Abstract
Nitrogen leaching, resulting from the inefficient use of fertilizers, pollutes the environment, such as groundwater. Biochar can be applied to farmlands to mitigate nitrogen leaching. The effect depends on the application depth. However, the effect has not been examined under crop-farming conditions. Evaluating the interactions between biochar application depth and crop growth is indispensable for considering depth in the actual field. To address this, we conducted a pipe experiment with four treatments, no biochar (control), surface (0–5 cm), plow layer (0–30 cm), and subsurface (25–30 cm) applications, and compared the results with no-crop conditions from a previous study. Biochar application depth affected soil NO3−−N and NH4+−N absorption ability and also influenced soil-water stress conditions, affecting crop growth. Surface biochar application improved nitrogen absorption and reduced soil-water stress, improving crop growth. The NO3−−N leaching was reduced to 87.7%. Plow layer application worsened nitrogen absorption and resulted in frequent dry stress in the shallow-soil layer, preventing root growth in this layer. The NO3−−N and NH4+−N leaching increased 106.4% and 264.1%, respectively. The effects of subsurface application were similar to those in the control. Selecting an appropriate application depth can simultaneously improve crop growth and reduce nitrogen leaching.
Similar content being viewed by others
Introduction
Nitrogen contamination (in the form of reactive nitrogen, comprising all nitrogen compounds except N2) is considered a severe environmental problem. By exceeding the Earth’s systems thresholds, nitrogen contamination puts current and future living organisms at risk1. Since the development of the Haber–Bosch process, massive amounts of nitrogen have been applied to farmlands as fertilizer, increasing crop yields2. However, this has led to the inefficient use of nitrogen, causing its loss to the environment via volatilization and leaching, harming both the environment and human health3. Addressing this problem in agriculture holds promise for solving these issues, because agricultural use accounts for a large part of the nitrogen load in the environment4. 50% of the nitrogen applied in agricultural production in the European Union (EU) is not taken up by crops but is released into the environment5,6.
The primary component of agricultural nitrogen fertilizers is ammonium nitrogen (NH4+−N), which is converted into nitrate nitrogen (NO3−−N) via nitrification. Because most soils contain more negatively charged sites than positively charged sites, NO3−−N leaches more readily than NH4+−N and pollutes water bodies such as groundwater. This problem is severe on subtropical/tropical islands; first because the earth on these islands primarily comprises limestone, which is highly permeable to water7, and second because sugarcane, the primary industry of these islands, has low fertilizer-use efficiency8. NO3−−N leaching affects drinking water quality, putting humans at risk3, and degrades coral, which plays a significant role in maintaining regional biodiversity9,10. Therefore, mitigation of leaching is urgently required on these islands.
Biochar, which is made from biomass in an oxygen-limited environment with low temperature (< 800 °C), is used in farmlands for carbon sequestration11 and a promising measure to mitigate NO3−−N leaching. Biochar can, for instance, physically trap NO3−−N and NH4+−N and chemically bind them via functional groups on the biochar surface12,13. This improves the physical and chemical properties of the soil14,15,16 and nitrogen use efficiency (NUE)13 by the slow release of NO3−−N. Moreover, biochar positively affects crop yield; for example, Liu et al.17 reported an increase in rice yield and NUE after biochar application. The properties and effects of biochar differ depending on the feedstock, pyrolysis temperature, and other factors18,19. Many studies have evaluated the effects of biochar application rates20 and suggested their cost-effectiveness21. Biochar application depth also affects soil-water movements such as evaporation and infiltration, as well as NO3−−N leaching22,23. Hamada et al.23 conducted a pipe experiment without crops, using the same amount of bagasse biochar in each pipe, evaluating the effects of surface (0–5 cm), plow layer (0–30 cm), and subsurface (25–30 cm) biochar applications. Their results revealed that the water budget (soil-water evaporation, amount of water in the pipe, and drainage) and consequently NO3−−N leaching varied with biochar application depth. The study indicated that selecting an appropriate application improves biochar application efficiency.
Biochar application alters crop-root development (distribution and length) and total biomass yield24. Moreover, the uptake of water and nitrogen by crop root varies depending on soil-water conditions25,26. Therefore, changes in soil water conditions induced by biochar application depth would alter crop-root development and water and nitrogen intake, and different crop conditions would enhance/mitigate the effect of biochar application depth. However, no study has evaluated the effect under crop-farming conditions. Hence, it is necessary to evaluate the effect of biochar application depth under crop-present conditions and understand the mechanism driving this effect, as this is indispensable to implementing biochar application in actual fields.
We aimed to evaluate the interactions between biochar application depths and crop growth and their effect on nitrogen leaching and understand the mechanism driving this effect. We conducted a pipe experiment using upland rice under four experimental conditions: no biochar, surface, plow layer, and subsurface applications. By comparing the findings with those of a previous study23, we attempted to elucidate the mechanisms by distinguishing the effect of application depth and differences in crop growth. We hypothesized that (a) the difference in water budget, associated with biochar application depth, would affect soil-water stress conditions, water and nitrogen uptake by crop, and consequently, crop growth; and (b) the trend in NO3−−N leaching under crop growth would differ from that observed in the absence of crop growth reported by Hamada et al.23
Materials and methods
Pipe experiment
The pipe experiment (Supplementary Fig. S1) was conducted from January 12, 2022, to April 13, 2022 (91 days) in a glass room at 23 °C and 70% average humidity at the Tropical Agriculture Research Front (TARF), Japan International Research Center for Agricultural Sciences (24°22ʹ43ʺ N; 124°11ʹ43ʺ E). The experiment was designed based on a previous study23. Four treatments were used: no biochar, surface (0–5 cm; treatment A), plow layer (0–30 cm; treatment B), and subsurface (25–30 cm; treatment C) applications. The applied biochar was mixed with soil in each treatment. We used commercially sold biochar (Fujimibussan Co., Ltd., Shizuoka, Japan), made of sugarcane bagasse with a pyrolysis temperature of 800 °C. The applied soil is classified as Dystric Cambisol according to the World Reference Base for Soil Resources27. The biochar was 2 mm-sieved, and the soil was 6 mm-sieved. The chemical properties of the soil and biochar are illustrated in Supplementary Tables S1 and S2.
We used vinyl chloride pipes with a diameter of 20 cm and height of 100 cm. Each pipe had a valve at the bottom for drainage control. We applied four treatments with five replicates of each. The soil bulk density was set to 1.25 g cm− 3 in each pipe. The amount of applied biochar was the same among treatments A, B, and C (10 t ha− 1). Biochar content rates (expressed as weight ratios) in the biochar amendment layer were 1.57% for treatments A and C, and 0.26% for treatment B. To pack soil as uniformly as possible in the pipes, we added soil while tapping constantly and gently. To prevent preferential flow, we saturated the soil before the experiment. The valves were fully opened after the saturation and during the experiment. Surface irrigation was conducted every two or three days using tap water. The amount of water for each irrigation was 17 mm (550 mL pipe− 1). We determined the amount and times of irrigation based on precipitation data from the local meteorological observatory (24°20ʹ N; 124°09ʹ E) managed by the Japan Meteorological Agency (located 5.6 km southwest of the experiment location). We supplied fertilizer powder on three occasions: KH2PO4 and (NH4)2SO4 on January 12, 2022, and (NH4)2SO4 on February 14 and March 14, 2022. Each fertilizer was applied to the soil surface before irrigation. When irrigating, we watered carefully to dissolve all the fertilizer. The total amount of applied nitrogen was set to 600 kg N ha− 1 to ensure NO3−−N leaching.
Upland rice (NERICA 4) was planted at the center of each pipe. The NERICA varieties were bred by AfricaRice using an interspecific cross of Asian (Oryza sativa) and African (Oryza glaberrima) rice28,29), registered as a variety; therefore, no permission was necessary for research uses. Before the experiment, upland rice seeds were immersed in water for a day and then incubated in a humid box under dark conditions for 1 week at 25 °C. Three germinated seeds per pipe were carefully planted around the center of the pipe on January 11, 2022. Two plantlets were removed from each pipe on February 7, 2022.
Sampling and measurement
Soil moisture sensors (TEROS12; METER Group, Pullman, WA, USA) and samplers (DIK-301B; Daiki Rika Kogyo Co., Kounosu, Japan) were installed in all pipes (five replicates per treatment) at depths of 10, 20, 35, and 80 cm. Drainage was collected from all pipes before each irrigation, and the weight of the drainage was measured. The concentration of NO3−−N and NH4+−N in soil solution and drainage was measured using the Auto Analyzer III (BL TEC K. K., Tokyo, Japan).
The height of the crops was measured as the length between surface of the ground and the tip of the topmost fully expanded leaf. Crop height per pipe was measured every 2 weeks for all pipes. After the pipe experiment, we counted the number of tillers for each crop and collected the aboveground parts (five replicates). The roots were collected from three pipes per treatment. Sampling depths were 0–10, 10–20, 20–30, 30–40, 40–65, and 65–95 cm. Using the method proposed in Murakami et al.30, the roots were separated from the soil and root length density was determined in each soil layer. Aboveground parts and roots were dried for 1 week at 70 °C, then dry matter weight and total nitrogen (TN) were measured using an NC analyzer (NC 220 F; Sumika Chemical Analysis Service, Ltd., Tokyo, Japan).Undisturbed and disturbed soils were collected at depths of 5, 30, and 55 cm from three pipes per treatment to evaluate the soil water retention curve and saturated soil hydraulic conductivity, as well as NO3−−N, NH4+−N and TN content.
NUE was estimated using crop body TN, fertilizer nitrogen applied, and NO3−−N and NH4+−N amount in the soil. Soil NO3−−N and NH4+−N were obtained by multiplying the weight of the soil column in the pipes by the NO3−−N and NH4+−N content of the initial soil. The NO3−−N and NH4+−N contents in the no-biochar treatment and biochar-amended soils under treatments A and C, and treatment B, respectively, were considered in the calculation.
Dunnett’s test was conducted to evaluate the significance of differences from the control with a significance threshold of p < 0.05 and p < 0.01. As per the methods of Hamada et al.23, the maximum and minimum values for drainage, NO3−−N and NH4+−N leaching, crop height, and TN in the aboveground parts were first removed from the data before analysis, and data from three replicates were used for each analysis. It is worth noting that the test to the root and volumetric water content could not be conducted because there were only two replicates.
Conversion of volumetric water content into matric potential head and estimation of soil-water stress
We considered soil-water stress conditions (dry and wet) because these conditions reduce water and nitrogen uptake by the plant25,26, thus reducing crop growth31,32. To evaluate soil-water stress, which also affect the root distribution, we converted θ into matric potential head (h) using the van Genuchten model33.
where θres and θsat denote the residual and saturated volumetric water content (cm3 cm− 3), respectively, and α (cm− 1), n (–), m (= 1 − 1/n), and λ (= 0.5) are the empirical shape factors. The empirical shape factors were first obtained by fitting the model to each measured soil-water retention curve, then used to convert the measured θ to h. The curves were applied at a depth of 5 cm to θ at a depth of 10 cm, at a depth of 30 cm to θ at depths of 20 and 35 cm, and at a depth of 55 cm to θ at a depth of 80 cm. Wet stress was considered to occur at h > − 10 cm34, and dry stress at h ≤ − 1.0 × 103.0 cm, based on Miyazaki and Nishimura35. We did not consider h < − 1.0 × 104.2 cm (the permanent wilting point) because crops cannot absorb soil water after that point36. Water uptake was considered to decrease at values above the wet threshold and below the dry threshold, based on Feddes et al.37 This assumption is conventionally applied25.
Nutrient budget and water balance
The nutrient budget was estimated by the following procedures: (i) logarithmic regression was conducted to the observed TN, which was collected from three depths (5, 30, and 55 cm), to obtain the distribution of TN with depth. (ii) we assumed that because of surface irrigation, the soil bulk density was changed with depth; we thus changed the soil bulk density linearly from 1.15 to 1.35 g cm− 3 with depth. (iii) the amount of TN was calculated in every 1–2 cm soil column and obtained for the whole soil column. The soil TN was converted into soil NO3−−N and NH4+−N by logarithmic regression of NO3−−N/TN and NH4+−N/TN with depth using the observed contents of NO3−−N and NH4+−N in soil. The amounts of NO3−−N and NH4+−N in the soil column were estimated by multiplying the amount of TN with NO3−−N/TN and NH4+−N/TN in each depth.
Water balance was calculated the same method as Hamada et al.23 The average θ, average cumulative amount of drainage, and amount of irrigation were used. To estimate the amount of water in each pipe, we assumed that the sensors at depths of 10, 20, 35, and 80 cm represent soil layers with heights of 15, 15, 20, and 45 cm, respectively. The sensor values were multiplied by the soil layer volumes. Evapotranspiration was calculated by subtracting the amount of water in pipe and drainage from the amount of irrigation.
Results
Crop height
Crop height was greater in treatment A than in the control, although non-significantly (Table 1): On February 21, crop height was only 0.4 cm higher in treatment A than in the control, with larger differences on March 14 and 28 (3.8 and 3.9 cm, respectively), and a smaller difference on the final day (1.8 cm). Under treatment B, crop height was higher than that in the control until March 14, when the largest difference was observed (2.9 cm); on March 28, however, crop height was larger in the control; and on the final day, the height was nearly the same in these groups. Under treatment C, from January 27 to February 21, crop height was slightly higher than that in the control (by 1–0.8 cm), and on March 14, it was 1.9 cm higher than that in the control; however, after March 14, it was higher in the control, reaching 2.0 cm higher on the final day. The final-day crop heights were the greatest in treatment A; less and equal in the control and treatment B, respectively; and lowest in treatment C. Tiller number was the highest in treatment A but the same for the other treatments (Table 1).
Nitrogen intake
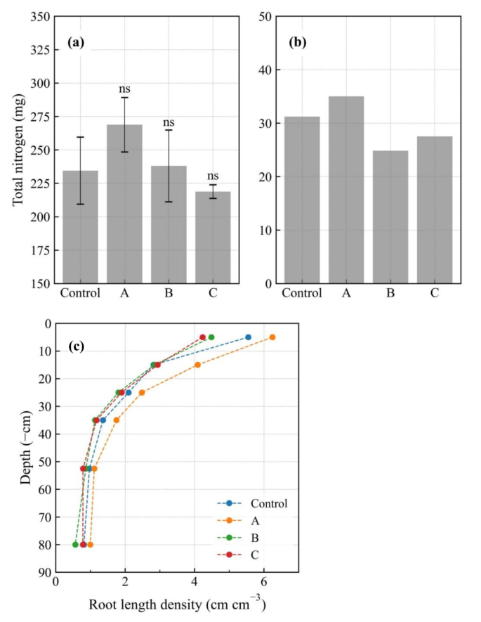
The differences among the treatments in aboveground TN were the same as those for crop height (Fig. 1a). In treatment A, final-day aboveground TN was 114.7% that of the control; for treatments B and C, these factors were 101.5% and 93.3%, respectively. Aboveground TN was the highest in treatment A, as a result of both increased crop height and tiller number. Relative to the control, root TN was 112.1%, 79.6%, and 88.1% in treatments A, B, and C, respectively (Fig. 1b), in contrast to trends observed for crop height and aboveground TN. The average crop TN (aboveground + root) was 265.7, 363.8, 262.8, and 246.3 mg for the control and treatments A, B, and C, respectively. NUE was 12.4%, 14.1%, 12.1%, and 11.4% for the control and treatments A, B, and C, respectively, which were similar to the NUE reported by Liu et al.17
Total nitrogen (a) in aboveground, (b) in the roots, and (c) distribution of root length density with depth. Control: no biochar; A: surface application; B: plow layer application; C: subsurface application. The average values are based on three replicates for the aboveground parts and two replicates for the roots. The letters ns indicate a non-significant difference compared with the control. Error bar indicates the standard error (n = 3).
Distribution of root length density with depth
The total root lengths were 52,473, 63,915, 44,428, and 45,752 cm (100.0%, 121.8%, 84.7%, and 87.2%) in the control and treatments A, B, and C, respectively. Similarly, the treatments differed in terms of root distribution with depth (Fig. 1c). At all depths, root length density was higher in treatment A than in the control, at 112.5–145.3% of the control value. The largest difference (1.3 cm cm− 3) was found at a depth of 10–20 cm. In treatments B and C, root length density tended to be lower than that in the control at all depths except 10–20 cm; at a depth of 0–10 cm, relative to the control, root length density was 1.1 cm cm− 3 smaller (at 80.9%) in treatment B and 1.3 cm cm− 3 smaller (at 76.3%) in treatment C, which exhibited the largest difference. In treatment B, root length density was the lowest in the deepest soil layer, at 69.4% that of the control.
Soil water and nitrogen movement
Temporal changes in soil-solution NH4 +−N and NO3 −−N
Under all treatments at depths deeper than 20 cm, the concentration of dissolved NH4+−N was < 2.5 mg L–1, varying little among the treatments (data not shown). Variability in NH4+−N concentration among treatments was high at a depth of 10 cm (Fig. 2a). NH4+−N concentration increased with the number of fertilizer applications: for all treatments, it was < 30 mg L–1 after one application, reaching 5–100 and 45–160 mg L–1 after two and three applications, respectively. With an increase in the number of applications, the differences in NH4+−N concentration between the treatments increased; after three applications, it was higher in treatments A–C than in the control.
Temporal changes in the concentration of (a) dissolved NH4+−N at a depth of 10 cm and (b) dissolved NO3−−N. Control: no biochar; A: surface application; B: plow layer application; C: subsurface application. The vertical red dashed lines indicate fertilizer application. The average values of three replicates are shown. Error bar indicates the standard error (n = 3).
Before application three, NO3−−N concentration was < 5.0 mg L–1 in all treatments, differing little among the treatments (Fig. 2b). NO3−−N concentration increased after application three, as did the difference among the treatments. In the control, NO3−−N concentration increased notably with fertilizer application only at a depth of 10 cm; at the other depths, it remained < 10 mg L–1. In treatments A and B, NO3−−N concentration increased with fertilizer application at depths of 10 and 20 cm. At a depth of 20 cm, it increased faster in treatment A than in treatment B. Treatment C exhibited the smallest increase in NO3−−N concentration at a depth of 10 cm, with an increase at a depth of 20 cm.
Soil NO3 −−N, NH4 +−N and TN content
Variability in soil NO3−−N and NH4+−N content was the highest in the shallowest soil layer (Table 2). On the final day, the NO3−−N content in the control and treatments A and C in the shallowest soil layer was double its initial value, whereas in treatment B, it was almost the same as the initial value. At depths deeper than 30 cm, NO3−−N content after the experiment was lower than the initial value in all treatments, reaching ca. 50%.
Soil NH4+−N showed the same variability as soil NO3−−N. The final NH4+−N content in the shallowest soil layer was 2.5–4.5 times higher than the initial value. Soil NH4+−N content was highest in treatment C and lower in the control, followed by treatment B, and was lowest in treatment A. The increase in soil NH4+−N was higher than that in soil NO3−−N because soil can hold cations more easily than anions. By contrast, at depths deeper than 30 cm, the final-day values were 0.2–0.4 times the initial values. The fact that NH4+−N is held by the soil more strongly than NO3−−N explains why it did not migrate to the deeper soil as much as NO3−−N. This difference contributes to the smaller final/initial ratio of NH4+−N than of NO3−−N in the deeper soil layer.
Soil TN content was the highest in the shallowest soil layer and decreased with depth. However, unlike the NO3−−N and NH4+−N content, TN content in soil increased at all depths, indicating immobilization.
Temporal changes in volumetric water content
Before March 10, 2022, the changes in θ over time were similar at all depths (Fig. 3). By contrast, after March 10, the minimum values of θ gradually decreased at depths of 10–30 cm. At a depth of 80 cm, θ was low after April 1, 2022. These reductions indicated root growth and increased water uptake. The treatments exhibited different trends θ with depth. Relative to the control, θ at a depth of 10 cm was the same in treatment A, while it was higher in treatment A at depths of 20 and 35 cm. In treatment B, θ at a depth of 10 cm was smaller than that in the control, whereas it was the same as in the control at depths of 20 and 35 cm. In treatment C, θ was almost the same as that in the control.
Soil physical properties (the soil water retention curve and saturated soil hydraulic conductivity) showed no significant differences among the treatments (Supplementary Fig. S2 and Supplementary Table S3).
Matric potential head
The matric potential head, h, converted from the measured θ (Fig. 3), exhibited differences among the treatments (Fig. 4). The average soil water retention curve was applied at a depth of 30 cm (averaged among all the treatments) to θ at depths of 20 and 35 cm, and the average curves at a depth of 55 cm (averaged among all the treatments) to θ at a depth of 80 cm, because the curves in each depth were almost identical. The van Genuchten parameters and applied soil water retention curves are presented in Supplementary Table S4 and Supplementary Fig. S2.
Temporal change in matric potential head at each depth. Control: no biochar; A: surface application; B: plow layer application; C: subsurface application. The matric potential head was converted from the volumetric water content (measured using TEROS12 soil moisture sensors) using soil water retention curves. The curves were obtained using the van Genuchten equation and the measured curve. The red and blue areas indicate the dry and wet stress ranges, respectively.
Among all treatments, h at a depth of 10 cm decreased after March 18, 2022. In treatment A, h before March 18 was primarily between − 10 and − 100 cm, causing no water stress for the crop. Treatment A showed the lowest frequency of h < − 1.0 × 103.0 cm, causing dry stress. Treatments B and C exhibited lower h at a depth of 10 cm than the control, and h tended to be lower in treatment B than in treatment C. In treatment B, h was less than − 1.0 × 104.2 cm (the permanent wilting point) more frequently than that in the other treatments after March 11, 2022, followed by treatment C. At a depth of 80 cm, the h value of treatment B tended to be higher than − 10 cm, indicating that treatment B resulted in wet stress at this depth.
Drainage and leaching from pipes
NO3−−N and NH4+−N leaching differed among the treatments (Fig. 5a and b). Relative to the control, cumulative NO3−−N leaching was significantly smaller in treatment A, at 87.7% (p < 0.01), significantly larger in treatment B, at 106.4% (p < 0.05), and the same in treatment C, at 97.8%. Cumulative NH4+−N leaching exhibited different variability, being the same in treatments A, C, and the control and 2.6 times greater in treatment B than in the control.
Cumulative (a) leaching of NO3−−N and (b) NH4+−N (c) drainage in the experiment, and (d) relationship between NO3−−N leaching and total nitrogen in roots. Control: no biochar; A: surface application; B: plow layer application; C: subsurface application. **, * and ns indicate a significant difference (p < 0.01 and p < 0.05) and a non-significant difference compared with the control. Error bars indicate the standard error (n = 3).
Drainage exhibited different variability to nitrogen leaching, although with no significant differences among treatments (Fig. 5c). Relative to the control, drainage was 97.1%, 97.2%, and 98.7% in treatments A, B, and C, respectively.
Relationship between NO3 −−N leaching and root nitrogen
NO3−−N leaching was clearly related to root TN (Fig. 5d). Treatment A, which had the lowest NO3−−N leaching, had the highest root TN. Treatment B showed the opposite relationship, whereas treatment C and the control showed intermediate results. Based on these findings, having a greater root volume improved the crop’s capacity to absorb NO3−−N.
Nutrient budget and water balance
The TN in the soil at the end of the experiment was higher than that in the initial condition, indicating nitrogen absorption in the soil (Table 3a). Conversely, NO3−−N and NH4+−N in the soil decreased at the end of the experiment. This indicated that inorganic nitrogen in the soil was reduced by leaching or immobilization, whereas TN increased. Regarding inorganic nitrogen, treatment A showed the highest NO3−−N and NH4+−N, whereas treatment B had the second highest NO3−−N but the smallest NH4+−N (Table 3a). The ratio of NO3−−N and NH4+−N at depths of 0–30 cm with those at depths of 0–95 cm were 51%, 76%, 39%, and 59% and 87%, 89%, 85%, and 89% for the control and treatments A − C, respectively. This indicated that under treatment A, inorganic nitrogen tended to be in the shallow soil layer, whereas NO3−−N and NH4+−N under treatment B tended to move to deeper soil layers. The ratio of leached NO3−−N and NH4+−N and inorganic nitrogen in 0–95 cm depth were 95%, 71%, 114%, and 100% under the control and treatments A − C, respectively. This indicated that treatment A improved the absorption ability of NO3−−N and NH4+−N, mitigating leaching, while treatment B enhanced leaching. Overall, treatment C showed the same result as the control.
The amounts of water in the pipe were almost the same among the control and treatments A and C (Table 3b). Treatment B showed the highest amount of water because of higher θ at 80 cm depth, which represented 40 cm soil layer: the value might be overestimated. Evapotranspiration was the highest under treatment A followed by treatment B.
Discussion
Differences in the effects of biochar application depth in the absence and presence of the crop
Effects on soil water conditions
The differences between the treatments in θ were similar in our current findings (including the crop) and reported findings in no-crop condition23. The surface application of biochar (treatment A) caused a reduction in soil-water evaporation; thus, soil moisture in the deeper soil layers (20–35 cm depth) remained high; by contrast, plow layer biochar application (treatment B) caused soil-water evaporation to increase, thus, causing a reduction in soil moisture in the shallow soil layer (10 cm depth)23. The findings of the present study were similar (Fig. 3). Hamada et al.23 reported that subsurface biochar application (treatment C) induced a hydraulic barrier effect; this may explain the higher maximum θ and greater variability in θ at a depth of 10 cm observed in the present study. Here, the maximum θ in treatment C tended to be slightly higher (by 0.02 cm3 cm− 3) than in the control before February 14, 2022, potentially owing to the hydraulic barrier effect, although the increase was smaller than that previously reported23. However, after March 14, θ in treatment C became similar to that in the control. Presumably, the crop roots reached the biochar-amended soil layer close to or on that the day, affecting the soil pore structure, thus removing the effect of the hydraulic barrier. Nonetheless, this comparison reveals that the differences among the treatment in θ was affected predominantly by the biochar application depth.
Effects on nitrogen dynamics
In terms of NH4+−N and NO3−−N dynamics, our findings differ from those of Hamada et al.23. Dissolved NH4+−N content tended to be higher in the presence of the crop than without it (Supplementary Fig. S3), and soil NH4+−N content was smaller than that in Hamada et al.23 (Supplementary Table S5). Crops that receive NH4+−N fertilizer release H+ ions into the soil38. Here, soil NH4+−N was released via ion exchange, increasing the concentration of dissolved NH4+−N; this increase occurred after one fertilizer application (Fig. 2a), earlier than that previously reported23. For the control, Hamada et al.23 reported a higher dissolved NH4+−N concentration immediately after fertilizer application three (Supplementary Fig. S3). The soil in their study might have been saturated with NH4+−N by fertilizer application two; therefore, supplied NH4+−N by fertilizer application three directly dissolved in the soil solution. In the present study, root-induced release of NH4+−N did not lead to the soil becoming saturated with it.
Here, the concentration of NO3−−N in the soil solution tended to be lower than that in the previous study23 (Supplementary Fig. S4). Similarly, the soil NO3−−N content was lower here than previously reported (Supplementary Table S5) and lower than the initial value (Table 2). These differences reflect NO3−−N uptake by the crop. Here, treatments A and B exhibited different changes over time in NO3−−N at depths of 10 and 20 cm. NO3−−N is released slowly by biochar-amended soil13. Here, biochar addition to the surface soil layer caused the slow release of NO3−−N, thus, increasing dissolved NO3−−N content (Fig. 2b). NO3−−N was released faster from the soils in the other treatments (control and treatment C) than from the biochar-amended soil (treatments A and B), and the downward movement of NO3−−N might reduce the concentration of dissolved NO3−−N in the upper layer (Fig. 2b). However, this is not conclusive, as we performed sampling at relatively few depths and times. This should be evaluated in future simulation studies.
In summary, the nitrogen dynamics were altered by the presence of the crops, indicating that crops play a significant role in nitrogen dynamics.
Effects on drainage and nitrogen leaching
In the absence of the crop, drainage was significantly lower in treatment B than in the other treatments23: the increase in soil evaporation induced a reduction in drainage. Here, however, no significant differences in drainage were observed between the treatments (Fig. 5c). This indicates that the effect of treatment B (the reduction in drainage) was mitigated by crop presence. Because crop root growth was low in treatment B (Fig. 1b and c), water uptake by the crop was low, potentially masking the effect of biochar application in the plow layer. The smaller root growth in this treatment also led to an increase in NO3−−N leaching (Fig. 5d). Presumably, the lower root length density in the shallow soil layer (Fig. 1c) led to less efficient use of surface-supplied nitrogen, significantly increasing NH4+−N leaching (Fig. 5b). In Hamada et al.23, drainage increased in treatment A owing to reduced soil evaporation. By contrast, here, drainage tended to be lower in treatment A than in the other treatments (Fig. 5c). Treatment A exhibited the highest crop root growth (Fig. 1b and c) and water uptake. This high water uptake induced a decrease in drainage, which was not observed in the absence of crop. The higher water uptake induced by the better root growth also explains the reduction in NO3−−N leaching (Fig. 5d). Relative to the control, treatment C exhibited almost the same drainage and NO3−−N leaching (Fig. 5a and c). Here, even in the presence of the crop, subsurface application of biochar had a negligible effect, as observed in Hamada et al.23
These results indicate that the change in θ was affected primarily by biochar application depth. By contrast, nitrogen dynamics, drainage, and leaching were affected by the presence of the crops and differences in crop growth.
Effects of soil-water stress on crop growth
Water balance estimation indicated that the evapotranspiration was higher in treatments A and B than in the others (Table 3b). Based on h condition and the effect of biochar application depth reported by Hamada et al.23, the high evaporation was owing to the increase in transpiration in treatment A but increase in evaporation in treatment B.
In treatment A, at all depths, h tended to remain in the no-stress range, indicating that treatment A generated less stress than the control (Fig. 4). This positively affected crop root growth (Fig. 1b), leading to increased root length density at all depths (Fig. 1c) and aboveground growth (Table 1; Fig. 1a), giving this treatment the highest NUE. In treatment B, dry stress occurred frequently, with h reaching the dry stress range before each irrigation (Fig. 4), preventing root growth in the surface soil layer and leading to a smaller root length density than in the control (Fig. 1c). After March 11, treatment B h at a depth of 10 cm was frequently less than − 1.0 × 104.2 cm, and crop height was lower than that in the control (Table 1), indicating an adverse effect of dry stress on crop growth. Although the soil physical properties did not differ significantly among the treatments, wet stress occurred in the bottom soil layer in treatment B, leading to a low root length density (Fig. 1c). However, we were unable to identify the reason for this wet stress. In general, soil physical properties can be determined via laboratory experiments; nonetheless, a 100 mL sample does not always represent the soil layer (e.g. Nakamura et al.39), and parameter calibration using a simulation model is effective for evaluating soil-water movement40. Therefore, in future studies, calibration should be conducted to explain the occurrence of wet stress. In treatment C, dry stress occurred frequently in the shallow soil layers. The lower root length density in the shallow soil layer indicated that dry stress prevented root growth in treatment C. Interestingly, dry stress at a depth of 10 cm occurred less frequently in treatment C than in treatment B; however, aboveground growth tended to be smaller in treatment C than in treatment B. This implies that another factor affects root growth. By contrast, the dissolved NO3−−N content (Fig. 2b) tended to be high in treatment B and low in treatment C, potentially affecting crop growth. This aspect should be evaluated in future studies.
These findings indicate that soil-water stress varied with biochar application depth, affecting root growth and consequently aboveground growth.
Effect of biochar application depth on NO3 −−N and NH4 +−N leaching under crop present condition
The nutrient budget for TN revealed that TN in soil increased and the degree was higher in the control and treatment B than in the other two treatments (Table 3a). However, regarding NO3−−N and NH4+−N, the trends were different. The estimation of NO3−−N and NH4+−N in soil indicated that their absorption abilities improved in treatment A, and more than 75% remained at 0–30 cm depth, mitigating leaching. Moreover, crop nitrogen intake was considered the highest in treatment A, further reducing leaching. By contrast, in treatment B, NO3−−N and NH4+−N moved to the deeper soil layers (30–95 cm) rather than remaining at 0–30 cm depths, increasing NO3−−N and NH4+−N leaching (Fig. 5a and b). The crop growth condition promoted the adverse effect on the leaching. The amounts of NO3−−N and NH4+−N were higher in treatment C than in the control at 0–30 cm; however, this had little effect on leaching.
Our results showed that biochar application depth affected the absorption ability of NO3−−N and NH4+−N in soil and soil-water stress conditions, consequently affecting crop growth, which could enhance the mitigation of leaching. Biochar application at 0–5 cm depths showed the maximum effect on the mitigation of leaching and improvement of crop growth.
We note some limitations of this study. Soil sampling points were scarce; therefore, a more intense sampling or simulation is necessary to comprehensively evaluate NO3−−N and NH4+−N content in soil. Moreover, we evaluated root growth using only two replicates and, thus, could not apply statistical tests. Moreover, biochar acts as a nitrification inhibitor41,42. To comprehensively understand its effects, the effects of biochar application depth on nitrogen leaching and nitrogen loss as gas (e.g., as N2O) should be examined.
Conclusion
A pipe experiment was conducted to evaluate the interactions between biochar application depth and crop growth and their effect on nitrogen leaching and understand the mechanism driving the interaction. Biochar application depth affected NO3−−N and NH4+−N absorption ability. Moreover, the application depth changed soil-water stress conditions, thus, affecting crop growth. After surface biochar application, NO3−−N and NH4+−N absorption improved, and they tended to remain at 0–30 cm depths. Soil-water stress tended to be low owing to the reduction in soil-water evaporation, improving crop growth. These two changes reduced NO3−−N leaching. After plow layer biochar application, NO3−−N and NH4+−N absorption worsened, and they tended to move to 30–95 cm depths. Moreover, the resulting increase in soil-water evaporation caused dry stress in the shallow soil layer. This prevented crop root growth in this soil layer, causing less aboveground crop growth and nitrogen uptake. These changes increased NO3−−N and NH4+−N leaching. Finally, subsurface biochar application had little effect relative to the no biochar application. To comprehensively understand the effect of biochar application depth, future studies should evaluate the distribution of NO3−−N and NH4+−N in soil by dense soil sampling or simulation. Nitrogen loss as gas should also be investigated to better understand this effect. Based on our findings, we believe that selecting the appropriate biochar application depth is likely to promote agriculture sustainability.
Data availability
Data is provided within the manuscript or supplementary information files.
References
Rockström, J. et al. Safe and just earth system boundaries. Nature. 619, 102–111. https://doi.org/10.1038/s41586-023-06083-8 (2023).
Oita, A., Shibata, H. & Shindo, J. Nitrogen footprint: a novel indicator to quantify nitrogen loss to the environment. J. Life Cycle Assess. Japan. 14, 120–133. https://doi.org/10.3370/lca.14.120 (2018).
UNEP Emerging issues of environmental concern. Frontiers. 2018/19, Nairobi (2019).
Eguchi, S. & Hirano, N. Mitigation potential of reactive nitrogen loss to the environment by improving Japanese consumers’ dietary life and future predictions along with the United Nations SDGs scenario. J. Soil. Sci. Plant. Nutr.90, 32–46. https://doi.org/10.20710/dojo.90.1_32 (2019).
Sutton, M. A. et al. Too much of a good thing. Nature. 472 (7342), 159–161. https://doi.org/10.1038/472159a (2011).
UNEP. Bend the trend – Pathways to a Liveable Planet as Resource use Spikes (International Resource Panel, 2024).
Okamoto, K., Goto, S., Anzai, T. & Ando, S. Effects of reducing the nitrogen application rate on the growth of sugarcane and nitrogen leaching. Res. Trop. Agric.13, 57–67. https://doi.org/10.11248/nettai.13.57 (2020).
Anzai, T. et al. Utilization of nitrogen fertilizer in the early growth stage of sugarcane and leaching of nitrate-nitrogen: a case study on Negros Island, the Philippines. Trop. Agric. Dev.61, 184–193. https://doi.org/10.11248/jsta.61.184 (2017).
Hoegh-Guldberg, O. Climate change, coral bleaching and the future of the world’s coral reefs. Mar. Freshw. Res.50, 839–866 (1999).
Hoegh-Guldberg, O. et al. The Coral Triangle and Climate Change: Ecosystems, People and Societies at Risk (WWF Australiz, 2009).
Lehmann, J. & Joseph, S. Biochar for Environmental Management: Science, Technology and Implementation (Routledge, 2015).
He, Z. et al. Effects of biochar particle size on sorption and desorption behavior of NH4+-N. Ind. Crops Prod.189, 115837. https://doi.org/10.1016/j.indcrop.2022.115837 (2022).
Joseph, S. et al. Microstructural and associated chemical changes during the composting of a high temperature biochar: mechanisms for nitrate, phosphate and other nutrient retention and release. Sci. Total Environ.618, 1210–1223. https://doi.org/10.1016/j.scitotenv.2017.09.200 (2018).
Kameyama, K., Miyamoto, T., Iwata, Y. & Shiono, T. Effects of biochar produced from sugarcane bagasse at different pyrolysis temperatures on water retention of a calcaric dark red soil. Soil. Sci.181, 20–28. https://doi.org/10.1097/SS.0000000000000123 (2016).
Singh, H., Northup, B. K., Rice, C. W. & Prasad, P. V. V. Biochar applications influence soil physical and chemical properties, microbial diversity, and crop productivity: a meta-analysis. Biochar. 4, 8. https://doi.org/10.1007/s42773-022-00138-1 (2022).
Wang, C. et al. Biochar-based slow-release of fertilizers for sustainable agriculture: a mini review. Environ. Sci. Ecotechnol. 10, 100167 (2022).
Liu, Y. et al. A quantitative review of the effects of biochar application on rice yield and nitrogen use efficiency in paddy fields: a meta-analysis. Sci. Total Environ.830, 154792. https://doi.org/10.1016/j.scitotenv.2022.154792 (2022).
Kinney, T. J. et al. Hydrologic properties of biochars produced at different temperatures. Biomass Bioenergy. 41, 34–43. https://doi.org/10.1016/j.biombioe.2012.01.033 (2012).
Tomczyk, A., Sokołowska, Z. & Boguta, P. Biochar physicochemical properties: pyrolysis temperature and feedstock kind effects. Rev. Environ. Sci. Biotechnol.19, 1–215. https://doi.org/10.1007/s11157-020-09523-3 (2020).
Kameyama, K., Miyamoto, T., Shiono, T. & Shinogi, Y. Influence of sugarcane bagasse-derived biochar application on nitrate leaching in calcaric dark red soil. J. Environ. Qual.41, 1131–1137. https://doi.org/10.2134/jeq2010.0453 (2012).
Li, Y. et al. Optimum biochar application rate for peak economic benefit of sugar beet in Xinjiang, China. Agric. Water Manag. 272, 107880. https://doi.org/10.1016/j.agwat.2022.107880 (2022).
Al-Omran, A., Ibrahim, A. & Alharbi, A. Evaluating the impact of combined application of biochar and compost on hydro-physical properties of loamy sand soil. Commun. Soil. Sci. Plant. Anal.50, 2442–2456. https://doi.org/10.1080/00103624.2019.1667371 (2019).
Hamada, K., Nakamura, S., Kanda, T. & Takahashi, M. Effects of biochar application depth on nitrate leaching and soil water conditions. Environ. Technol. 1–12. https://doi.org/10.1080/09593330.2023.2283403 (2023).
Liu, B., Li, H., Li, H., Zhang, A. & Rengel, Z. Long-term biochar application promotes rice productivity by regulating root dynamic development and reducing nitrogen leaching. GCB Bioenergy. 13, 257–268. https://doi.org/10.1111/gcbb.12766 (2020).
Hamada, K. et al. Effect of hardpan on the vertical distribution of water stress in a converted paddy field. Soil. Tillage Res.214, 105161. https://doi.org/10.1016/j.still.2021.105161 (2021).
Nahar, K. & Gretzmacher, R. Effect of water stress on nutrient uptake, yield and quality of tomato (Lycopersicon esculentum Mill.) under subtropical conditions. Die Bodenkultur. 53, 45–51 (2002).
FAO. World reference base for soil resources 2014. (2015).
Ikeda, R., Sokei, Y. & Akintayo, I. Seed fertility of F1 hybrids between upland rice NERICA cultivars and Oryza sativa L. or O. Glaberrima Steud. Breed. Sci.59, 27–35. https://doi.org/10.1270/jsbbs.59.27 (2009).
Majerus, V., Bertin, P. & Lutts, S. Effects of iron toxicity on osmotic potential, osmolytes and polyamines concentrations in the African rice (Oryza glaberrima Steud). Plant. Sci.173, 96–105. https://doi.org/10.1016/j.plantsci.2007.04.003 (2007).
Murakami, T., Yamada, K. & Yoshida, S. Improved method for easy and rapid determination of root length of vegetables. J. Soil. Sci. Plant. Nutr.45, 471–478. https://doi.org/10.1080/00380768.1999.10409361 (1999).
Contreras, S. M. & Ozawa, K. Hardpan effect on sugarcane transpiration, growth and yield. J. Agric. Meteorol.61, 23–28. https://doi.org/10.2480/agrmet.61.23 (2005).
Osakabe, Y., Osakabe, K., Shinozaki, K., Tran, L. S. & Response of plants to water stress. Front. Plant. Sci.5, 86. https://doi.org/10.3389/fpls.2014.00086 (2014).
van Genuchten, M. Th. A closed-form equation for predicting the hydraulic conductivity of unsaturated soils. Soil. Sci. Soc. Am. J.44, 892–898. https://doi.org/10.2136/sssaj1980.03615995004400050002x (1980).
Wesseling, J. G., Elbers, J. A., Kabat, P. & den Broek B. J. SWATRE: Instructions for Input (Internal Note, Winand Staring Centre, 1991).
Miyazaki, T. & Nishimura, T. Physical Analysis of Soils (University of Tokyo, 2011).
Slatyer, R. O. The significance of the permanent wilting percentage in studies of plant and soil water relations. Bot. Rev.3, 585–636. https://doi.org/10.1007/BF02870151 (1937).
Feddes, R. A., Kowalik, P. J. & Zaradny, H. Simulation of Field Water use and crop Yield (Centre for Agricultural Publishing and Documentation, 1978).
Gregory, P. Plant Roots: Growth, Activity and Interaction with Soils (Blackwell Publishing, 2006).
Nakamura, K., Harter, T., Hirono, Y., Horino, H. & Mitsuno, T. Assessment of root zone nitrogen leaching as affected by irrigation and nutrient management practices. Vadose Zone J.3, 1353–1366. https://doi.org/10.2136/vzj2004.1353 (2004).
Nakamura, K., Ogushi, S., Ikeura, Y. & Tanaka, Y. A case study on estimating soil hydraulic parameters based on the soil water flow simulation using HYDRUS-1D for upland irrigation planning. J. Jpn Soc. Soil. Phys.134, 25–40. https://doi.org/10.34467/jssoilphysics.134.0_25 (2016).
Thangarajan, R. et al. The potential value of biochar in the mitigation of gaseous emission of nitrogen. Sci. Total Environ.612, 257–268. https://doi.org/10.1016/j.scitotenv.2017.08.242 (2018).
Wang, Z. et al. Reduced nitrification and abundance of ammonia-oxidizing bacteria in acidic soil amended with biochar. Chemosphere. 138, 576–583. https://doi.org/10.1016/j.chemosphere.2015.06.084 (2015).
Acknowledgements
We thank Yasuki Shikina, Masahide Maetsu, Yuto Hateruma, and Akiko Sawa for constructing the experimental equipment and supporting sampling. We thank Tokuko Sekine for measuring the physical properties of the soil and Minako Takahashi for conducting the chemical analysis of the soil and soil solutions.
Funding
This study was based on work supported by the Japan International Research Center for Agricultural Sciences.
Author information
Authors and Affiliations
Contributions
Material preparation, data collection, and analysis were performed by K. H., S. N., and D. K. The first draft of the manuscript was written by K. H. All of the authors commented on previous versions of the manuscript. All of the authors have read and approved the final version of the manuscript.
Corresponding author
Ethics declarations
Competing interests
The authors declare no competing interests.
Additional information
Publisher’s note
Springer Nature remains neutral with regard to jurisdictional claims in published maps and institutional affiliations.
Electronic supplementary material
Below is the link to the electronic supplementary material.
Rights and permissions
Open Access This article is licensed under a Creative Commons Attribution 4.0 International License, which permits use, sharing, adaptation, distribution and reproduction in any medium or format, as long as you give appropriate credit to the original author(s) and the source, provide a link to the Creative Commons licence, and indicate if changes were made. The images or other third party material in this article are included in the article’s Creative Commons licence, unless indicated otherwise in a credit line to the material. If material is not included in the article’s Creative Commons licence and your intended use is not permitted by statutory regulation or exceeds the permitted use, you will need to obtain permission directly from the copyright holder. To view a copy of this licence, visit http://creativecommons.org/licenses/by/4.0/.
About this article
Cite this article
Hamada, K., Nakamura, S. & Kuniyoshi, D. Pipe experiment elucidates biochar application depth affects nitrogen leaching under crop present condition. Sci Rep 14, 22823 (2024). https://doi.org/10.1038/s41598-024-73621-3
Received:
Accepted:
Published:
Version of record:
DOI: https://doi.org/10.1038/s41598-024-73621-3







