→ 137 m/z, RT = 3.10 min); 15N4-inosine (273→ 141 m/z, RT = 3.1 min); guanosine (284,152→ m/z, RT = 3.10 min); 13C1015N5-guanosine (299→ 162 m/z, RT = 3.10 min); hypoxanthine (137 → 119 m/z, RT = 1.86 min); 13C5-hypoxanthine (142 → 124 m/z, RT = 1.86 min); guanine (152→ 135 m/z, RT = 1.56 min); 13C215N-guanine (155 → 138 m/z, RT = 1.56 min); and xanthine (153→ 135 m/z, RT = 2.0 min); and 15N2-xanthine (155→ 137 m/z, RT = 2.0 min).
Isoprostanes
Urinary isoprostanes were measured by competitive immunoassay kit from Enzo Life Sciences (Farmingdale, NY, ADI-900–010) following manufacturer instructions. In brief, urine samples, diluted 1:2, were incubated in duplicate in competition with alkaline phosphatase conjugated 8-iso-PGF2α, in a 96-well assay plate coated with polyclonal antibody to 8-iso-PGF2α. After a brief wash, the assay is incubated with p-Nitrophenyl Phosphate (pNpp) substrate, developed for 45 min, read on an Tecan Spectrafluor Plus (Männedorf, Switzerland) at 405 nm with 570 nm correction, and isoprostane concentrations were calculated against a standard curve of 0–100,000 pg/ml. Sample extraction was not necessary, and the assay has a sensitivity of 16.3 pg/ml.
Statistics
Data were analyzed in GraphPad Prism 10 (GraphPad, La Jolla, CA). Brown-Forsythe and Barlett’s tests of normality revealed significant differences in standard deviations between groups, thus failing tests of normality. Thus, data were analyzed by nonparametric Kruskal–Wallis tests. These were followed by Dunn’s multiple comparisons tests, which corrects for type I errors. Simple linear regression analysis was used to analyze the relationship between measurements, resulting in best fit values of slope and y-intercept, followed by nonparametric Spearman’s rank sum correlations for analysis of data relationships. P < 0.05 was considered significant. Results are expressed as means ± SEM. * p < 0.05; ** p < 0.01.
Data availability
All data generated during and/or analyzed during the current study are available from the corresponding author on reasonable request.
References
Nickel, J. C. Interstitial cystitis- an elusive clinical target?. J. Urol.170, 816–817 (2003).
Hanno, P. M. in Campbell-Walsh Urology (ed Kavoussi LR Wein AJ, Novick AC, Partin AW and Peters CA) (2007).
Farrar, J. et al. Widespread pain phenotypes impact treatment efficacy results in randomized clinical trials for interstitial cystitis/bladder pain syndrome: a MAPP Network Study. Res. Sqhttps://doi.org/10.21203/rs.3.rs-2441086/v1 (2023).
Whitmore, K. E., Fall, M., Sengiku, A., Tomoe, H. & Logadottir, Y. Hunner lesion versus non-Hunner lesion interstitial cystitis/bladder pain syndrome. Int. J. Urol.26, 26–34 (2019).
Hunner, G. L. A rare type of bladder ulcer in women: report of cases. Trans. Southern Surg. Gynecol. Assoc.27, 247–317 (1914).
Nickel, J. C. & Doiron, R. C. Hunner lesion interstitial cystitis: the bad, the good and the unknown. Eur. Urol.https://doi.org/10.1016/j.eururo.2020.04.067 (2020).
Moldwin, R. M. et al. Immune cell profiles of patients with interstitial cystitis/bladder pain syndrome. J. Transl. Med.20, 97 (2022).
Hillelsohn, J. H. et al. Fulguration for Hunner Ulcers: long-term clinical outcomes. J. Urol.188, 2238–2241 (2012).
Fall, M. et al. Hunner lesion disease differs in diagnosis, treatment and outcome from bladder pain syndrome: an ESSIC working group report. Scand J. Urol.54, 91–98 (2020).
Nickel, J. C. It is premature to categorize Hunner Lesion interstitial cystitis as a distinct disease entity. Scand J. Urol.54, 99–100 (2020).
Parsons, C. L., Lilly, J. D. & Stein, P. Epithelial dysfunction in nonbacterial cystitis (interstitial cystitis). J. Urol.145, 732–735 (1991).
Keay, S. K., Birder, L. A. & Chai, T. C. Evidence for bladder urothelial pathophysiology in functional bladder disorders. BioMed. Res. Int.865463, 1–15 (2014).
Graham, E. & Chai, T. C. Dysfunction of bladder urothelium and bladder urothelial cells in interstitial cystitis. Curr. Urol. Rep.7, 440–446 (2006).
Khanderwal, P., Abraham, S. N. & Apodaca, G. Cell biology and physiology of the uroepithelium. Am. J. Physiol.297, F1477-1501 (2009).
Birder, L. A. & Andersson, K. E. Urothelial signaling. Physiol. Rev.93, 653–680 (2013).
Huang, Z. et al. from purines to purinergic signaling: molecular functions and human diseases. Signal Trans. Targeted Therapy6, 162 (2020).
Sun, Y. & Chai, T. C. Augmented extracellular ATP signaling in bladder urothelial cells from patients with interstitial cystitis. Am. J. Physiol.290, C27-34 (2006).
Birder, L. A. et al. Feline interstitial cystitis results in mechanical hypersensitivity and altered ATP release from bladder urothelium. Am. J. Physiol.285, F423-429 (2003).
Wu, Y., He, Y., Qi, J., Wang, S. & Wang, Z. Urinary ATP may be a biomarker of interstitial cystitis/bladder pain syndrome and its severity. Biomol. Biomed.24, 170–175 (2024).
Ford, A. P. & Undem, B. J. The therapeutic promise of ATP antagonism at P2X3 receptors in respiratory and urological disorders. Front. Cell Neurosci.7, 267 (2013).
Ford, A. P. et al. Purinoceptors as therapeutic targets for lower urinary tract dysfunction. Br. J. Pharmacol.147, S132-143 (2006).
Sies, H. & Cadenas, E. Oxidative stress: damage to intact cells and organs. Philos. Trans. R Soc. Lond B Biol. Sci.311, 617–631 (1985).
Chung, J. M. The role of reactive oxygen species (ROS) in persistent pain. Mol. Interv.4, 248–250 (2004).
Birder, L. A. et al. Altered inducible nitric oxide synthase expression and nitric oxide production in the bladder of cats with feline interstitial cystitis. J. Urol.173, 625–629 (2005).
Logadottir, Y., Hallsberg, L., Fall, M., Peeker, R. & Delbro, D. bladder pain syndrome/interstitial cystitis ESSIC type 3C: high expression of inducible nitric oxide synthase in inflammatory cells. Scand J. Urol.47, 52–56 (2013).
Meeus, M., Nijs, J., Hermans, L., Goubert, D. & Calders, P. The role of mitochondrial dysfunctions due to oxidative and nitrosative stress in the chronic pain or chronic fatigue syndromes and fibromyalgia patients: peripheral and central mechanisms as therapeutic targets. Expert Opin Ther. Targets17, 1081–1089 (2013).
Maher, P. & Schubert, D. Signaling by reactive oxygen species in the nervous system. Cell Mol. Life Sci.57, 1287–1305 (2000).
Ibi, M. et al. Reactive oxygen species derived from NOX1/NADPH oxidase enhance inflammatory pain. J. Neurosci.28, 9486–9494 (2008).
Birder, L. A. et al. Purine nucleoside phosphorylase inhibition ameliorates age-associated lower urinary tract dysfunctions. JCI Insighthttps://doi.org/10.1172/jci.insight.140109 (2020).
Jackson, E. K., Gillespie, D. G. & Mi, Z. 8-aminoguanosine and 8-aminoguanine exert diuretic, naturetic, glucosuric, and antihypertensive activity. JPET359, 429–435 (2016).
Jackson, E. K., Menshikova, E. V., Ritov, V. B., Mi, Z. & Birder, L. A. 8-aminoinosine and 8-aminohypoxanthine inhibit purine nucleoside phosphorylase and exert diuretic and natriuretic activity. J. Pharmacol. Exp. Therapeut.382(2), 135–148 (2022).
Jackson, E. K., Tofovic, S. P., Chen, Y. & Birder, L. A. 8-aminopurines in the cardiovascular and renal systems and beyond. Hypertension80, 2265–2279 (2023).
Wolf-Johnston, A. et al. Purine nucleoside phosphorylase inhibition is an effective approach for the treatment of chemical hemorrhagic cystitis. JCI Insighthttps://doi.org/10.1172/jci.insight.17103 (2024).
Pacher, P., Beckman, J. S. & Liaudet, L. Nitric oxide and peroxynitrite in health and disease. Physiol. Rev.87, 315–324 (2007).
Jackson, E. K. et al. Suppressed renoprotective purines in COVID-19 patients with acute kidney injury. Sci. Rep.12, 17353. https://doi.org/10.1038/s41598-022-22349-z (2022).
Birder, L. A., Hanna-Mitchell, A. T., Mayer, E. & Buffington, C. A. Cystitis, co-morbid disorders and associated epithelial dysfunction. Neurourol. Urodyn.30, 668–672 (2011).
Kilpatrick, L. A. et al. Alterations in resting state oscillations and connectivity within sensory and motor networks in women with interstitial cystitis/painful bladder syndrome. J. Urol.192, 947–955 (2014).
Milne, G. L., Yin, H., Hardy, K. D., Davies, S. S. & Roberts, L. J. Isoprostane generation and function. Chem. Rev.111, 5973–5996 (2011).
Bortolotti, M., Politito, L., Battelli, M. G. & Bolognesi, A. Xanthine oxidoreductase: one enzyme for multiple physiological tasks. Redox Biol.https://doi.org/10.1016/j.redox.2021.101882 (2021).
Zimmermann, H., Zebisch, M. & Strater, N. Cellular function and molecular structure of ecto-nucleotidases. Purinergic Signal8, 437–502 (2012).
Dosch, M., Gerber, J., Jebbawi, F. & Beldi, G. Mechanisms of ATP release by inflammatory cells. Int. J. Mol. Sci.19, 1222 (2018).
Dwyer, K. M., Kishore, B. K. & Robson, S. C. Conversion of extracellular ATP into adenosine: a master switch in renal health and disease. Nat. Rev. Nephrol.16, 509–524 (2020).
Mohammad, A., Laboulaye, M. A., Shenhar, C. & Dobberfuhl, A. D. Mechanisms of oxidative stress in interstitial cysttis /bladder pain syndrome. Nat. Rev. Urol.https://doi.org/10.1038/s41585-023-00850-y (2024).
Koziol, J. A., Adama, H. P. & Frutos, A. Discrimination between the ulcerous and the nonulcerous forms of interstitial cystitis by noninvasive findings. J. Urol.155, 87–90 (1996).
Clemens, J. Q., Erickson, D. R., Varela, N. P. & Lai, H. H. Diagnosis and treatment of interstitial cystitis/bladder pain syndrome. J. Urol.208, 34–42 (2022).
Acknowledgements
The work was supported by the National Institutes of Health (R01 DK135076-01 and R01 HL109002 and a grant from the Mellon Foundation).
Author information
Authors and Affiliations
Contributions
L.A.B., E.K.J., J.S., and R.M. made substantial contributions to the conception and/or design of the work; A.W.J., L.A.B., E.K.J. and V.R. made substantial contributions to acquisition, analysis and interpretation of data; as well as preparation of figures; L.A.B., E.K.J., H.C.K., J.S. and R.M. drafted the work, and all authors approved the submitted version.
Corresponding author
Ethics declarations
Competing interests
L.A.B., A.W.J. and E.K.J. are listed as inventors on PCT application no. 62/877/220. The remaining authors declare no competing interests.
Additional information
Publisher’s note
Springer Nature remains neutral with regard to jurisdictional claims in published maps and institutional affiliations.
Rights and permissions
Open Access This article is licensed under a Creative Commons Attribution-NonCommercial-NoDerivatives 4.0 International License, which permits any non-commercial use, sharing, distribution and reproduction in any medium or format, as long as you give appropriate credit to the original author(s) and the source, provide a link to the Creative Commons licence, and indicate if you modified the licensed material. You do not have permission under this licence to share adapted material derived from this article or parts of it. The images or other third party material in this article are included in the article’s Creative Commons licence, unless indicated otherwise in a credit line to the material. If material is not included in the article’s Creative Commons licence and your intended use is not permitted by statutory regulation or exceeds the permitted use, you will need to obtain permission directly from the copyright holder. To view a copy of this licence, visit http://creativecommons.org/licenses/by-nc-nd/4.0/.
About this article
Cite this article
Birder, L.A., Wolf-Johnston, A., Ritov, V. et al. Purine nucleoside phosphorylase as a target for the treatment of interstitial cystitis/bladder pain syndrome with and without Hunner lesions. Sci Rep 14, 21898 (2024). https://doi.org/10.1038/s41598-024-73280-4
Received:
Accepted:
Published:
Version of record:
DOI: https://doi.org/10.1038/s41598-024-73280-4






