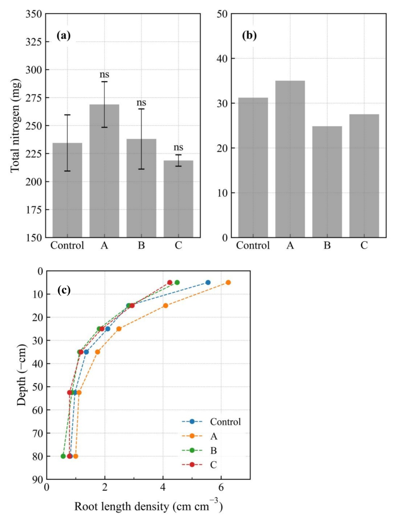
Fig. 1

Total nitrogen (a) in aboveground, (b) in the roots, and (c) distribution of root length density with depth. Control: no biochar; A: surface application; B: plow layer application; C: subsurface application. The average values are based on three replicates for the aboveground parts and two replicates for the roots. The letters ns indicate a non-significant difference compared with the control. Error bar indicates the standard error (n = 3).