Abstract
Due to the limited hydrophobic properties of porcelain insulators, applying anti-pollution flashover coatings is crucial to enhance their functionality. This research outlines a classification system for assessing contamination levels on 22 kV porcelain insulators, both with and without coatings. It synthesizes six classification criteria derived through both numerical simulations and experimental studies to effectively gauge contamination severity. The study examined insulators treated with Room Temperature Vulcanizing (RTV) silicone under three different conditions: uncoated, partially coated, and fully coated. Additionally, the research assessed the effects of humidity on these polluted insulators to understand environmental impacts on their performance. The criteria, which are the flashover voltage (x1), fifth to third harmonics of leakage current (x2), maximum electric field (x3), total harmonic index (x4), insulation resistance (x5) and dielectric loss (x6), were proposed for evaluating the insulator’s string condition. The finite element method (FEM) was used to simulate an electric field. Then, based on the proposed criteria, the performances of the Random Forest (RF), Support Vector Machine (SVM), K-Nearest Neighbor (KNN), and Multi-layer Perceptron (MLP) have been trained and compared to classify polluted insulator conditions with and without coating. The established criteria facilitate precise monitoring of the condition of high-voltage insulators, ensuring quick and effective responses that support the stability of the electrical power system.
Similar content being viewed by others
Introduction
Over a century ago, porcelain insulators were utilized in the insulation of overhead distribution lines (Fig. 1). However, porcelain insulators are susceptible to electrical failure due to being exposed to heavy pollution. Consequently, porcelain insulators have been coated with room-temperature vulcanizing (RTV) compounds as an improved method to prevent flashover on contaminated surfaces of insulators1,2,3,4. However, the effectiveness of the insulation on insulators is greatly influenced by the coating process and the extent of the area covered. The extended operational life of coated insulators in polluted environments is attributable to the coating layer’s properties, which include resistance to pollution flashover and enhanced hydrophobicity5.
Several research studies have been conducted on insulator surfaces’ hydrophobicity and their uneven distribution. Notably, insulator aging has a significant effect on changing insulators’ hydrophobicity, especially in regions close to the terminals6, which are more exposed to different stresses such as corona and irradiation7. Therefore, the efficiency of insulators in minimizing pollution flashover can be significantly boosted through improved hydrophobicity of the insulator surface by using RTV coatings8. The authors in9 presented experimental findings on the application of two different silicone coatings, high-temperature vulcanizing (HTV) and room temperature vulcanizing (RTV), on silicon rubber insulators. Both coatings demonstrated significant indications of surface oxidation and hydrophobicity, in addition to, coatings maintained exceptional performance and minimal leakage currents throughout the investigation. In heavily contaminated regions, the contamination flashover impact on field-aged RTV coatings has been studied10. The findings of the study reported that even in extremely contaminated regions, RTV coatings demonstrated long-lasting immunity to pollution flashover. Additionally, the flashover voltage of porcelain insulators coated with epoxy resin and RTV silicon rubber as a function of non-soluble deposit density (NSDD) has been examined in11. RTV silicone rubber coating on insulators has been monitored based on active infrared thermography for detecting coating by defect12. However, the complex application of this method led to using computing methods and parameters which are easily measured as an alternative.
One of the most existing monitoring methods for high voltage insulators is leakage current (LC) measurement. Features extracted from LC effective addition to continued use of LC for monitoring insulators. Many characteristics have been extracted from LC such as mean, maximum, and the STD values13, harmonics and phase angle14. Finite element method (FEM) is also an effective technique widely used for simulating and optimizing high voltage insulators. In15, FEM results were used to optimize insulator’s profile using particle swarm optimization. The results stated that the FIRM can provide valuable information to optimize the insulator design. Additionally, the simulation electric field based on FEM is performed to optimal corona ring of string insulator16,17. Also, FEM has been utilized for describing the potential and electric field distribution18. In this study, the FEM was used to compute one of the proposed criteria (electric field) for evaluating coated insulators’ performance. Moreover, in a recent study, ceramic insulators that coated with RTV-SR coating were investigated using FEM in19. The outcome was the coating yielded a decrease in the maximum electric field under all conditions tested.
Varios techniguse have been employed to modeling monitored insulators parameters, such as regression methods for the prediction insulator conditions20. However, the linear and non-linear regression methodologies were restricted in their application to extremely short periods, as well as their flexibility, because the coefficients of regression changed constantly20. Machine learning (ML) algorithms have recently emerged as effective tools for classifying and predicting different sorts of data. Several investigations employing ML techniques were performed to predict and classification of high-voltage insulators by Stefenon et al.21,22,23. Recently, Classification based ML techniques were used to detect aging and pollution levels in24. The studies revealed that the utilization of ML methodology to monitor insulators yields noteworthy insights regarding the predicting of failure in the future. In addition, for the same aim, deep learning techniques (DL) such as Long Short-Term Memory (LSTM)25,26, Echo State Network27, EWT-Seq2Seq-LSTM with Attention28, and Enhanced Time Series model29 were proposed, which show the better perform when use a large data. Regarding RTV-coated insulators, authors in30 have used support vector machine (SVM) was to classify the RTV coating damage of glasses insulators. RTV coating properties have been investigated in a variety of works31,32. The coated insulators Insulators were classified using RUSBoost in20. However, studies on insulator conditions classification under RTV coating have been scarcely highlighted. According to the literature review, Table 1 displays the contributions and aspects stated in the previous literature as well as the current paper.
This study offers a classification-based evaluation of high-voltage-coated and uncoated 22 kV porcelain insulators with variable contamination severity. Numerical and experimental methods were used to obtain categorization criteria. Insulators coated with RTV were evaluated in both partial and complete coating conditions. A series of laboratory experiments were performed under AC voltage to measure essential electric parameters, which are voltage and current, for insulator under: uncoating (UC), partially coating (PC) and fully coating (FC). To assess the impact of coating on the enhancement of the insulator’s performance, six criteria were used: flashover voltage, fifth to third harmonics of leakage current, maximum electric field, Total harmonics index, Insulation resistance, and dielectric loss. Random Forest (RF), Support Vector Machine (SVM), K-Nearest Neighbor (KNN), and Multi-layer Perceptron (MLP) techniques33 were utilized to assess insulator conditions with and without RTV coating. The conditions of the insulators have been categorized based on pollution conductivity or ESDD, NSDD, and humidity levels into five classifications: clean, light, medium, heavy, and very heavy. This paper compares several machine learning algorithms based on categorization accuracy for training, testing, and total data.
Porcelain insulators used in the 22 kV distributions lines.
Method and materials
Characteristics of the RTV-coating
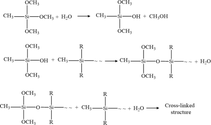
The most important feature for RTV coating is hydrophobicity. Hydrophobicity improved the insulators surface resistance against pollution flashover. Under room moisture, the RTV has been vulcanized. During the vulcanization process, the cross-linking reaction occurs after eliminating alcohol molecules. The RTV coating chemical formula under vulcanization is shown in Fig. 231. In terms of the mechanical and electrical properties of the RTV coating that was utilized in this study, the following data is provided: surface dry time: 27 min; dielectric strength: 24.7–25.3 kV/mm; cure time: 300 min; tensile strength: 3.951 MPa; solid content: 55.1%; tear strength: 15,200 N/m; shear strength: 3.574 mPa; and durability: 15 years when exposed to outdoor conditions34,35.
RTV chemical formula31.
Preparation samples
Strings of 22 kV AC voltage including two porcelain insulator discs type XP-70 were selected for this study. The selected insulators geometry: 146 mm height, 255 mm diameter, and 305 mm leakage distance (Fig. 3). The laboratory work was carried out in a high-voltage lab to measure the electrical characteristics of coated insulators. The output voltage and leakage current as well as flashover voltage of coated and uncoated Strings insulator were measured under different levels of pollution according to IEC 6050736. The insulation strings were coated fully and partially as presented in Fig. 3.
Test samples.
Regarding the contamination process, NaCl salt was utilized as soluble pollution, and the ESDD was measured accordingly. Kaolin was employed to denote insoluble pollutants, and then the NSDD was calculated based on its consideration. The samples were prepared as follows, following the IEC 60507 standard36: (1) Cleaning stage: The samples were thoroughly cleaned with alcohol-based cleaners and then left to dry naturally.; (2) Coating stage: RTV coating was sprayed on the sample surface following the needed profile (either fully or partly), and the samples were allowed to dry naturally for a period of 72 h; (3) Contamination stage: contaminants were set over the surface of the insulators artificially based on the solid layer method37,38,39,40; (4) Drying before the test: The contaminated insulator was left to dry naturally for approximately 48 h before testing. ESDD was determined using the specified Eq. (1)41:
σ20 denotes contamination layer conductivity at 20 degrees Celsius, S is an area of the insulator surface, σθ represents the volume conductivity at a temperature of θ °C, θ denotes the pollution solution temperature, and V is the volume of pollutants solution. Meanwhile, Eq. (2) is used to calculate NSDD:
where ws and wi represent the weight of filter paper with pollution and dry cases, respectively.
Experimental setup
To assess the rule of coating on the performance of porcelain samples through their electrical characteristics, all parameters should be evaluated under various noted conditions. To achieve this objective, a laboratory setting was established to conduct various tests. The overview of the test circuit diagram of the experiment setup is shown in Fig. 4. Investigations were conducted in an artificial fog chamber made of polycarbonate walls with 125 × 50 × 50 cm dimensions. A 0.220/100 kV, 5 kVA, 50 Hz transformer was used to supply insulators under test with required voltage. A humidifier was connected to the room test to provide humidity between 65% and 90%. A capacitive divider with a ratio voltage of 10,000:1 was set for measuring flashover voltage. Meanwhile, the leakage current can be measured depending on the voltage value across a 100 Ω shunt resistor connected in series with the insulator. The room test was provided with sensors to measure the internal humidity and temperature. The fog generator flow rate was set to 2.5 L/h throughout the test.
Experiment setup of the test setup. “A” insulator specimen, “B” transformer, “C” divider, “D” shunt resistor, “E” fog generator, and “F” test chamber.
Test procedure
To carry out laboratory test, due to RTV-coating effects on porcelain, contamination was deposited on the coated insulators according to IEC 60507 standard36. The pollution layer is made up of 40 g of kaolin and a suitable concentration of sodium chloride salt (NaCl) to obtain the required volume conductivity value. Then ESDD was calculated according to conductivity values as stated in Eq. (1). In this study, ESDD values were taken as 0.06 mg/cm2 (light), 0.12 mg/cm2 (moderate), 0.18 mg/cm2 (heavy) and 0.24 mg/cm2 (very heavy), and NSDD were 0.16 mg/cm2, 0.32 mg/cm2, and 0.58 mg/cm2. The testing was performed in a condition with three relative humidity levels of 65%, 80%, and 95%, a temperature of approximately 30 degrees Celsius, and an air pressure of 91.5 kPa. The conditions of the insulators have been categorized into five contamination levels based on pollutant conductivity or ESDD value: clean, light, medium, heavy, and very heavy.
The flashover voltage UF was measured using the up-and-down approach with 6% × predicted UF of the step voltage. The UF test was repeated 15 times at every 10-minute intervals to prevent interference between measurements. The average UF and its error σ% were calculated for 15 trials under each scenario using the formulae provided40.
where Ui denotes source voltage, ni number of tests with Ui, and N is the number of the total tests.
For measuring leakage current (LC), 0.7071 × 22 kV phase-to-ground voltage was applied. LC signal stored and analyzed using MATLAB software. In each step of applied voltage, the LC was captured, and the insulator surface resistance deduced based on Ohm’s law in Eq. (5),
Where Us is applied voltage. By measuring the angle phase between Us and LC signals, the dielectric loss can determine according to Eq. (6):
where φ is phase shift between applied voltage and LC. A total harmonics distribution (THD) can be calculated by using the Fast Fourier Transform (FFT) in the following equation:
where I1 is the fundamental component of LC, In is the LC component at order n, n is the harmonic order (2 < n < m), and m is the highest harmonic order.
Proposed features
To simplify and accurately diagnose RTV coating improvement in porcelain insulator performance, new indications must be proposed. In this paper, six features are introduced and detailed in Table 2. According to the results presented in the following sections, the proposed indices proved effective in diagnosing the performance of porcelain insulators-based coated with high accuracy.
Finite element method (FEM)
The electric field (E-Field) is the most essential parameter that reflects the insulator’s performance through the calculation of the flashover voltage gradient along the insulator. Accordingly, the electric field distribution on RTV-coated insulators was simulated in 2D axisymmetric model using FEM. The COMSOL Multiphysics 5.5 program was primarily intended for this computational task. The AC/DC physics electrostatic solver was used41. For the simulation, a 22 kV AC voltage was set as a high voltage source at the downside of the string (HV terminal), while the top side of the string was 0 kV (ground terminal).
The values of the permittivity and conductivity of the insulator materials, as well as the pollution layer and RTV coating, are tabulated in Table 3. The RTV coating layer was 1 mm thick, while the contamination layer was 2 mm. The E-field distribution (E) along the insulators string can be determined using gradient of potential (V) as,
To control permittivity and conductivity values of the materials, the governing Eq. (9) has been used.
where σ and ε represent the conductivity and permittivity of the insulator materials.
Results and discussion
Flashover voltage results
Flashover voltage UF of coated and uncoated insulator strings without pollution was evaluated. Figure 5 displays the UF results for the clean condition of insulators with different coating configurations: no-coating, partially coating, and fully coating. Figure 5 shows the UF reached its highest value, 97.47 kV, for insulators that were fully coated. In contrast, the UF value was lowest for the uncoated insulator, at 83.4 kV. Results indicate that RTV coating significantly enhances the performance of insulators. The calculated enhancement percentage due to the applied coating revealed a ΔV% of 10.79% for partially coated insulators and ΔV% of 16.9% for fully coated insulators, compared to uncoated insulators.
Clean insulator’s flashover voltage UF0 of under different coating configurations.
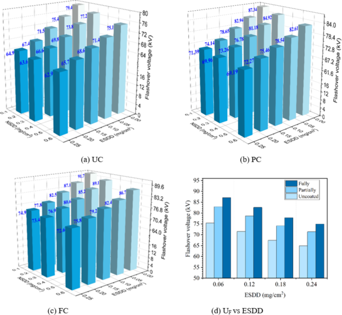
To evaluate the RTV coating influence on high-voltage porcelain insulator string performance, the flashover voltage of coated and uncoated insulators was tested under different severities of contamination level in terms of ESDD and NSDD with humidity. Figure 6 presents the UF results of the insulator under various ESDD and NSDD conditions at a consistent humidity level of 65%. The pollution formation on the insulator surface resulted in an increase in its conductivity. This fact resulted in leakage of a considerable current compared to the clean condition, which causes the flashover on the insulator’s surface. According to Fig. 6, the RTV coating shows a positive impact on the UF of a polluted insulator string.
The flashover voltage UF versus ESDD and NSDD for different coating profiles.
For example, when ESDD is 0.12 mg/cm2, NSDD is 0.32 mg/cm2, and humidity is 65%, the UF increased by 10% and 15.5% due to partial and full coating, respectively. There is no doubt that the increase in ESDD leads to a decrease in UF. As shown in Fig. 6 (D), under full coating condition, for instance, when ESDD increases from 0.06 mg/cm2 to 0.12 mg/cm2, 0.18 mg/cm2, and 0.24 mg/cm2, UF decreases from 87.09 kV to 82.58 kV, 77.85 kV and 74.96 kV, respectively. Consequently, using UF as an indicator to classify insulator conditions in the presence of pollution is important. Table 4 introduces the UF data under varying ESDD, NSDD, humidity and coating profile.
Leakage current results
The leakage current (LC) of the three string insulators with different coating profiles were measured at four ESDD levels and three levels for both NSDD and humidity. LC signals in time and frequency domains have been analyzed using MATLAB analyzer to obtain x2, x4, and x5. An applied voltage signal was used to derive the x6 indicator, which is the phase shift angle between LC and Us in the time domain. The results of LC in both the time and frequency domain under ESDD of 0.12 mg/cm2, NSDD of 0.58 0.12 mg/cm2, and humidity of 65% for the respective UC, PC, and FC (as a representative sample) are illustrated in Fig. 7. From Fig. 7 due to LC outcomes, the LC is directly affected by the coating presence, the LC magnitude decreases with the increase in coating area on the insulator surface. For instance, when the ESDD is 0.12 mg/cm2, the NSDD is 0.58 mg/cm2, and the humidity is 80%, the LC value of the uncoated insulator resulted in 56.1 mA, while the LC values were 38.6 mA and 26.7 mA for the partially and fully coated insulators, respectively. Compared to insulators that are not coated at all, the LC drops by 31.04% for partially coated insulators and 52.33% for full-coated insulators under the same conditions as depicted in Fig. 7. Leakage current results under varying ESDD, NSDD, humidity and coating profile are listed in Table 4. Table 5 shows that the LC magnitude changes in the presence of pollution i.e. (ESDD, NSDD), humidity, and coating, which increases with increase in ESDD, NSDD, and humidity, decreases with the presence of a coating layer, and continues to reduce with increased coating area on the insulator surface. This suggests that the electrical conductivity of the insulator surface rises dramatically in the presence of contaminants, while the coating could reduce the insulator surface’s conductivity even when contaminated, resulting in a lower value of LC.
Leakage current of insulator when ESDD = 0.12 mg/cm2, NSDD = 0.58 mg/cm2 and humidity = 65% under different coating profiles: (a) UC, (b) PC, and (c) FC.
Electric Field results
In this section, the third indicator is presented, which is electric field, results extracted using FEM are presented. The simulation aimed to identify the electric field for the suggested coating layers. Figure 8 shows the electric field distribution under the recommended coating patterns. According to Fig. 8, the highest electrical field strengths were visualized in the region between the pin and cup and the nearby area of the insulator electrodes. The color density in Fig. 8 reflects the strength of the field within and surrounding the insulator’s pole. The lowest E-field was detected at the shed’s far end due to almost nil charges.
E-Field of samples with selected RTV coating configurations.
Figure 9 illustrates the distribution of E-field along the porcelain insulator string with and without RTV coating scenarios. As mentioned above, the density of the electric field is high surrounding the electrodes. When samples without RTV coating are compared to those with coating, it is visualized that coating causes the electric field to minimize, as shown in a full coating profile. With the reduction of the coating area, the electric field increased.
Electric field distribution of insulators with and without RTV coating under ESDD = 0.12 mg/cm2, NSDD = 0.58 mg/cm2 and humidity = 65%.
Indicators results
Due to the minimal impact of NSDD on the change in index values, the indices have been displayed at various levels for both contamination and humidity. They are shown with a constant NSDD value of 0.58 mg/cm² for uncoated, partially coated, and fully coated insulators, as illustrated in Fig. 10. The minimal influence of NSDD compared to the ESDD relates to the fact that the NSDD isn’t directly connected to electrical conductivity, hence its effect on electrical parameters is slight compared to the ESDD in presence of Humidity45. As shown in Fig. 10, the indices indicate variations in contamination levels. Specifically, with certain humidity levels, x1, x2, and x5 decrease as pollution severity rises, while x3, x4, and x6 increase. In addition to the contamination effect, the humidity boosts the effect of the indices in the same trend as the pollution effect. In other words, the rising contamination and humidity increase electrical conductivity on the insulator surface, resulting in a decreasing flashover voltage (x1) under all coating conditions (UC, PC, and FC). On the contrary, increasing the coating area decreases surface conductivity due to increased surface hydrophobicity, leading to an increased flashover voltage. Figure 10 (a) shows that x1, for example, decreases by 36.23% when ESDD increases from 0 to 0.24 mg/cm2 at 65% humidity and FC; decreases by 11.52% when humidity increases from 65 to 95% under 0.24 mg/cm2 ESDD and FC; and increases by 36.78% when coating area changes from UC to FC under 0.24 mg/cm2 ESDD and 65% humidity. Similarly, Fig. 10 (b) shows x2 reduced by 33.73% when ESDD increased from 0 to 0.24 mg/cm2 at 65% humidity and FC; decreased by 12.17% when humidity increased from 65 to 95% under 0.24 mg/cm2 ESDD and FC; and increased by 42.88% when coating area changed from UC to FC under 0.24 mg/cm2 ESDD and 65% humidity. Also, Fig. 10 (e) shows x5 dropped by 51.64% when ESDD increased from 0 to 0.24 mg/cm2 at 65% humidity, and FC; dropped by 12.51% when humidity increased from 65 to 95% under 0.24 mg/cm2 ESDD and FC; and rose by 13.12% when coating area changed from UC to FC under 0.24 mg/cm2 ESDD and 65% humidity. In contrast, as shown in Fig. 10 (c), (d), and (f), the increasing ESDD from 0 to 0.24 mg/cm2 at 65% humidity and FC caused the growth of x3 by 31.32%, x4 by 33.43%, and x6 by 27.21%; increasing humidity from 65 to 95% under 0.24 mg/cm2 ESDD and FC caused rising of x3 by 21.46%, x4 by 20.55%, and x6 by 17.11%; changing coating area from UC to FC caused decreasing of x3 by 38.12%, x4 by 37.96%, and x6 by 21.78%.
RTV coatings enhance the hydrophobicity of the insulator surface. This hydrophobicity helps to prevent the formation of a continuous water film in the presence of humidity, reducing the conductivity of the insulator surface and thus lowering the probability of flashover. in addition, the RTV coating helps keep conductive paths from forming by assisting in the separation of water droplets in wet regions. Dust, salt, and industrial pollutants are examples of contaminants that accumulate on the insulator surface at high contamination levels. When these pollutants are coupled with moisture, surface conductivity rises dramatically. RTV coatings contribute to the encapsulation of pollutants, the preservation of the hydrophobic surface, and the reduction of conductive pathways that may otherwise result in flashover46. As it is noted from Fig. 10, RTV-coating has the opposite impact on the insulator, which can improve the insulator performance in the presence of pollution and humidity, this is reflected in the indices trend. As shown in Fig. 10, indications depict the effective variation caused by the RTV coating applied. RTV-coating correlates well with the suggested criteria, which has a substantial influence on them.
The experimental findings established the range of the proposed criteria to meet insulator conditions. Table 6 presents the insulator’s condition based on experimentally measured indicator values, with the border range of these indicators defined through experimental validations.
Proposed monitoring indicators as function with ESDD, humidity and coating profiles.
The optimal machine learning classifier to identify the insulator conditions was tested by classifying the insulator conditions using four different classifiers based on the acquired criteria. Using MATLAB’s software, the selected models were trained using the gathered data. 20% of the data was used as test data and 80% was training data for each model. The classification models are trained using the selected features. These models learn the known patterns (target data) within the data and then can make predictions on new, unseen instances.
Evaluation models
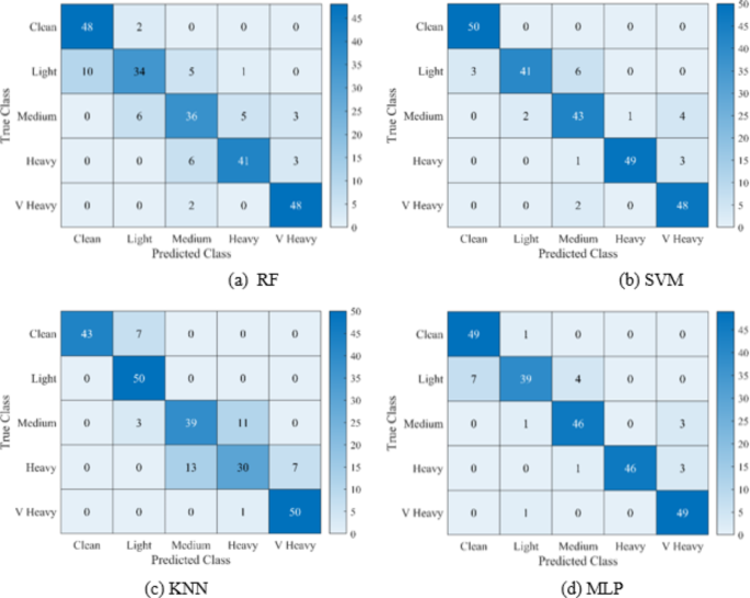
For evaluating the performance of classifiers, the confusion matrix is provided. Figures 11, 12 and 13 show the confusion matrix for each classifier under each coating profile. According to the confusion matrices shown in Figs. 11, 12 and 13, the SVM outperforms the other classifiers in all coating cases. Figure 14 displays the accuracy of classification techniques achieved from tenfold cross-validation. The SVM accuracy was reached to 96.4% with uncoated insulators data, 93.6% with partial coated insulators and 90.4% with full coated insulators. By comparison between accuracy of the implementation classifiers with uncoated insulators data, the SVM was the best by 96.4% following MLP by 90.8%, KNN by 90.4% and RF 89.6%. Consistent with the results, it is clear that the selected classifiers have been able to detect the insulator conditions with high accuracy more than 85% with errors not exceeding 5% in the presence of the proposed features.
It can see that the SVMs outperform alternative classifiers like RF, MLP, and KNN in predicting insulator performance at varying levels of pollution and humidity. SVM performs better than other methods for a number of reasons. Firstly, it works well with complex data sets that have a variety of characteristics, such as coating profiles, humidity, and contamination levels. The SVM technique has a hyperplane in these high-dimensional spaces with the high margin between categories, which improves its performance. The second key feature is SVM has the kernel trick that makes SVMs perform non-linear classification in high dimensions. Different types of kernels, like radial basis functions (RBF) or polynomials, can make SVM adaptable to various data structures and distributions.
The confusion matrix of proposed algorithms for non-coated insulator.
The confusion matrix of proposed algorithms for particle coated insulator.
The confusion matrix of proposed algorithms for full coated insulator.
The accuracy of the proposed models.
Evaluating models’ performance is pivotal in assessing the effectiveness and reliability of the predictive algorithms employed. In addition to accuracy, other metrics such as recall (Re), precision (Pr), and the F1 score (F1) were used for a more comprehensive evaluation. Mathematically, accuracy is calculated as the ratio of the number of correctly classified instances to the total number of instances considered. Recall, also known as sensitivity or true positive rate, focuses on the classifier’s ability to capture all positive instances within the dataset. Precision, on the other hand, evaluates the accuracy of positive predictions made by the classifier. It represents the proportion of true positive instances among all instances predicted as positive, providing insight into the classifier’s precision in identifying positive instances. The F1-score, often considered a harmonic mean of precision and recall, offers a balanced assessment of a classifier’s performance. It considers both precision and as well as recall, providing a single metric that combines their strengths. These criteria are expressed as follows:
where TP,FP and FN represent the true positive, false positive, and false negative, respectively. Table 7 represents the accuracy, recall, precision, and F1 score of the used algorithms with the proposed features and the classification based on experiment data for full coated samples as an example. From Table 7 values, it is observed that the proposed classifiers have better classification performance compared to classification based on the experiment data directly. Furthermore, the findings highlight using the suggested criteria helps accurately in classifying various insulators with and without coating.
Notably, the data variance of coating profiles impacts the performance of insulator classifiers. The main cause of this fluctuation is variations in the conductivity and hydrophobicity of the surface brought about by the presence and thickness of silicone RTV coating. Uncoated insulators lack hydrophobic properties, making them more susceptible to contaminants and moisture accumulation in uniform film approximately, resulting in less variance in the data. As a result, classifiers’ performance on data from uncoated insulators often shows lower variability. On the contrary, partially coated insulators have parts that are still bare, offering partial hydrophobic protection. These zones cause nonuniform accumulated pollution and humidity on the insulator surface, the overall surface conductivity is more varied than that of uncoated samples. This partial protection leads to more variance in the captured data, reflected in the moderate predictive accuracy of classifiers trained on PC insulator data.
Conclusions
This work investigated the impact of RTV coating on the performance of the porcelain insulator string using both observed experimentation and numerical analytical approaches. The effect of varying pollution and humidity levels, with and without RTV-coating, on different electrical parameters, has been tested to extract six indices for diagnosing the condition of the 22 kV porcelain strings. The obtained results from experimental tests and theoretical analysis are represented as follows.
-
1.
The experimental and numerical results demonstrated that contamination and humidity have a significant effect on the proposed criteria. With pollution and humidity increments, the values of x1, x2, and x5 showed a subsiding trend and on the other hand the value of x3, x4, and x6 escalating trend.
-
2.
RTV coating has a great effect on the enhancement of insulator performance, especially in the full coating profile case, which is proved by the results of the suggested indicators. For example, indicator x1 (flashover voltage) shows improvement by 10% and 15.5% due to partial and full coating, respectively.
-
3.
The suggested indicators are professionally able to forecast pollution levels (insulator conditions) with and without coating based on the findings that were obtained. MATLAB classification has been used to study the performance of the suggested indices using four machine learning algorithms: RF, SVM, KNN and MLP.
-
4.
The classification process’s result shows that the SVM model performs better than the other models. With uncoated insulator data, SVM accuracy with the recommended features appeared to be 96.4%; with partially coated insulator data, as 93.6%; and with totally coated insulator data, as 92.4%.
-
5.
Based on the assessment matrices’ findings, the classification models demonstrate superior performance compared to classifications based solely on experimental data.
Data availability
The datasets used and/or analysed during the current study available from the corresponding author on reasonable request.
Change history
31 January 2025
A Correction to this paper has been published: https://doi.org/10.1038/s41598-025-87357-1
References
Taghvaei, M., Sedighizadeh, M., NayebPashaee, N. & Fini, A. S. Reliability assessment of RTV and nano-RTV-coated insulators concerning contamination severity. Electr. Power Syst. Res. 191, 106892 (2021).
Marzinotto, M., Mazzanti, G., Cherney, E. A. & Pirovano, G. An innovative procedure for testing RTV and composite insulators sampled from service in search of diagnostic quantities. IEEE Elect. Insul. Mag. 34, 27–38 (2018).
Taghvaei, M., Sedighizadeh, M., NayebPashaee, N. & Fini, A. S. Thermal stability of nano RTV vs. RTV coatings in porcelain insulators. Therm. Sci. Eng. Prog. 20, 100696 (2020).
Majid Hussain, M., Farokhi, S., McMeekin, S. G. & Farzaneh, M. Contamination performance of high voltage outdoor insulators in harsh marine pollution environment. In Proceedings of the IEEE 21st International Conference on Pulsed Power (PPC), Brighton, UK, 18–22 June 2017, 1–6 (2017).
George, J. M. et al. Field experience and laboratory investigation of glass insulators having a factory-applied silicone rubber coating. IEEE Trans. Dielectr. Electr. Insul. 21, 2594–2601 (2014).
Ahmadi-Joneidi, I., Majzoobi, A., Shayegani-akmal, A. A., Mohseni, H. & Jadidian, J. Aging evaluation of silicone rubber insulators using leakage current and flashover voltage. Analysis 20(1), 212–220 (2013).
Lan, L. et al. The influence of pollution accumulation on coating aging of UHV line insulators with different suspension height in coal-ash polluted area. Arch. Electr. Eng. 69, 39–56 (2020).
Ibrahim, M. E., Sabiha, N. A. & Izzularab, M. A. Nanofilled nonlinear coating material for improving proactive flashover performance of high voltage insulators. IEEE Trans. Dielectr. Electr. Insul. 21(5), 2156–2163 (2014).
Su, H., Jia, Z., Guan, Z. & Li, L. Durability of RTV-coated insulators used in subtropical areas. IEEE Trans. Dielectr. Electr. Insul. 18, 767–774 (2011).
Gao, H., Jia, Z., Guan, Z., Wang, L. & Zhu, K. Investigation on field-aged RTV-coated insulators used in heavily contaminated areas. IEEE Trans. Power Del. 22, 1117–1124 (2007).
Ilomuanya, C. S., Farokhi, S. & Nekahi, A. Electrical power dissipation on the surface of a ceramic insulator under pollution condition. In Proceedings of the IEEE Conference on Electrical Insulation and Dielectric Phenomena (CEIDP), Cancun, Mexico, 21–24 October 2018, 199–202 (2018).
Liu, L. et al. Health monitoring of RTV silicone rubber coating on insulators based on multimode features of active infrared thermography. IEEE Trans. Instrum. Meas. 71, 1–9 (2022).
Li, J., Sima, W. & Sun, C. Use of leakage currents of insulators to determine the stage characteristics of the flashover process and contamination level prediction. IEEE Trans. Dielectr. Electr. Insul. 17(2), 490–501 (2010).
Salem, A. A. et al. Leakage current characteristics in estimating insulator reliability: experimental investigation and analysis. Sci. Rep. 12, 1–21 (2022).
Stefenon, S. F. et al. Particle swarm optimization for design of insulators of distribution power system based on finite element method. Electr. Eng. 104, 615–622 (2022).
Diaz-Acevedo, J. A., Escobar, A. & Grisales-Noreña, L. F. Optimization of corona ring for 230 kV polymeric insulator based on finite element method and PSO algorithm. Electr. Power Syst. Res. 201, 107521 (2021).
Al-Karawi, S. & Al-Taie, A. Superhydrophobic coating for enhancing porcelain insulators performance under pollution conditions, E-Prime - adv. Electr. Eng. Electron. Energy 8, 100515 (2024).
Nouir-Masmoudi, H., Kaddeche, S., Dhahbi-Megriche, N. & Beroual, A. Collocation spectral method for numerical computation of electric potential distribution along polluted insulator. IEEE Trans. Dielectr. Electr. Insul. 32(6), 2714–2723 (2023).
Aziz, E., Aouabed, F., Abdellah, H. & Dineva, A. Case study: optimizing grading ring design for high voltage polymeric insulators in power transmission systems for enhanced electric field and voltage distribution by using a finite element method. Energies 16(23), 5235 (2023).
de Santos, H. & Sanz-Bobi, M. A machine learning approach for condition monitoring of high voltage insulators in polluted environments. Electr. Power Syst. Res. 220, 109340 (2023).
Stefenon, S. F., Yow, K. C., Nied, A. & Meyer, L. H. Classification of distribution power grid structures using inception v3 deep neural network. Electr. Eng. 104, 4557–4569 (2022).
Stefenon, S. F. et al. Analysis of training techniques of ANN for classification of insulators in electrical power systems. IET Gener. Transm. Distrib. 14, 1591–1597 (2020).
Stefenon, S. F. et al. Electrical insulator fault forecasting based on a wavelet neuro-fuzzy system. Energies 13, 1–19 (2020).
Khodsuz, M. & Zamani, S. A. Novel criteria for silicone rubber insulators condition monitoring based on leakage current analysis: considering asymmetric aging and pollution. Eng. Appl. Artif. Intell. 133, 108175 (2024).
Zhao, H., Sun, S. & Jin, B. Sequential Fault diagnosis based on LSTM Neural Network. IEEE Access. 6, 12929–12939 (2018).
Nguyen, T. P., Yeh, C. T., Cho, M. Y., Chang, C. L. & Chen, M. J. Convolutional neural network bidirectional long short-term memory to online classify the distribution insulator leakage currents. Electr. Power Syst. Res. 208, 107923 (2022).
Stefenon, S. F. et al. Echo state network applied for classification of medium voltage insulators. Int. J. Electr. Power Energy Syst. 134, 107336 (2022).
Klaar, A. C. R., Stefenon, S. F., Seman, L. O. & Mariani, V. C. L. dos S. Coelho, Optimized EWT-Seq2Seq-LSTM with attention mechanism to insulators fault prediction. Sensors 23, 3202 (2023).
Sopelsa Neto, N. F., Stefenon, S. F., Meyer, L. H., Ovejero, R. G. & Leithardt, V. R. Q. Fault prediction based on leakage current in contaminated insulators using enhanced time series forecasting models. Sensors 22, 6121 (2022).
Salem, A. A., Lau, K. Y., Abdul-Malek, Z. & Tan, C. W. Classifying insulator conditions of room temperature vulcanized coated glass insulators under different coating damage modes. Meas. J. Int. Meas. Confed. 194, 111032 (2022).
Wu, X. et al. Effect of vulcanization temperature and humidity on the properties of RTV silicone rubber. IOP Conf. Ser. Mater. Sci. Eng. 207, 012011 (2017).
Isa, M. et al. Characteristics of RTV coating on ceramic insulator. In Proceedings of the IEEE International Conference on Automatic Control and Intelligent Systems, Selangor, Malaysia, 29 June 2019, 114–117 (2019).
Khodsuz, M., Teymourian, M. H. & Seyyedbarzegar, S. New criteria for metal oxide surge arrester condition monitoring based on leakage current analysis: considering non-uniform pollution effect. IET Gener. Transm. Distrib. 18(5), 1072–1089. https://doi.org/10.1049/gtd2.13123 (2024).
Ullah, I., Akbar, M. & Khan, H. A. Degradation analysis of RTV-SiR based composites under both polarities DC voltage for insulators coating. Mater. Today Commun. 29, 102890 (2021).
Yamamoto, H. et al. IEC 5000 h multi-stress test on polymeric insulators. In Proceedings of 2005 International Symposium on Electrical Insulating Materials, (ISEIM 2005). IEEE (2005).
Artificial Pollution Tests on High-Voltage Ceramic and Glass Insu-lators to be Used on A.C. Systems, 3rd ed., Standard IEC 60507; International Electrotechnical Commission, Geneva, Switzerland (2013).
Salem, A. A., Abd-Rahman, R., Al-Gailani, S. A., Kamarudin, M. S. & Salam, Z. The leakage current components as a diagnostic tool to estimate contamination level on high voltage insulators. IEEE Access 8, 92514–92528 (2020).
Salem, A. A. et al. Risk assessment of polluted glass insulator using leakage current index under different operating conditions. IEEE Access 8, 175827–175839 (2020).
Arshad, A., Ahmad, J., Tahir, A., Stewart, B. G. & Nekahi, A. Forecasting flashover parameters of polymeric insulators under contaminated conditions using the machine learning technique. Energies 13, 1–16 (2020).
Salem, A., Abd-Rahman, R., Ghanem, W., Al-Gailani, S. & Al-Ameri, S. Prediction flashover voltage on polluted porcelain insulator using ANN. Comput. Mater. Contin. 68, 3755–3771 (2021).
Ahmed, R. et al. Field-dependent pollution model under polluted environments for outdoor polymeric insulators. Polymer (Basel) 14(3). https://doi.org/10.3390/polym14030516 (2022).
Bueno-Barrachina, J. M., Ye-Lin, Y., Nieto-del-Amor, F. & Fuster-Roig, V. Inception 1D-convolutional neural network for accurate prediction of electrical insulator leakage current from environmental data during its normal operation using long-term recording. Eng. Appl. Artif. Intell. 119, 105799 (2023).
De Santos, H. & Sanz Bobi, M. A. A cumulative pollution index for the estimation of the leakage current on insulator strings. IEEE Trans. Power Deliv. 35, 2438–2446 (2020).
He, S. et al. Intelligent prediction of 110 kV insulator lightning flashover criteria based on random forest. Electr. Power Syst. Res. 232, 110423 (2024).
Ren, A., Li, Q. & Xiao, H. Influence analysis and prediction of ESDD and NSDD based on random forests. Energies 10, 1–19 (2017).
Chen, J., Chen, J., Li, L., Wang, S. & Xie, Y. Study on the self-cleaning phenomenon and anti-pollution flashover performance of micro-nanostructure superhydrophobic coating surface under a high humidity environment. Colloids Surf. Physicochem. Eng. Asp. 630, 127552 (2021).
Acknowledgements
The authors extend their appreciation to Taif University, Saudi Arabia, for supporting this work through the project number (TU-DSPP-2024-14) and to Ministry of Higher Education (MoHE) Malaysia through the Higher Institution Centres of Excellence (HICoE) Grant (R.J130000.7823.4J620) and by Universiti Teknologi Malaysia (UTM) through the Professional Development Research University Grant (Q.J130000.21A2.07E25).
Funding
This research was funded by Taif University, Taif, Saudi Arabia (TU-DSPP-2024-14).
Author information
Authors and Affiliations
Contributions
Ali Ahmed Salem: Writing- Original draft preparation. Ali Ahmed Salem, Samir Ahmed Al-Gailani, Abdulrahman Ahmed Ghaleb Amer: Conceptualization, Methodology, Software, Visualization, Investigation, administration, Project Supervision, Resources. Mohammad Alsharef, Razali Ngah, Sherif S. M. Ghoneim, Mohit Bajaj, Ievgen Zaitsev: Data curation, Validation, Supervision, Resources, Writing - Review & Editing.
Corresponding authors
Ethics declarations
Competing interests
The authors declare no competing interests.
Additional information
Publisher’s note
Springer Nature remains neutral with regard to jurisdictional claims in published maps and institutional affiliations.
The original online version of this Article was revised: The original version of this Article contained an error in the name of Razali Ngah, which was incorrectly given as Razli Ngah.
Rights and permissions
Open Access This article is licensed under a Creative Commons Attribution-NonCommercial-NoDerivatives 4.0 International License, which permits any non-commercial use, sharing, distribution and reproduction in any medium or format, as long as you give appropriate credit to the original author(s) and the source, provide a link to the Creative Commons licence, and indicate if you modified the licensed material. You do not have permission under this licence to share adapted material derived from this article or parts of it. The images or other third party material in this article are included in the article’s Creative Commons licence, unless indicated otherwise in a credit line to the material. If material is not included in the article’s Creative Commons licence and your intended use is not permitted by statutory regulation or exceeds the permitted use, you will need to obtain permission directly from the copyright holder. To view a copy of this licence, visit http://creativecommons.org/licenses/by-nc-nd/4.0/.
About this article
Cite this article
Salem, A.A., Al-Gailani, S.A., Amer, A.A.G. et al. Classification of RTV-coated porcelain insulator condition under different profiles and levels of pollution. Sci Rep 14, 22759 (2024). https://doi.org/10.1038/s41598-024-73520-7
Received:
Accepted:
Published:
Version of record:
DOI: https://doi.org/10.1038/s41598-024-73520-7
















